线性代数复习总结
线性代数复习总结,仅供笔者复习使用,参考教材:
- 《线性代数》/ 段正敏主编. — 第3 版. 高等教育出版社
- 《2024高途考研数学——线代基础精讲》王喆
线性代数是数学的一个分支,它的研究对象是向量、线性空间、线性变换和有限维的线性方程组。它与计算机联系甚密,尤其是在 AI 领域,常常使用庞大的矩阵进行图计算、并行计算等,以达到较快的计算速度。
符号声明
- (A | B):表示矩阵 A 和矩阵 B 的拼接;
目录
- 符号声明
- 一. 行列式
- 1. n 阶行列式
- 2. 行列式的性质
- 3. 行列式的展开
- 4. 行列式的应用
- 二. 矩阵
- 1. 矩阵
- 2. 矩阵的基本运算
- 3. 分块矩阵
- 4. 矩阵的秩
- 5. 初等变换与初等方阵
- 6. 矩阵的逆
- 7. 克拉默法则
- 三. 向量组的线性相关性及线性空间
- 1. n 维向量
- 2. 向量组的线性相关性
- 3. 向量组的最大线性无关组和秩
- 4. 正交向量组
- 5. 向量空间
- 6. 线性空间
- 四. 线性方程组
- 1. 线性方程组的同解定理
- 2. 齐次线性方程组
- 3. 非齐次线性方程组
- 五. 矩阵的特征值、特征向量与相似对角化
- 1. 方阵的特征值与特征向量
- 2. 相似矩阵
- 3. 实对称矩阵的相似对角化
- 4. 特征值理论的应用
- 六. 二次型
- 1. 二次型及其标准型
- 2. 化二次型为标准型
- 3. 正定二次型
- 4. 二次型的应用
- 补充
一. 行列式
行列式的本质是一个函数,返回方阵的行列式值,写做 D = |A| = det(A) = det(aij) 。
1. n 阶行列式
- n 元排列:由 1,2,…,n 组成的有序数组称为一个 n 元排列,所有不同的 n 元排列有 n! 种;
- 逆序数:一个排列的逆序总数称为逆序数。当逆序数为奇数时该排列称为奇排列,逆序数为偶数时该排列称为偶排列;
- n 阶行列式:一个 n 行 n 列的数表的值,记作:

其中 p1,p2,…,pn 为 1,2,…,n 的不同排列,t 为该排列情况下的逆序数; - 对角线:n 阶行列式中从左上角到右下角的对角线称为主对角线,从右上角到左下角的称为次对角线;
- 特殊行列式:

2. 行列式的性质
- 性质 1:D = DT;
- 性质 2:互换行列式的两行或两列,行列式的值改变符号;
- 推论 1:如果行列式中有两行或者两列完全相同,则此行列式等于 0;
- 性质 3:行列式 D 的某一行或某一列所有元都乘同一个系数 k 后为 D1,则 D1 = k * D;
- 推论 2:行列式中某一行或某一列的所有元的公因子可以提到行列式外;
- 推论 3:行列式中如果某一行或某一列的所有元全为零,则此行列式等于 0;
- 推论 4:行列式中如果有两行或者两列的元对应成比例,则此行列式等于 0;
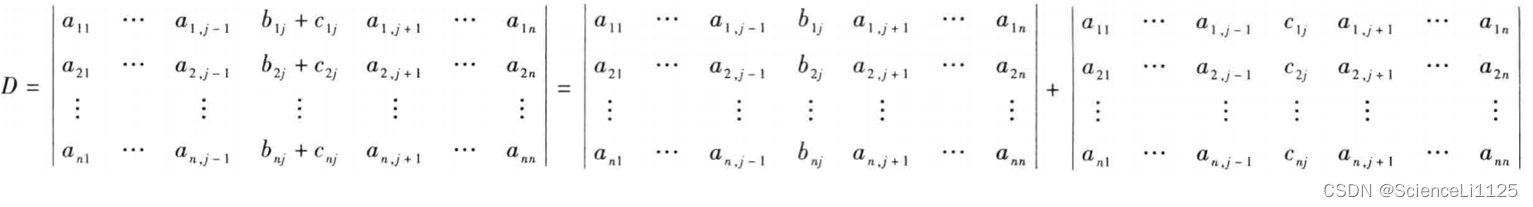
- 性质 4:行列式中如果某一行或某一列的元都表示为两数之和,则此行列式可以展开成两个行列式之和。即:

