数学物理方程期末题型汇总
文章目录
- 章一:基本问题
- 简答
- 章二:二阶
- 计算
- 章三:波动方程/双曲方程
- (一)初值问题
- 1.一维齐次
- 2.一维非齐次
- 3.二维齐次
- 4.二维非齐次
- 5.三维齐次
- 6.三维非齐次
- (二)半无界问题(初始条件+1边界条件)---------开拓法
- (三)混合问题(初始条件+2边界条件)-----分离变量法
- 1.齐次+初值11+边界00----------一维两端固定----分离变量法(ppt只有这一类)
- 2.齐次+初值11+边界11-----------------------边界齐次化–代换
- 3.非齐次+初值11+边界00---------------弦的强迫振动为例
- 4.非齐次+初值11+边界11
- 5.二维齐次+初值11+边界00-------------------------分离变量法
- 章四:热方程/抛物方程
- (一)初值问题
- 1.齐次(ppt:Cauchy问题1-2)
- 2.非齐次(ppt:Cauchy问题3)
- (二)混合问题
- 章五:椭圆方程
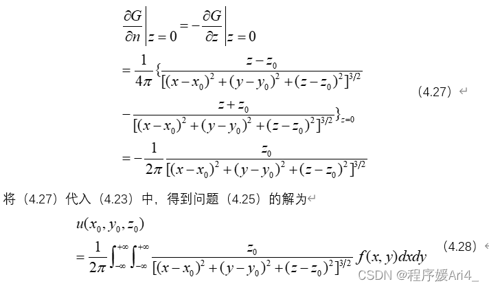
- 1.半空间的格林函数
- 2.球域的格林函数
- 3.求解二维无界泊松方程
- 4.镜像法求格林函数
本文章为自己期末考试复习整理的内容,其中的一些数字代号仅方便自己对方程类型分类,仅可借鉴。
章一:基本问题
简答
①三类边界条件
②定解问题分类
③解的适定性
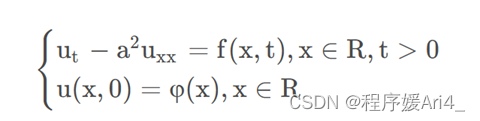
定解问题=范定方程+定解条件
定解条件:初始条件、边界条件
定解问题的分类:
- Cauchy/初值问题:只有初始条件,没有边界条件。常常处理无界的问题
- 边值问题:没有初始条件,只有边界条件。常常处理狄氏问题,如稳定的温度场。
- 混合问题:有初始条件和边界条件。
解的适定性(1/3)
(1)存在性:定解问题至少存在一个解
(2)唯一性:定解问题至多有一个解
(3)稳定性:
证明:是否满足解的适定性(1/3)
章二:二阶
计算
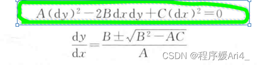
二阶方程的特征、分类(双变量四个例题(一个求特征,三个化标准型)
①判断方程类型 (判别式:∆=b2-ac)
②求特征方程特征线
二阶偏微分方程对应的特征方程:
特征线:dy/dx积分
③化标准型
作变换:
∆=b2-ac>0,两组特征线,作变换§=ŋ=,化为标准型:u§ŋ=Du§+Euŋ+Gu+F(§, ŋ)
∆=b2-ac=0,一组特征线,作变换§=ŋ=y
∆=b2-ac<0,两组复特征线,作变换§=ŋ=
多变量xyz(ppt例五)
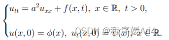
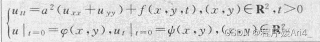
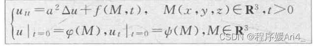
章三:波动方程/双曲方程

(一)初值问题
1.一维齐次
- 无界弦的自由振动问题----------达朗贝尔公式/行波法


达朗贝尔公式:
特点:齐次,原、偏导初值都不为0
延伸问题:求决定区间、影响域
①特征线
一维波动方程的特征方程是:dx/dt=±a
则特征线为 x±at=C
过点(x0,t0)的两条特征线为 x+at=x0+at0 x-at=x0-at0
②依赖区间
u只依赖于初始函数φ与ψ在区间 x0-at0到x0+at0 上的取值
称[x0-at0,x0+at0]为点(x0,t0)的依赖区间
③决定区域
过点[x1,0] 做两条特征线 x+at=x1 x-at=x1
过点[x2,0] 做两条特征线 x+at=x2 x-at=x2
会有两条特征线交到一起,这个三角形区域称为[x1, x2]的决定区域
即定义在[x1, x2]上的初始函数φ与ψ,决定该三角形区域内的u
④影响区域
会有两条特征线未交到一起,这个区域称为[x1, x2]的影响区域
即定义在[x1, x2]上的初始函数φ与ψ,影响该区域内的u


