金融风控实战——逻辑回归与评分卡模型(上)
评分卡
- 建立逻辑回归模型
- 对模型进行评分映射
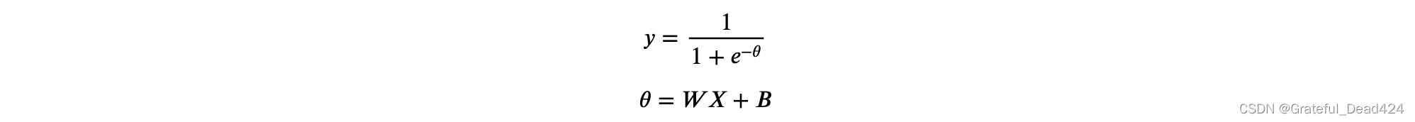
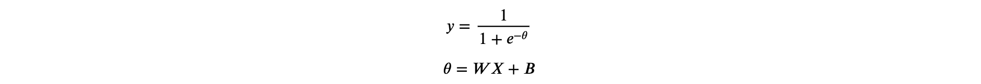
逻辑回归表达式

import numpy as np
import matplotlib.pyplot as plt
import tqdm
import os
data = np.loadtxt("/Users/zhucan/Desktop/金融风控实战/第五课资料/textSet.txt")
features = data[:, :2]
labels = data[:, -1]
print(features.shape, labels.shape)
#(100, 2) (100,)
print('特征的维度: {0}'.format(features.shape[1]))
print('总共有{0}个类别'.format(len(np.unique(labels))))
#特征的维度: 2
#总共有2个类别
#可视化
plt.scatter([x[0] for x in features], [x[1] for x in features])
plt.show()
结果:

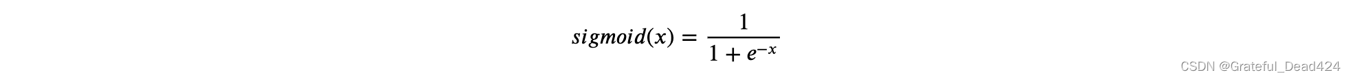
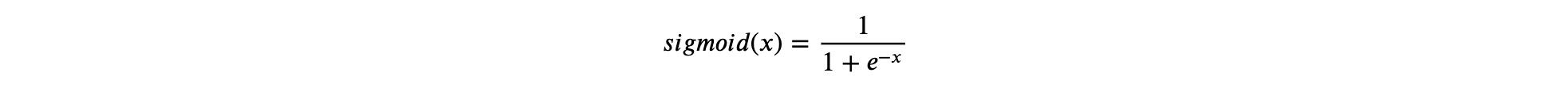
sigmoid函数

def sigmoid(x):return 1 / (1 + np.exp(-x))
print(sigmoid(-5), sigmoid(5))
#0.0066928509242848554 0.9933071490757153
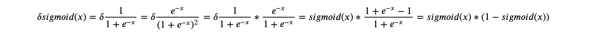
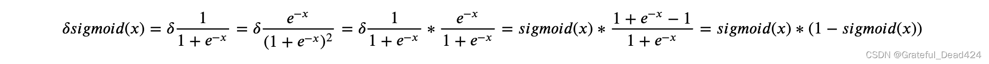
sigmoid函数的导数

def delta_sigmoid(x):return sigmoid(x) * (1 - sigmoid(x))
delta_sigmoid(5)
#0.006648056670790033
基础建模
随机初始化权重, 从正态分布中生成
W = np.random.uniform(size=(1, features.shape[1]))
W
#array([[0.20881179, 0.53058372]])
矩阵乘法
def matrix_mul(matrix1, matrix2):return np.matmul(matrix1, matrix2)
print(matrix_mul(np.random.uniform(size=(1, 2)), np.random.uniform(size=(2, 1))))
#[[0.71085393]]
矩阵求导

def delta_matrix(X, W):return np.matmul(X.T, np.ones(shape=(len(X), 1))).T / len(X)
W = np.random.uniform(low=0, high=1, size=(1, 2))
X = np.random.uniform(low=3, high=15, size=(3, 2))
delta = delta_matrix(X, W)
print(delta, W - delta)
#[[13.51261268 7.53774522]] [[-12.86444081 -7.16950368]]
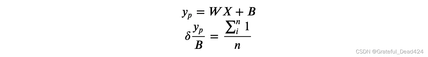
包含偏置项
def add_bias(result, B):
# assert len(result) == len(B)return result + B
B = np.random.uniform(size=(1,))
print(B, add_bias(matrix_mul(W, X.T), B))
#[0.07422123] [[ 7.97809996 13.6316383 13.87457563]]
对偏置项求导