- 性质 5:把行列式的某一行(或某一列)的各元乘同一数后加到另一行(或另一列)的对应元上,行列式不变;
3. 行列式的展开
- 余子式 Mij:在 n 阶行列式 D = det(aij) 中,将 aij 所在的第 i 行和第 j 列划去,剩下的 n-1 阶行列式称为 D 中元 aij 的余子式;
- 代数余子式 Aij:aij 的代数余子式为 (-1)i+j * Mij;
- 定理 1:如果 n 阶行列式 D = det(aij) 的第 i 行或第 j 列的元除 aij 外都为 0,则 D = aij * Aij;
该定理经常在计算行列式时使用:先使用性质 5 对某一行或某一列进行变换,直至该行或列只有一个非零元素。然后使用定理 1 实现 行列式降阶 ,多次降阶至二维即可计算出结果。
- 定理 2:行列式等于它第 i 行(或第 j 列)的各元与对应的代数余子式乘积之和,即
D = Σ aik*Aik = Σ akj*Akj,其中 i,j = 1,2,…,n; - 特殊行列式展开:

4. 行列式的应用
行列式在计算机领域的应用主要体现在帮助矩阵计算系数上。另外,行列式在向量运算、几何空间、代数方程上也有一些应用。比如,三维向量 a = (a1,a2,a3),b = (b1,b2,b3),则 a × b 可以表示为:
∣ i j k a 1 a 2 a 3 b 1 b 2 b 3 ∣ = ( a 2 ∗ b 3 − a 3 ∗ b 2 ) i → + ( a 3 ∗ b 1 − a 1 ∗ b 3 ) j → + ( a 1 ∗ b 2 − a 2 ∗ b 1 ) k → \begin{vmatrix} i & j & k\\ a1&a2&a3\\ b1&b2&b3 \end{vmatrix} = (a2*b3-a3*b2)\overrightarrow{i} + (a3*b1-a1*b3)\overrightarrow{j} + (a1*b2-a2*b1)\overrightarrow{k} ia1b1ja2b2ka3b3 =(a2∗b3−a3∗b2)i+(a3∗b1−a1∗b3)j+(a1∗b2−a2∗b1)k
二维平面中经过 P (x1, y1) 和 Q (x2, y2) 的直线方程为:
P Q : ∣ x 1 y 1 1 x 2 y 2 1 x y 1 ∣ = 0 PQ:\begin{vmatrix} x1 & y1 & 1\\ x2 & y2 &1\\ x & y & 1 \end{vmatrix} = 0 PQ: x1x2xy1y2y111 =0
二. 矩阵
矩阵的本质是一个 m 行 n 列的数表,数表的元不做特别说明时均为实数,即实矩阵。写做 A = Am×n = (aij)m×n = det(aij) 。
1. 矩阵
-
矩阵:矩阵是一个 m 行 n 列的数表;