从达朗贝尔公式还可以看出,解在点的数值仅依赖于轴上区间内的初始条件,而与其他点的初始条件无关。区间称为点的依赖区间。它是由过点的两条斜率分别为的直线在轴所截得的区间((a))。
对初始轴上的一个区间,过点作斜率为 的直线 ,过点作斜率为的直线 ,它们和区间一起构成一个三角形区域((b)),此三角形区域中任一点 的依赖区间都落在区间 的内部,因此解在此三角形区域中的数值完全由区间上的初始条件决定,而与此区间外的初始条件无关,这个三角形区域称为区间的决定区域,在上给定初始条件,就可以在其决定区域中决定初值问题的解。
若过点分别作直线 ,则经过时间后受到区间上初始扰动影响的区域为,在此区域之外的波动不受上初值扰动的影响,称平面上由上述不等式确定的区域为的影响区域(如图(c))。
例 求下列柯西问题:
-
一维齐次+初值(00)=0-----------------------------达朗贝尔

-
一维齐次+初值(01)----------------------------特征线法/代换法
特点:齐次,原函数初值=0,偏导初值不为0

-
一维齐次+初值(10)----------------------------------达朗贝尔

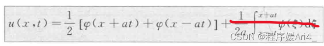
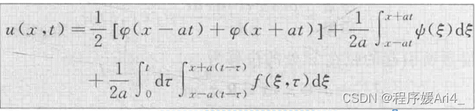
2.一维非齐次
齐次化原理/冲量原理/外力化初速度原理--------- 用于求解非齐次式
- 一维非齐次+初值(00)----------------杜哈梅原理

特点:非齐次,原、偏导初值都=0
无界弦强迫振动的定解问题------利用杜哈梅原理(齐次化原理)求解
- 一维非齐次+初值11---------------------------------拆分+套公式

特点:非齐次,初值都不为0
方法:拆分叠加+齐次化原理
将该定解问题分解为两个子定解问题

子问题1直接求解得u1,子问题2利用杜哈梅原理求解得u2,u=u1+u2

该解称为无限长弦的受迫振动的达朗贝尔公式
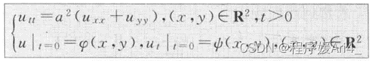
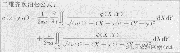
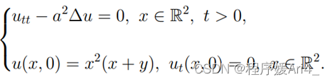
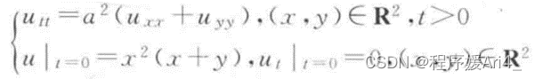
3.二维齐次
- 二维齐次+初值11-----------------由三维降阶,泊松公式直接套


【题目】求解二维波动方程
例题:下面举一个例子,说明二维泊松公式的用法。
附上解法,即令 z=x2(x+y),求解出关于z的达朗贝尔公式,再将 z=x2(x+y)带入
4.二维非齐次
- 二维非齐次+初值11--------------------------套公式


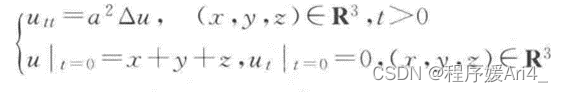
5.三维齐次
- 三维齐次+初值11-----------------泊松方程解,直接套公式

下面举一个例子,说明三维泊松公式的用法。
例 设已知 ,,求方程(3.22)相应柯西问题的解。
解 将给定的初始条件与
代入(3.31),得到所要求的解为
6.三维非齐次
- 三维非齐次+初值11-------------------------------套公式

定解,由杜哈梅原理和三维波动泊松公式求解

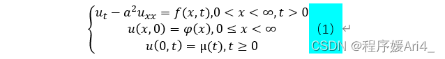
(二)半无界问题(初始条件+1边界条件)---------开拓法

对于第一边界条件:

对于第二类边界条件

解的性质

(三)混合问题(初始条件+2边界条件)-----分离变量法
1.齐次+初值11+边界00----------一维两端固定----分离变量法(ppt只有这一类)

例1
设有一根长为10个单位的弦,两端固定,初速度为零,初始位移为 ,求弦作微小横向振动时的位移。
解:设位移函数为u(x,t),它是定解问题
的解。这时l=10,并给定 (这个数字与弦的材料,张力有关)。
显然,这个问题的Fourier级数形式解可由(2.11)给出,其系数按(2.12)式为因此,所求的解为
例2解定解问题
解 这里所考虑的方程仍是(2.1),所不同的只是在x=l这一端的边界条件不是第一类齐次边界条件 ,而是第二类齐次边界条件 。因此,通过分离变量的步骤后,仍得到方程(2.4)与(2.5) , ,但条件(2.6)应代之以
2.齐次+初值11+边界11-----------------------边界齐次化–代换

