数字图像处理考点分析(四)
上一篇:数字图像处理考点分析(三) 我们介绍了图形增强在频域中的处理方法,这一篇我们介绍另一种数字图像的处理——图像复原
文章目录
- 图像复原与重建
- 一、图像退化与复原
- 1.1 概念
- 1.2 退化/复原过程的模型
- 1.3 小结
- 二、噪声模型
- 2.1 噪声的空间和频率特性
- 2.2 一些重要的噪声概率密度函数(PDF)
- 2.2.1 高斯噪声(电路噪声,由低照明度或高温带来的传感器噪声)
- 2.2.2 瑞利噪声(距离成像噪声)
- 2.2.3 爱尔兰噪声(又称为伽马噪声,是激光成像噪声)
- 2.2.4 指数噪声(激光成像噪声)
- 2.2.5 均匀噪声(仿真中产生随机数)
- 2.2.6 脉冲(椒盐)噪声(成像中的暂态,如错误开关操作)
- 2.3 周期噪声
- 2.4 噪声参数估计
- 三、只存在噪声的复原——空间滤波(去噪复原)
- 3.1 均值滤波器
- 3.1.1 算术均值滤波器
- 3.1.2 几何均值滤波器((适合高斯噪声去除))
- 3.1.3 谐波均值滤波器(特别适合“盐”噪声)
- 3.1.4 逆谐波均值滤波器
- 3.2 统计排序滤波器
- 3.2.1 中值滤波器
- 3.2.2 最大值和最小值滤波器
- 3.2.3 中点滤波器
- 3.2.4 修正的阿尔法均值滤波器(类似体操打分规则)
- 3.3 自适应滤波器
- 3.3.1 自适应局部降低噪声滤波器
- 3.3.2 自适应中值滤波器
- 四、用频率域滤波消除周期噪声(去噪复原)
- 4.1 带阻滤波器
- 4.2 带通滤波器
- 4.3 陷波滤波器
- 五、逆滤波
- 六、维纳滤波
图像复原与重建
一、图像退化与复原
1.1 概念
**退化:**成像过程中的“退化”是指由于成像系统各种因素的影响,使得图像质量降低。如,图像的模糊、有外界干扰等。
引起图像退化的原因:
- 成像系统的散焦
- 成像设备与物体的相对运动
- 成像器材的固有缺陷
- 外部干扰等
**图像复原:**是图像退化的逆过程。以预先确定的目标来改善图像。是一个客观过程。试图利用退化线性的某种先验知识来复原被退化的图像。换句话说,复原的过程为:找图像退化的原因 -> 建立退化模型 -> 反向推演 -> 恢复图像。
在图像退化确知的情况下,图像退化的逆过程是有可能进行的
实际情况经常是退化过程并不知晓,这种复原称为盲目复原。
1.2 退化/复原过程的模型
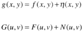
退化过程被建模为一个退化函数和一个加性噪声。给定退化图像g(x,y)和关于退化函数H及加性噪声η(x,y)的一些相关知识后,复原图像就是获得原始图像的一个估计f ̂(x,y)。知道的关于H和η信息越多,f ̂(x,y)就会越接近f(x,y)。
如果H是一个线性的、位置不变的过程。空间域的退化图像如下:

对应的,频域的退化图像如下:

1.3 小结
图像复原是一种客观的操作,通过使用退化现象的先验知识重建或恢复一副退化的图像;图像在形成、传输和记录的过程中,由于受多种原因的影响,图像的质量会有下降,典型表现为图像模糊、失真、有噪声等,这一降质的过程称为图像的退化。而图像复原试图利用退化现象的某种先验知识(即退化模型),把已经退化了的图像加以重建和复原。其目的就是尽可能地减少或去除在获取图像过程中发的图像质量的下降(退化),恢复被退化图像的本来面目。
图像复原技术的分类:
(1)在给定退化模型条件下,分为无约束(逆滤波)和有约束(维纳滤波)两大类
(2)根据是否需要外界干扰,分为自动和交互两大类
(3)根据处理所在的域,分为频域和空域两大类
二、噪声模型
噪声来源:图像的获取(数字化过程)和传输过程。
噪声分类:根据如何添加进信号中的 可分为加性噪声和乘性噪声。
- 加性噪声:加性噪声一般指热噪声、散弹噪声等,它们与信号的关系是相加,不管有没有信号,噪声都存在。是一种线性变化。
- 乘性噪声:乘性噪声一般由信道不理想引起,它们与信号的关系是相乘,信号在它在,信号不在他也就不在。是一种非线性的变换方式,属于非线性系统。
2.1 噪声的空间和频率特性
空间特性:定义噪声空间特性的参数,及噪声是否与图像相关。
频率特性:傅里叶域中噪声的频率内容(即相对于电磁波谱的频率)。
白噪声:噪声的傅里叶谱是常量。
本章中,假设噪声与空间坐标无关,并且噪声与图像本身不相关(即像素值与噪声成分的值之间不相关,加性噪声)。
2.2 一些重要的噪声概率密度函数(PDF)
2.2.1 高斯噪声(电路噪声,由低照明度或高温带来的传感器噪声)
在空间域和频率域中,高斯噪声在数学上具有易处理性,故实践中常用该噪声模型,以至于高斯模型常用于在一定程度上导致最好结果的场合。
高斯随机变量z的PDF如下:


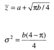
2.2.2 瑞利噪声(距离成像噪声)
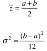
瑞利噪声的PDF如下:

概率密度的均值和方差为:

a为距离原点的距离。密度的基本形状向右变形。瑞利密度对于近似歪斜的直方图十分适用。
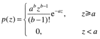
2.2.3 爱尔兰噪声(又称为伽马噪声,是激光成像噪声)
伽马噪声的PDF如下:

其中,a>0,b为正整数。其概率密度的均值和方差为:

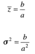
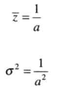
2.2.4 指数噪声(激光成像噪声)
指数噪声的PDF如下:

其中a>0。概率密度的均值和方差如下:

当爱尔兰噪声PDF中的b = 1时,就变成了指数噪声PDF。故指数噪声PDF是爱尔兰噪声PDF的特殊情况。
2.2.5 均匀噪声(仿真中产生随机数)
均匀噪声的PDF如下:

均值和方差如下:

2.2.6 脉冲(椒盐)噪声(成像中的暂态,如错误开关操作)
(双极)脉冲噪声的PDF如下:

在图像中 b 和 a, 一个是白点,一个是黑点。如果 Pa 或Pb 为零,则脉冲噪声称为单脉冲噪声;如果 Pa 和 Pb 均不为0,且大致相等的时候,脉冲噪声值将类似于在图像上随机分布的胡椒和盐粒,故双极脉冲噪声也称为椒盐噪声。
实际上在椒盐噪声中,噪声的值未必都是图像可取值范围中的最大值和最小值。但是与图像信号的强度相比,脉冲污染通常比较大,所以在一幅图像中脉冲噪声通常被数字化为最大值(纯黑或纯白)。

直观来看,前五种噪声很难通被污染的图像本身进行区别,但是椒盐噪声是可以被区分出来的。虽然前五种图像不好区分,但是它们的直方图却很容易区分。所有在后面确定噪声参数的时候,往往首先根据噪声的直方图来确定噪声的种类,再计算该类噪声所对应的参数。
2.3 周期噪声
来源:图像在获取期间由电力或机电干扰产生的。
是本章中唯一一种空间相关噪声。
可通过频率域滤波器显著减少。
2.4 噪声参数估计
周期噪声的参数:通过检测图像的傅里叶谱来估计。
噪声PDF的参数:一般可从传感器的技术说明中得知;若只有图像可用时,通常由合理的恒定灰度值的一小部分来估计。
============================================================================
了解了噪声模型后,我们就要开始进行图像复原处理了,对于不同的噪声,选怎合适的复原方法是重中之重!
根据处理所在的域,图像复原技术分为空域和频域两大类
三、只存在噪声的复原——空间滤波(去噪复原)
即唯一的引起图像退化的原因是噪声。
故图像退化过程的形式如下:

由于噪声项是未知的,故从g(x,y)或G(u,v)中减去它们不现实。
当仅存在加性噪声的情况下,可选择空间滤波方法,进行图像复原。
3.1 均值滤波器
3.1.1 算术均值滤波器
最简单的均值滤波器。
Sxy为中心点在(x,y),大小为m*n的邻域的一组坐标。算术均值滤波器在Sxy定义的区域中计算被污染图像g(x,y)的平均值。
假设m和n为奇整数。

该操作可以使用大小为m x n的一个空间滤波器来实现,滤波器所有系数为其值的1/mn。
虽然是图像变模糊了,但是降低了噪声。
3.1.2 几何均值滤波器((适合高斯噪声去除))

每个复原像素由Sxy区域内像素的乘积的1/mn次幂决定。
当实现图像平滑时,相比于算术均值滤波器,几何均值滤波器处理图像时,丢失的细节更少。
3.1.3 谐波均值滤波器(特别适合“盐”噪声)