-
特殊矩阵:
当 m = n 时称为 n 阶方阵;
当 Am×n 中所有元均为 0 时称为零矩阵;
当 m = 1 时称为行矩阵;
当 n = 1 时称为列矩阵;
当两个矩阵大小相同(即行数和列数均相同)时称为同型矩阵;
当某方阵的主对角线元素不全为 0,其余元素均为 0 时称为对角矩阵,记为 diag( λ \lambda λ1, λ \lambda λ2, … , λ \lambda λn);
当某方阵的反对角线元素不全为 0,其余元素均为 0 时称为反对角矩阵;
当对角矩阵的主对角线上元素都相同时称为数量矩阵;
当数量矩阵的主对角线上元素均为 1 时称为单位矩阵,记为 E 或 I;
如果 AT = A,即 aij = aji,则称 A 为对称矩阵;每一个元都为实数的对称矩阵称为实对称矩阵;
如果 AT = -A,即 aij = -aji,则称 A 为反对称矩阵;每一个元都为实数的反对称矩阵称为实反对称矩阵;
当某方阵的行列式为 0 时称为奇异方阵,否则称为非奇异方阵;
当方阵 A 满足 AAT = E 或 ATA = E 时,则称 A 为正交矩阵。显然 | A | = ±1,A-1 = AT; -
共轭矩阵:如果矩阵 A = (aij)m×n 中存在复数元,则 A 称为复矩阵。 a ‾ \overline{a} a 是 a 的共轭复数,则称 A ‾ \overline{A} A = ( a ‾ \overline{a} aij)m×n 为 A 的共轭矩阵;
2. 矩阵的基本运算
- 加法运算:只有同型矩阵才可以相加,运算方法是对应位置元素相加;
- 乘数运算:kA = (kaij)m×n;
- 乘法运算:C = AB ≠ BA,A 和 B 能相乘必须保证 A 的列数等于 B 的行数;
矩阵乘法运算规则如下:
A (BC) = (AB) C
A (B + C) = AB + AC
k (AB) = (kA) B = A (kB)
A2 - E = (A + E)(A - E) = (A - E)(A + E)
A2 - B2 ≠ (A + B)(A - B)
(A + B)2 ≠ A2 + B2 + 2AB
(AB)k ≠ AkBk
AB = O 无法推出 A = O 或 B = O
- 转置运算:如果 A = (aij)m×n,那么 AT = (aji)n×m;
矩阵转置运算规则如下:
(AT)T = A
(A + B)T = AT + BT
(kA)T = kAT
(AB)T = BTAT
若 AAT = O,则 A = O
- 方阵的行列式运算:行列式本质就是返回方阵的行列式值的函数;
方阵的行列式运算规则如下,设 A, B 均为 n 阶方阵:
| AT | = | A |
| kA | = kn| A |
| AB | = | A || B | = | BA |(此处如果 A 和 B 分别为 m×n 和 n×m 矩阵,那么 | AB | ≠ | BA |)
- 方阵的 k 次多项式运算:f(A) = a0E + a1A + a2A2 + … + akAk;
3. 分块矩阵
- 分块矩阵:将一个较大矩阵用若干条横线和纵线分成若干个较小矩阵,每一个小矩阵称为大矩阵的子块,子块大小不必相同。以子块为元的形式上的矩阵称为分块矩阵,同一矩阵有不同的分块矩阵;
- 常见分块方法:列向量组、行向量组、分块对角阵;

- 分块矩阵运算:

- 分块对角矩阵:设 A 为 n 阶方阵,若 A 的分块矩阵中只有在主对角线上有非零子块,其余子块都为零矩阵,且非零子块都是方阵,那么称 A 为分块对角矩阵;