def delta_B():return 1
delta_B()
#1
完整的逻辑回归 inference
def logic(W, X, B):mul = matrix_mul(W, X)y = add_bias(mul, B)return y
logic(W, X.T, B)
#array([[ 7.97809996, 13.6316383 , 13.87457563]])
损失函数(Cross-entropy, 交叉熵损失函数)
信息熵: −𝑃𝑙𝑜𝑔𝑃(P是概率, 小于1, 取反之后就是正数了), 这个值代表的是信息量, 如果值越大代表对当前情况越不确定, 信息不足.

![]()
def loss(Y_t, Y_p):'''算交叉熵损失函数Y_t: 独热编码之后的真实值向量Y_p: 预测的值向量 '''trans = np.zeros(shape=Y_t.shape)for sample_idx in range(len(trans)):# print(trans[sample_idx], [Y_p[sample_idx], 1.0 - Y_p[sample_idx]])# 避免出现0trans[sample_idx] = [Y_p[0][sample_idx] , 1.0 - Y_p[0][sample_idx] + 1e-5]log_y_p = np.log(trans)return -np.sum(np.multiply(Y_t, log_y_p))
Y_t = np.array([[0, 1], [1, 0]])
Y_p = np.array([[0.8, 1]])
loss(Y_t=Y_t, Y_p=Y_p)
#1.609387913684059
交叉熵求导

def delta_cross_entropy(Y_t, Y_p):trans = np.zeros(shape=Y_t.shape)for sample_idx in range(len(trans)):trans[sample_idx] = [Y_p[0][sample_idx] + 1e-8, 1.0 - Y_p[0][sample_idx] + 1e-8]Y_t[Y_t == 0] += 1e-8error = Y_t * (1 / trans)error[:, 0] = -error[:, 0]return np.sum(error, axis=1, keepdims=True)
Y_t = np.array([[0, 1], [1, 0]], dtype=np.float)
Y_p = np.array([[0.8, 1]])
delta_cross_entropy(Y_t=Y_t, Y_p=Y_p)
#array([[4.99999974e+00],
# [9.99999983e-09]])
准确率计算

def accuracy(Y_p, Y_t):Y_p[Y_p >= 0.5] = 1Y_p[Y_p < 0.5] = 0predict = np.sum(Y_p == Y_t)return predict / len(Y_t)
评估指标

def recall(Y_p, Y_t):return np.sum(np.argmax(Y_p) == np.argmax(Y_t)) / np.sum(Y_p == 1)
独热编码
如果有两个类别

def one_hot(y):classes = np.arange(len(np.unique(y)))one_hot_label = np.zeros(shape=(len(y), len(classes)))for sample in range(len(y)):one_hot_label[sample][classes == y[sample]] = 1return one_hot_labelone_hot([0, 1, 2, 3])
结果:
array([[1., 0., 0., 0.],[0., 1., 0., 0.],[0., 0., 1., 0.],[0., 0., 0., 1.]])
更新权重

def update_parameters(Y_t, W, B, X, learning_rate=0.1):
# mul = matrix_mul(W, X)
# Y_p = add_bias(mul, B)Y_p = np.matmul(W, X.T)Y_p += BY_p = sigmoid(Y_p)error = loss(one_hot(Y_t), Y_p)# 里面是按列计算的, 进行了转换, 所以这里也需要转置
# delta_loss = delta_cross_entropy(one_hot(Y_t), Y_p)# delta_activation = delta_sigmoid(Y_p)
# derror = np.multiply(delta_loss, delta_activation)
# dw = np.matmul(derror, X)# 误差项error_rate = Y_p - Y_tdeltaW = np.matmul(error_rate, X) / len(Y_t)deltaB = error_rate * delta_B()deltaB = np.sum(deltaB) / len(X)W -= (learning_rate * deltaW)B -= (learning_rate * deltaB)return error, W, Bnp.random.seed(1)
W = np.random.uniform(size=(1, 2))
print(W)
X = np.random.uniform(size=(3, 2))
Y_t = np.array([1, 0, 1])
update_parameters(Y_t, W, B, X)
#[[0.417022 0.72032449]]
#(2.360515176075121, array([[0.41682199, 0.72755927]]), array([0.08349814]))
归一化特征数据并且可视化
import copydef normalize(x, mean, max_value, min_value, is_normalize=False):f = copy.deepcopy(x)f -= meanif is_normalize:f = (f - min_value) / (max_value - min_value)return fmean = np.mean(features, axis=0)
max_value = np.max(features, axis=0)
min_value = np.min(features, axis=0)f_normalize_features = normalize(features, mean, max_value, min_value)figure = plt.figure()
plt.scatter([x[0] for x in f_normalize_features[labels == 0]], [x[1] for x in f_normalize_features[labels == 0]], c='r')
plt.scatter([x[0] for x in f_normalize_features[labels == 1]], [x[1] for x in f_normalize_features[labels == 1]], c='g')
plt.xlim(left=-3, right=3)
plt.ylim(bottom=-15, top=15)
plt.show()
结果:

mean = np.mean(features, axis=0)
max_value = np.max(features, axis=0)
min_value = np.min(features, axis=0)f_normalize_features = normalize(features, mean, max_value, min_value, is_normalize=True)
#is_normalize为Truefigure = plt.figure()
plt.scatter([x[0] for x in f_normalize_features[labels == 0]], [x[1] for x in f_normalize_features[labels == 0]], c='r')
plt.scatter([x[0] for x in f_normalize_features[labels == 1]], [x[1] for x in f_normalize_features[labels == 1]], c='g')
plt.xlim(left=-1, right=2)
plt.ylim(bottom=-2, top=2)
plt.show()
结果:
拆分数据集
分为训练集和测试集, 占比为0.7:0.3
test_size = int(len(labels) * 0.3)
random_idx = np.random.permutation(len(labels))
test_features = features[random_idx[:test_size]]
test_labels = labels[random_idx[:test_size]]
train_features = features[random_idx[test_size:]]
train_labels = labels[random_idx[test_size:]]print('test_features type{0}'.format(test_features.shape))
print('train_features type{0}'.format(train_features.shape))
#test_features type(30, 2)
#train_features type(70, 2)
推理加训练
## 学习的曲线
def drawLine(weights, B=0):dataArr = featuresn = np.shape(dataArr)[0] xcord1 = []; ycord1 = []xcord2 = []; ycord2 = []for i in range(n):if int(labels[i])== 1:xcord1.append(dataArr[i,0]); ycord1.append(dataArr[i,1])else:xcord2.append(dataArr[i,0]); ycord2.append(dataArr[i,1])fig = plt.figure()ax = fig.add_subplot(111)ax.scatter(xcord1, ycord1, s=30, c='red', marker='s')ax.scatter(xcord2, ycord2, s=30, c='green')x = np.arange(-3.0, 3.0, 0.1)y = (-B-weights[0][1]*x-1) / weights[0][1]ax.plot(x, y)plt.xlabel('X1'); plt.ylabel('X2');plt.show()
def train(train_features, test_features, train_labels, test_labels, epoch=15, learning_rate=0.008):W = np.random.uniform(size=(1, train_features.shape[1]))B = 0for current in range(epoch):np.random.seed(current)random_train_features_idx = np.random.choice(np.arange(len(train_features)), size=(16,))random_train_features = train_features[random_train_features_idx]random_train_labels = train_labels[random_train_features_idx]print('Update W:', W)Y_p = np.matmul(W, train_features.T)Y_p += BY_p = sigmoid(Y_p)error = loss(one_hot(train_labels), Y_p) / len(random_train_features)# 误差项error_rate = Y_p - train_labelsdeltaW = np.matmul(error_rate, train_features) / len(random_train_labels)deltaB = error_rate * delta_B()deltaB = np.sum(deltaB) / len(random_train_labels)W -= (learning_rate * deltaW)B -= (learning_rate * deltaB)print('epoch {0}: train_loss:{1}'.format(current + 1, error))drawLine(W, B)return W, B
train(train_features, test_features, train_labels, test_labels)
结果:

本文来自互联网用户投稿,文章观点仅代表作者本人,不代表本站立场,不承担相关法律责任。如若转载,请注明出处。 如若内容造成侵权/违法违规/事实不符,请点击【内容举报】进行投诉反馈!
