电路分析-三要素公式
讲三要素之前先不慌 先搞明白几个概念 更能知道三要素的来历与公式的意义
零状态响应:指电路的初始储能为零,仅有外加激励引起的响应。
说明方程是齐次的,简单一些 非齐次的方程比齐次的方程复杂一点 因为她右边的常数项不为0 有外在激励 所以解微分方程的时候 要用高数里的方法 分为齐次解和特解,然后完全解就是齐次解+特解。
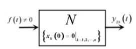
对于零状态响应 表示就是这样的
零状态响应系统 f(t)表示外加激励 X(t)表示内电源
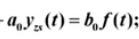
拿一个微分方程的典型形式 举例来说
微分方程标准形式
补充一个常识:通常微分方程有多少阶,那么对应就有多少个C电容,L电感
微分方程的阶:即方程式出现的最高导数
因为我们通常只会学习到一阶电路(可能有些学校还要学某些及其特殊的二阶电路) 所以我们注重讨论一阶的电路。
实际上我们的做题看到的微分方程一般是只有这样的
一阶微分方程
那么如何判断它是不是零状态响应?
判断条件
重点在于:它的初始储能为0,和定义是一样的,对于它0+的判断 Yzs(0+)=0
零状态电路的特征:
A.在等效电路中 激励源不为0
B.在0+等效电路中,电容初始储存的电压为0 视为一根导线 电感初始储能电流为0 视为该支路开路
因为C的电压U,L的电流I都是不能立即变化的,是积累量,所以U保持为0,即短路,I保持为0,即断路。
例题:
零状态响应
我们可以根据零状态响应知道 uczx(0+) =0 画出它的等效电路
等效后的电路
然后根据KCL,KVL或者电源的等效可以求出支路电流
C.零状态响应过程是动态元件的充电过程,t=∞时,动态元件中的储能达到最大,电路进入了新的稳定状态,电容视为开路(电压不变了,电压改变值为0),电感视为短路(电流不变了,电流改变值为0)。
image.png
注意换路定律的使用
微分方程的解
解可以通过经典的数学方法 通解+特解
求通解的步骤:
a.令方程右边为0 成为为齐次方程
b.然后根据方程 写出特征根λ
c.根据特征根的形式选择 特征根方程的类型
一阶齐次微分
两阶齐次微分
求特解:
特解
稳态值的计算
本文来自互联网用户投稿,文章观点仅代表作者本人,不代表本站立场,不承担相关法律责任。如若转载,请注明出处。 如若内容造成侵权/违法违规/事实不符,请点击【内容举报】进行投诉反馈!