4. 矩阵的秩
- k 阶子式:在 m×n 矩阵 A 中,任取 k 行 k 列交叉点处的 k2 个元(k<=m 且 k<=n),按原相对位置排列,得到一个 k 阶行列式,该行列式称为矩阵 A 的一个 k 阶子式。矩阵 A 共有 C m k C_{m}^{k} Cmk C n k C_{n}^{k} Cnk 个 k 阶子式;
- 矩阵的秩:如果矩阵 A 存在一个不为零的 r 阶子式 D,并且所有的 r+1 阶子式全为零,则称 D 为矩阵 A 的最高阶非零子式,r 为矩阵 A 的秩,记为 R(A) = r。规定零矩阵的秩为 0;
矩阵的秩定义为最高阶非零子式的阶数 r,还可以理解 r 为行(或列)方向上最大线性无关向量的个数,即 行(或列)向量组的最大线性无关组中向量的个数就是矩阵的秩。矩阵的行向量组的秩也称为行秩,列向量组的秩称为列秩。
矩阵的秩等于其行秩,也等于其列秩。以 A = ((1, 0, 1), (0, 1, 0), (0, 0, 0))为例,显然有 R(A) = 2。(1, 0, 1) 和 (0, 1, 0) 线性无关,所以行秩为 2;(1, 0)T 和 (0, 1)T 线性无关,所以列秩为 2。这里有一个误区,就是 A 已经化为行阶梯形,那么矩阵的秩就是非零行数,为 2,但是此时非零列数并不能代表列秩,因为已经做了初等行变换。
- 满秩矩阵:如果 n 阶方阵 A 的秩为 n(即 | A | ≠ 0),则称为满秩矩阵,否则称为降秩矩阵。但满秩矩阵并不局限于方阵,设 m×n 矩阵 B 中:若 R(B) = m,则称为行满秩矩阵,说明行向量线性无关;若 R(B) = n,则称为列满秩矩阵,说明列向量线性无关;
A 是满秩矩阵意味着方阵 A 的行、列向量组均线性无关。
行满秩和列满秩的关系不同于行秩和列秩:行满秩说明行数小于列数且行向量线性无关,如 A = ((1, 0, 1, 0), (0, 1, 0, 0), (0, 0, 0, 1));列满秩说明行数大于列数且列向量线性无关,如 B = ((0, 0, 1), (0, 1, 0), (1, 0, 0), (0, 0, 1))。而行秩和列秩是用来表示矩阵能够形成的空间维数。
- 矩阵的秩的性质:
(1)R(A) = R(AT) = R(AAT) = R(ATA) = R(kA);
设矩阵 Am×n 的行秩为 s,列秩为 t(s<=m, t<=n),则矩阵 AT 的行秩为 t,列秩为 s,所以 R(A) = R(AT) = min{s, t}。
证明 R(ATA) = R(A) 则需要通过证明方程 AX = O 和 ATAX = O 同解实现:AX = O 显然可以推出 ATAX = O;ATAX = O 可以推出 XTATAX = O,即 (AX)TAX = O,从而推出 AX = O。因此 R(A) = R(ATA)。
(2)若矩阵 Am×n,则 R(A) <= min{m, n};
(3)若 A 和 B 为同型矩阵,则 R(A ± B) <= R(A | B) <= R(A) + R(B);
将 A 和 B 拆成列向量组,则 A ± B 可以用 (A | B) 的最大线性无关组进行线性表示,因此 R(A ± B) <= R(A | B)。R(A | B) <= R(A) + R(B) 显然。
(4)max{R(A), R(B)} <= R(A | B) <= R(A) + R(B);
(5)R(AB) <= min{R(A), R(B)};
根据矩阵的线性表示,矩阵 AB 的行向量组可以视为 B 的行向量组的线性组合,所以 R(AB) <= R(B)。又矩阵 AB 的列向量组可以视为 A 的列向量组的线性组合,所以 R(AB) <= R(A)。
(6)若矩阵 Am×n,Bn×s,AB = O,则 R(A) + R(B) <= n;
AB = O 可以看作 A( β 1 , β 2 , . . . , β s \beta_1, \beta_2, ..., \beta_s β1,β2,...,βs) = (0, 0, …, 0),即 B 的列向量都是矩阵方程 Ax = 0 的解,显然最多有 n - R(A) 个线性无关的解(n 为未知数的个数,即 x 的行数),因此 R(B) <= n - R(A),即 R(A) + R(B) <= n。
(7)若方阵 An×n 的秩为 n,则 R(A*) = n;若方阵 An×n 的秩为 n-1,则 R(A*) = 1;若方阵 An×n 的秩小于 n-1,则 R(A*) = 0;
R(A) = n 时,| A | ≠ 0,则 | A* | = | A |n-1 ≠ 0,所以 R(A*) = n;
R(A) = n-1 时,A 存在非零的代数余子式,因此 R(A*) >= 1;又 AA* = | A |E = O,因此 R(A) + R(A*) <= n,所以 R(A*) <= 1;所以 R(A*) = 1;
R(A) <= n-2 时,A 的所有代数余子式均为零,所以 则 R(A*) = 0。
(8)同型矩阵等价的充要条件是秩相等;
5. 初等变换与初等方阵
- 初等变换:对矩阵的行(或列)施以下述三种变换,称为矩阵的初等行(或列)变换:
(1)换行(或列):交换矩阵的两行(或列),即 ri <-> rj(或 ci <-> cj);
(2)数乘:用一个非零的数乘以矩阵的某一行(或列);
(3)倍加:把矩阵的某一行(或列)的 k 倍加于另一行(或列)上;
矩阵的初等行变换和初等列变换统称为矩阵的初等变换; - 矩阵等价性:矩阵 A 经过有限次初等变换变成矩阵 B,则称 A 与 B 等价,记为 A ~ B。如果 A ~ B,则 R(A) = R(B),且等价的矩阵具有自反性、对称性和传递性;
若矩阵 A 经过有限次初等行变换变成矩阵 B,则 A 的行向量组与 B 的行向量组等价,A 的任意 k 个列向量与 B 中对应位置的 k 个列向量具有相同的线性相关性;若矩阵 A 经过有限次初等列变换变成矩阵 B,则 A 的列向量组与 B 的列向量组等价,A 的任意 k 个行向量与 B 中对应位置的 k 个行向量具有相同的线性相关性。
- 行阶梯形矩阵:如果矩阵 A 中元全为零的行(即零行)全在矩阵的下方,元不全为零的行(非零行)在上面,并且每一个非零行的首个非零元的左方、下方以及左下方元全为零,则称 A 是一个行阶梯形矩阵,简称阶梯型;