特点:齐次,初始条件+边界值x=0,x=l时方程不为零(边界不为0)
令v=u(x,t)−w(x,t)
3.非齐次+初值11+边界00---------------弦的强迫振动为例

特点:非齐次,初始条件+边界值=0(两端固定)
方法:

例 在环形域 内求解下列定解问题:
4.非齐次+初值11+边界11


例1 求下列定解问题:(非齐次+初值00+边界01)


5.二维齐次+初值11+边界00-------------------------分离变量法

特点:齐次,初始条件+边界条件=0(固定端点)
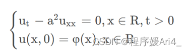
章四:热方程/抛物方程
(一)初值问题
1.齐次(ppt:Cauchy问题1-2)


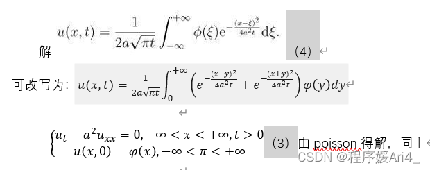
称为问题(1)的Poisson公式
例;
注需要用到高斯积分
2.非齐次(ppt:Cauchy问题3)


(二)混合问题
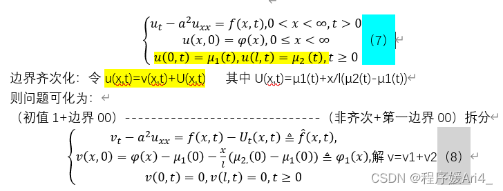
混合问题的流程没有按波动方程的分类流程,而是按照在原问题非齐次方程(1)/(7)的基础上一步步拆分,讨论其子问题(2)-(5)/(8)-(10)的求解进而求得。
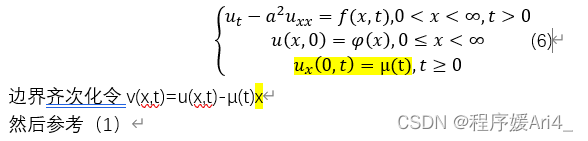
(ppt:混合问题1)半直线,细杆一端固定,已知初始温度以及细杆固定端温度,则杆上的温度分布满足如下混合问题:
- (初值1+边界_1)---------------------------------非齐次+第一边值问题

边界齐次化令v(x,t)=u(x,t)-µ(t)
则:
原问题拆分为

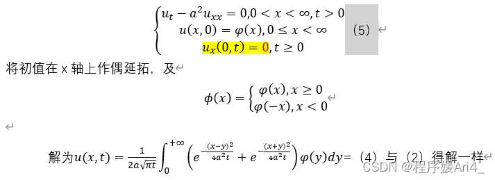
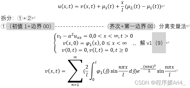
- (初值1+边界0_)------------------------------(齐次+第一边值问题),解同齐次初值问题(泊松方程)


- (初值1+边界_0)-------------------齐次+第二边值问题

- (初值1+边界_1)-------------------非齐次+第二边值问题

(以上为一端固定)一个边界条件u(0,t)/ux(0,t)
------------------------------------------------------------------------------------**
(以下为两端固定)两个边界条件u(0,t)+u(l,t)/ux(0,t)+ux(l,t)
(ppt混合问题2)有限区间上的热传导方程-------------分离变量法

(初值1+边界11)--------------(非齐次+第一边值问题11)分离变量法

(ppt混合问题3

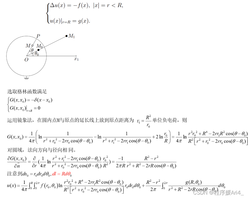
章五:椭圆方程
1.半空间的格林函数


2.球域的格林函数



3.求解二维无界泊松方程


4.镜像法求格林函数
镜像法法求上半平面第一类泊松方程

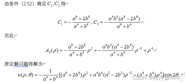
例题:求解圆域内泊松方程的第一类边值问题
本文来自互联网用户投稿,文章观点仅代表作者本人,不代表本站立场,不承担相关法律责任。如若转载,请注明出处。 如若内容造成侵权/违法违规/事实不符,请点击【内容举报】进行投诉反馈!








,求方程(3.22)相应柯西问题的解。
与
代入(3.31),得到所要求的解为



因此,所求的解为








注需要用到高斯积分 