- 谐波均值滤波器对于“盐”噪声效果好,但 不适用于“胡椒”噪声
- 善于处理高斯噪声等
3.1.4 逆谐波均值滤波器

其中,Q为滤波器阶数。该滤波器适合减少或消除椒盐噪声的影响。
当Q为正值时,该滤波器能消除胡椒噪声;当Q为负值时,能消除盐粒噪声。但该滤波器不能同时消除椒噪声和盐噪声。
当Q = 0时,逆谐波均值滤波器变成了算术均值滤波器,当Q = -1时,变成了谐波均值滤波器。
小结:
- 算术均值滤波器和几何均值滤波器(尤其是后者)更适合于处理高斯或均匀随机噪声;
- 谐波均值滤波器更适合处理椒盐噪声,缺点:必须知道噪声是椒噪声还是盐噪声,以便为Q选择正确的符号
3.2 统计排序滤波器
3.2.1 中值滤波器
使用一个像素邻域中的灰度级排序的中值来替代该像素的值。

应用普遍,对某些类型的随机噪声能提供良好的去噪能力;与相同尺寸的线性平滑滤波器相比,引起的模糊更少。在存在单极或双极脉冲噪声(单独的椒噪声、单独的盐噪声、椒盐噪声)的情况下,只要噪声的空间密度不大(根据经验,Pa和Pb小于0.2),中值滤波器就很有效。
3.2.2 最大值和最小值滤波器
- 最大值滤波器:使用一个像素邻域中的灰度级排序的最后一个数值来替代该像素的值。

对发现图像中的最亮点非常有用。可以降低图像中的椒噪声。
-
最小值滤波器:使用一个像素邻域中的灰度级排序的起始值数值来替代该像素的值。

对发现图像中的最暗点非常有用。可以降低图像中的盐噪声。
3.2.3 中点滤波器
计算滤波器包围区域中最大值和最小值之间的中点。

结合了统计排序和求平均。最适用于处理随机分布的噪声,如高斯噪声或均匀噪声。
3.2.4 修正的阿尔法均值滤波器(类似体操打分规则)
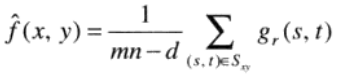
在邻域Sxy内去掉g(s,t)最低灰度值的d/2和最高灰度值的d/2。令gr(s,t)代表剩下的mn-d个像素。再对剩下的这些像素求平均值。

d的取值范围可为0 ~ mn-1。
当d = 0时,退化为算术均值滤波器;当d = mn-1时,退化为中值滤波器;当d取其他值时,该滤波器在包括多种噪声的情况下很有用,如混合有高斯噪声和椒盐噪声的情况。
3.3 自适应滤波器
考虑图像中的一点对其他点的特征变化,这些特征变化以m*n大小的Sxy定义的滤波器区域内图像的统计特性为基础。
自适应滤波器的性能更优,代价就是滤波器的复杂度提高了。
3.3.1 自适应局部降低噪声滤波器
随机变量最简单的统计度量是其均值和方差。均值给出了在其上计算均值的区域中的平均灰度的度量,方差则给出了该区域对比度的度量。
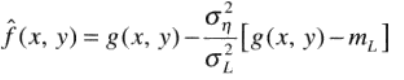
滤波器作用于Sxy区域。滤波器在Sxy区域中心任一点(x.y)上的响应基于以下4个量:
g(x,y):带噪图像在点(x,y)上的值;
ση2:污染f(x,y)以形成g(x,y)的噪声的方差(即全部噪声的方差);
mL:Sxy中像素的局部均值;
σL2:Sxy中像素的局部方差。
滤波器的性能:
若ση2 = 0 (即零噪声),f(x,y) = g(x,y)。
若σL2 > ση2,滤波器返回g(x,y)的近似值。高局部方差通常与边缘相关,并且应该保护这些边缘。
若σL2 = ση2,滤波器返回Sxy中像素的算术均值,即mL。(在局部区域与整个图像有相同特性的条件下,并且局部噪声将通过简单地求平均来降低)。

唯一需要知道或估计的量是ση2。
3.3.2 自适应中值滤波器
- 传统中值滤波器只能处理空间密度不大的冲激 噪声(pa,pb<0.2),而自适应中值滤波器可以 处理具有更大概率的冲激噪声。
- 自适应中值滤波器可处理更大概率的脉冲噪声,在平滑非脉冲噪声时会试图保留细节,而传统 中值滤波器无法完全做到。
主要目的
- 除去“椒盐”噪声(冲激噪声)
- 滑其它非冲激噪声
- 减少物体边界细化或粗化等失真
具体算法:

四、用频率域滤波消除周期噪声(去噪复原)
4.1 带阻滤波器
带阻滤波器:阻止一定频率范围内的信号通 过而允许其它频率范围内的信号通过,消除或 衰减傅里叶变换原点处的频段。

4.2 带通滤波器
带通滤波器:允许一定频率范围内的信号通 过而阻止其它频率范围内的信号通过

Hbp(u,v)表示带通滤波器,Hbr(u,v)表示相应 的带阻滤波器
4.3 陷波滤波器
- 阻止或通过事先定义的中心频率邻域内的频率。
- 由于傅里叶变换是对称的,陷波滤波器必须以 关于原点对称的形式出现。
- 如果陷波滤波器位于原点处,则以它本身形式 出现。

陷波带通滤波器:通过包含在陷波区的频率

- Hnp(u,v)是陷波带通滤波器,Hnr(u,v)是对应 的陷波带阻滤波器
- 当u0=v0=0时,陷波带通滤波器变为低通滤波器
在给定退化模型条件下,分为无约束(逆滤波)和有约束(维纳滤波)两大类
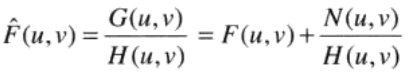
五、逆滤波
逆滤波复原过程:对退化的图像进行二位傅里叶变换;计算系统点扩散函数的二位傅里叶变换;引入 H(fx,fy)计算并且对结果进行逆傅里叶变换。

上式表明,即使知道退化函数,也不能准确地复原未退化的图像,因为N(u,v)未知。而且,若H(u,v)是零或非常小的值,则N(u,v)/H(u,v)很容易支配估计值。
H(0,0)在频率域中通常是H(u,v)的最高值,即上一章说的直流分量,与频率的高低不是一个概念,H(0,0)处在频谱的最低频,但是是H(u,v)的频谱最高值。,即图像的频谱随着频率的升高而下降。
要解决退化函数为零或非常小的值,就要限制滤波的频率,使其接近原点。具体有如下两种方法:
1)可以对G(u,v)/H(u,v)应用一个低通滤波器,虑去其中病态的高频成分(即虑去H(u,v)中接近0的部分)
2)或者规定一个值,当|H(u,v)| ≤ δ 时,1/H(u,v) = 0。
当退化图像的噪声较小,即轻度降质时,采用逆滤波恢复的方法可以获得较好的结果。
当噪声作用范围很大时,逆滤波不能从噪声中提取图像。
六、维纳滤波
维纳滤波(wiener filtering) 一种基于最小均方误差准则、对平稳过程的最优估计器。这种滤波器的输出与期望输出之间的均方误差为最小,因此,它是一个最佳滤波系统。它可用于提取被平稳噪声污染的信号。从连续的(或离散的)输入数据中滤除噪声和干扰以提取有用信息的过程称为滤波,这是信号处理中经常采用的主要方法之一,具有十分重要的应用价值,而相应的装置称为滤波器。根据滤波器的输出是否为输入的线性函数,可将它分为线性滤波器和非线性滤波器两种。维纳滤波器是一种线性滤波器。
维纳滤波器在对图像复原过程中需要计算 噪声功率谱 和 图像功率谱 。

优点:适应面较广,无论平稳随机过程是连续的还是离散的,是标量的还是向量的,都可应用。对某些问题,还可求出滤波器传递函数的显式解,并进而采用由简单的物理元件组成的网络构成维纳滤波器。
缺点:要求得到半无限时间区间内的全部观察数据的条件很难满足,同时它也不能用于噪声为非平稳的随机过程的情况,对于向量情况应用也不方便。因此,维纳滤波在实际问题中应用不多。
最小二乘滤波:

其中γ是一个参数,可以对γ进行交互式的调整,也可以对其进行迭代计算。P(u,y)是矩阵p(x,y) = [0, -1, 0; -1, 4,-1; 0, -1, 0]的傅里叶变换。该算法相比于维纳滤波,对其应用的每幅图像都能产生最优的结果。
最后,感谢CSDN博主「一千种风的味道」的文章图像复原与重建 让我学习到了很多有用的知识点,并在此基础上进行了整理,修改与删减。
下一篇:数字图像处理考点分析(五) 我们将会介绍图像的形态学处理
本文来自互联网用户投稿,文章观点仅代表作者本人,不代表本站立场,不承担相关法律责任。如若转载,请注明出处。 如若内容造成侵权/违法违规/事实不符,请点击【内容举报】进行投诉反馈!