- 行最简形矩阵:如果一个阶梯型中每一个非零行的首个非零元等于 1,且该列中其他元都是 0,则称改矩阵为行最简形矩阵,简称最简形;
任何一个矩阵都可以经过有限次初等行变换化成行阶梯形及行最简形,且矩阵的秩等于行阶梯形非零行的行数。
- 标准型:如果 A = (aij)m×n,R(A) = r,则称如下矩阵为 A 的标准型:

显然满秩矩阵的标准型为 En×n,等价的矩阵有相同的标准型;
任何一个矩阵都可以经过有限次初等行变换化成标准型,因此任意矩阵都与自己的标准形等价。
- 初等方阵:由单位矩阵 E 经过一次初等变换得到的方阵称为初等方阵。三种初等变换对应了三类初等方阵;

初等方阵的性质:
由于初等变换都是可逆的,因此初等方阵也是可逆的;
满秩矩阵(不一定是方阵)可以表示为有限个初等方阵的乘积;
可逆矩阵(一定是方阵)可以表示为有限个初等方阵的乘积;
初等变换法可以用来求 A-1:如果矩阵 An 可逆,则 (An | En) 可以经过有限次初等行变换得到 (En | An-1);
6. 矩阵的逆
- 逆矩阵:对 n 阶方阵 A,如果存在 n 阶方阵 B,使 AB = BA = E,则称 A 是可逆矩阵,B为 A 的逆矩阵,记为 A-1。注意,只有方阵才可能有逆矩阵;
逆矩阵运算规则如下:
(A-1)-1 = A
(kA)-1 = 1 k \frac{1}{k} k1 A-1 (k ≠ 0)
(AB)-1 = B-1A-1
(AT)-1 = (A-1)T
- 伴随矩阵:设方阵 A = (aij)n×n ,则由 A 中各元的代数余子式在原位置上组成的矩阵的转置称为方阵 A 的伴随矩阵,记为 A*:

由行列式的展开定理及推论,可得 AA* = A*A = | A |E = (| A | δ \delta δij ),即

伴随矩阵运算规则如下:
A* = | A |A-1
AA* = A*A = | A |E = (| A | δ \delta δij )
| A* | = | A |n-1
(A*)-1 = (A-1)* = 1 ∣ A ∣ \frac{1}{| A |} ∣A∣1 A
(A*)T = (AT)*
(kA)* = kn-1A*
(A*)* = | A |n-2A
(AB)* = B*A*
- 矩阵的逆的求解方法:伴随矩阵法、初等变换法、分块对角法。注意,求解 A 的逆矩阵前,必须保证矩阵可逆(A 是方阵且 | A | ≠ 0);
矩阵的逆的求解方法:
伴随矩阵法:A-1 = 1 ∣ A ∣ \frac{1}{| A |} ∣A∣1 A*,适用于阶数较低的可逆矩阵;
初等变换法:如果矩阵 An 可逆,则 (An | En) 可以经过有限次初等行变换得到 (En | An-1)
分块对角法:分块对角矩阵的逆等于对角线上每个子块取逆,显然 | A | = | A1 || A2 |…| As | ≠ 0 才可逆,即对角线上每个子块都可逆;
7. 克拉默法则
- 克拉默法则:矩阵方程 AX = B 有唯一解当且仅当方阵 A 的行列式不为零,且 X = A-1B;

