AI 人工智能之概率论基础(4)
后验概率
后验概率是指在得到“结果”的信息后重新修正的概率,是“执果寻因”问题中的"果"。先验概率与后验概率有不可分割的联系,后验概率的计算要以先验概率为基础。
后验概率的计算要以先验概率为基础。后验概率可以根据通过贝叶斯公式,用先验概率和似然函数计算出来。后验概率实际上就是条件概率。
先验概率是以全事件为背景下,A事件发生的概率:P(A|Ω)
后验概率是以新事件B为背景下,A事件发生的概率: P(A|B)
全事件一般是统计获得的,所以称为先验概率,没有实验前的概率
新事件一般是实验,如试验B,此时的事件背景从全事件变成了B,该事件B可能对A的概率有影响,那么需要对A现在的概率进行一个修正,从P(A|Ω)变成 P(A|B),所以称 P(A|B)为后验概率,也就是试验(事件B发生)后的概率。
贝叶斯公式——后验概率的公式

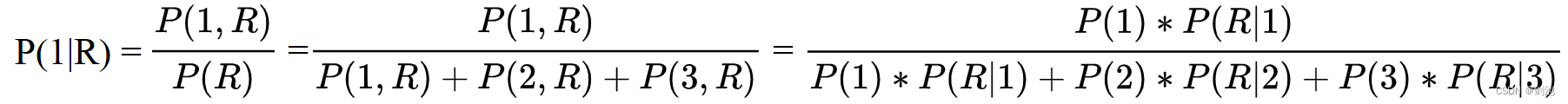
假设某个事件的结果为R的概率为P(R),造成B的原因有事件1、2、3,事件1、2、3发生的概率分别为P(1)、P(2)、P(3),事件1、2、3导致结果R发生的概率为P(R|1)、P(R|2)、P(R|3),现在事件结果R发生了,问事件1发生的概率是多少?
P(R)=事件1发生并导致R+事件2发生并导致R+事件3发生并导致R,即:
P(R)=P(1,R)+P(2,R)+P(3,R)
事件1发生并导致R发生:
P(1,R)=P(1)*P(R|1);
就是事件1发生的概率*事件1导致R发生的概率,同理:
P(2,R)=P(2)*P(R|2);
P(3,R)=P(3)*P(R|3);

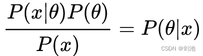
最大后验概率估计
最大似然估计时,估计的是 P(x|)(P即f)。而最大后验概率估计,估计的是P(x|
)P(
),即将参数本身的概率也考虑进去,既希望概率最大,也希望参数自身先验概率也最大,相当于是一个期望更大值的正则项。
其中P(x)已知了,所以估计 P(x|)P(
)就是估计 P(
|x),即后验概率。在求解时可将 P(
)代入,同理求解最大值,得到得到最大后验概率估计。
作者:华为云开发者联盟
链接:https://www.zhihu.com/question/275624152/answer/2561712013
来源:知乎
著作权归作者所有。商业转载请联系作者获得授权,非商业转载请注明出处。
拼写纠正实例
假设你在手机里输入了tha,那么大概率不同手机的人所得到的单词不是一样的,即使你是使用相同的手机在相同的输入法中,也会得到不同的结果。
好,那么问题来了,为什么会这样呢?实际上这里有个叫用户习惯,它会将你经常使用的某个单词放在最显眼的位置,也就是放在第一个位置。这样听起来可能你会想到和概率统计有关,实际上还有另外一种,比如你是想输入the的,结果输入tha,那么软件该怎么判断呢?软件会想用户到底是需要输入什么单词呢?这里我们用到概率为P(猜测输入的单词|实际输入的单词),比如就有P1=(the|tha) P2=(that|tha)…
假设用户实际输入的单词为W(W为观测数据),猜测的单词为c
那么就会有P1(c1|W),P2(c2|W),P3(c3|W)…
统一为:P(c|W)
则根据贝叶斯公式可得:P(c|W)=P(c)*P(W|c)/P(W)
对于不同的具体猜测c1,c2,c3,我们可以知道P(W)都是一样的,所以在比较P(c1|W)和P(c2|W)时这个常数是可以忽略的。
P(c|W)和P(c)*P(W|c)是正相关
P(c)是指的先验概率,之前说贝叶斯函数的思想和普通函数的思想是有一定的不同的,对于给定的W,一个猜测是好是坏,取决于”猜测本身的先验概率”和“这个猜测生成我们观测到的数据的可能性大小“。
那么如果用户输入的是tha,那么在巨大的词库中,the和that出现的概率谁会更大一点呢,这里假设是the,那么这里the的先验概率就要比that的先验概率大。
按照贝叶斯的方法计算:P(c)*P(W|c),P(c)是特定的先验概率。
也就是说,按照上面的例子,用户输入的是tha,当一般的统计无法做出判决时,先验概率这时候就站出来了,它就会根据the的先验概率大,即确定用户想输入的是the。
本文来自互联网用户投稿,文章观点仅代表作者本人,不代表本站立场,不承担相关法律责任。如若转载,请注明出处。 如若内容造成侵权/违法违规/事实不符,请点击【内容举报】进行投诉反馈!
