高数基础_第4节_导数
高数基础_第4节_导数
- 导数
- 导数的概念
- 导数计算的方法
- 定义法求导
- 四则运算求导
- 反函数求导
- 复合函数求导----链式法则(Chain rule)
- 隐函数求导
- 参数式函数求导
- 极坐标式函数求导
- 不定式求导----洛必达法则
- 初等函数微商表
导数
导数的概念
- 导数的定义

- 导数举例:
- 边际税率:税收对于收入的变化率
导数计算的方法
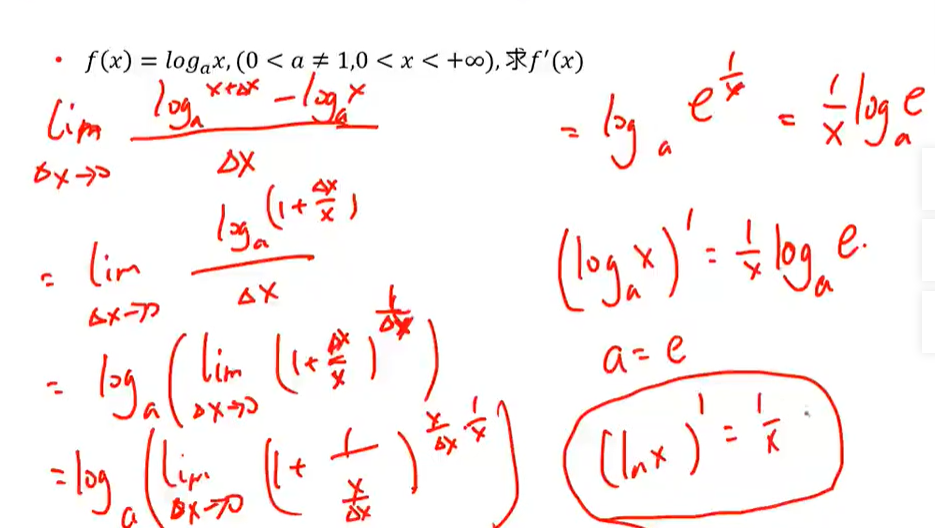
定义法求导


四则运算求导

反函数求导

- 把导数看作 dy / dx ,更好理解反函数求导的公式

- 举例

复合函数求导----链式法则(Chain rule)

d y d x = d y d u ∗ d u d x \frac{dy}{dx} = \frac{dy}{du}*\frac{du}{dx} dxdy=dudy∗dx
本文来自互联网用户投稿,文章观点仅代表作者本人,不代表本站立场,不承担相关法律责任。如若转载,请注明出处。 如若内容造成侵权/违法违规/事实不符,请点击【内容举报】进行投诉反馈!