矩阵方程 AX = B就是 n 元一次方程,n 元一次方程想要有唯一解就需要有 n 组方程,且这 n 组方程之间相互加减运算也不会重复(即全是有效方程,没有等价方程)。这就相当于系数矩阵 A 是满秩矩阵,即 | A | ≠ 0。
三. 向量组的线性相关性及线性空间
一组同维的向量可以构成一个向量组,线性相关 / 无关性是向量组的重要特征。向量空间是由向量组成的满足运算封闭性的集合,线性空间则是广义向量构成的满足运算封闭性的集合。
由于空间的同构性,因此只需要弄清楚 n 维向量空间的概念与性质,就可以类比到与之同构的 n 维线性空间,向量空间的子空间、基、坐标等概念都可以类比到线性空间,线性空间中抽象的广义向量也可以用具体的数组向量表示,抽象的线性变换也可以用矩阵表示。
1. n 维向量
- n 维行向量: α \alpha α = (a1, a2, … , an);
- n 维列向量: β \beta β = (b1, b2, … , bn)T;
- 向量的内积:( α \alpha α, β \beta β) = a1*b1 + a2*b2 + … + an*bn;
- 向量的范数:|| α \alpha α || = ( α , α ) \sqrt{(\alpha, \alpha)} (α,α) = a 1 2 + a 2 2 + . . . + a n 2 \sqrt{a_1^2 + a_2^2 + ... + a_n^2} a12+a22+...+an2,也叫向量的模;
- 向量的正交:若 n 维向量 α \alpha α、 β \beta β 满足 ( α \alpha α, β \beta β) = 0,则称为向量正交;
2. 向量组的线性相关性
- 向量组:一组同维的向量组成的集合称为向量组;
- 线性相关性:给定向量组 α 1 \alpha _1 α1, α 2 \alpha _2 α2,…, α m \alpha _m αm,如果存在 m 个不全为 0 的常数 λ 1 \lambda _1 λ1, λ 2 \lambda _2 λ2,…, λ m \lambda _m λm,使得 λ 1 α 1 + λ 2 α 2 + . . . + λ m α m \lambda _1\alpha _1 + \lambda _2 \alpha _2 + ... + \lambda _m \alpha _m λ1α1+λ2α2+...+λmαm = 0,则称该向量组线性相关,这是向量组线性相关的充要条件。否则称为线性无关;
线性相关性其实就是向量组中的某向量可以被其他向量线性表示,可以形象的理解为这组向量中有重复。比如某向量组只含有 α \alpha α 和 β \beta β,如果其线性相关,要么有 0 向量,要么 α \alpha α 和 β \beta β 对应分量成比例。向量组中只要有一个 0 向量,则该组向量线性相关。
还可以将 α i \alpha _i αi 都视为列向量,则 ( α 1 \alpha _1 α1, α 2 \alpha _2 α2,…, α m \alpha _m αm) 是一个 n×m 的系数矩阵 A。 λ 1 α 1 + λ 2 α 2 + . . . + λ m α m \lambda _1\alpha _1 + \lambda _2 \alpha _2 + ... + \lambda _m \alpha _m λ1α1+λ2α2+...+λmαm = 0 就是一个 m 元一次齐次方程组,向量组线性无关则表示没有非零解。
-
定理:
(1)向量组 α 1 \alpha _1 α1, α 2 \alpha _2 α2,…, α m \alpha _m αm(m>=2)线性相关的充要条件时至少存在一个向量可以用其余 m-1 个向量线性表示;
(2)若向量组 α 1 \alpha _1 α1, α 2 \alpha _2 α2,…, α m \alpha _m αm 线性无关,向量组 α 1 \alpha _1 α1, α 2 \alpha _2 α2,…, α m \alpha _m αm, β \beta β 线性相关,则向量 β \beta β 可以由向量组 α 1 \alpha _1 α1, α 2 \alpha _2 α2,…, α m \alpha _m αm 线性表示,且表示式唯一;
(3)若向量组 α 1 \alpha _1 α1, α 2 \alpha _2 α2,…, α m \alpha _m αm 线性相关,则向量组 α 1 \alpha _1 α1, α 2 \alpha _2 α2,…, α m \alpha _m αm,…, α n \alpha _n αn(n > m)也线性相关;若向量组 β 1 \beta _1 β1, β 2 \beta _2 β2,…, β m \beta _m βm 线性无关,则向量组 β 1 \beta _1 β1, β 2 \beta _2 β2,…, β s \beta _s βs(s < m)也线性无关;
(4)设向量组 T1: α 1 \alpha _1 α1, α 2 \alpha _2 α2,…, α n \alpha _n αn ,T2: β 1 \beta _1 β1, β 2 \beta _2 β2,…, β n \beta _n βn 和 T3: γ 1 \gamma _1 γ1, γ 2 \gamma _2 γ2,…, γ n \gamma _n γn,其中 α i \alpha _i αi = (a1j, a2j, … , amj), β i \beta _i βi = (a1j, a2j, … , amj, am+1j), γ i \gamma _i γi = (γ1j, γ2j, … , γm-1j)(j = 1, 2, …, n)。若向量组 T1 线性无关,则 T2 也线性无关;若向量组 T1 线性相关,则 T3 也线性相关;T1 线性无关显然能够推出 T2 线性无关,因为 T2 中每个向量都是在 T1 中对应向量的基础上进行增阶。 β i \beta _i βi 再添加有限个元素命题仍然成立。T1 线性相关推出 T3 线性相关同理。
(5)任意 n+1 个 n 维向量一定线性相关;
n+1 个向量想要线性无关则必须能够构成 n+1 维空间,显然 n 维向量无法做到。该命题可以扩展为 m > n 时,任意 m 个 n 维向量构成的向量组一定线性相关。
3. 向量组的最大线性无关组和秩
- 向量组的线性表示:设两个 n 维向量组,A: α 1 \alpha _1 α1, α 2 \alpha _2 α2,…, α r \alpha _r αr,B: β 1 \beta _1 β1, β 2 \beta _2 β2,…, β s \beta _s βs。若向量组 A 中每个向量都可以用向量组 B 线性表示,则称向量组 A 能由向量组 B 线性表示;
向量组 A 能由向量组 B 线性表示 的意思其实就是 A 中每个向量都在 B 的向量所组成的空间中。若 A 能由 B 线性表示且 A 线性无关,则 A 的向量个数小于等于 B 的向量个数。
- 矩阵的线性表示:设矩阵 An×r,Bn×s,Ks×r,有 A = BK,则 A 的行向量组能由矩阵 K 的行向量组线性表示,A 的列向量组能由矩阵 B 的列向量组线性表示;

- 向量组的等价性:如果 A 能由 B 线性表示,B 也能由 A 线性表示,则称向量组 A 和 B 等价。且等价的向量组具有自反性、对称性和传递性;
等价的线性无关的向量组所含向量的个数相等,构成的向量空间相同,因此可以互相线性表示。
- 向量组的秩:向量组的最大线性无关组所含向量的个数称为向量组的秩,向量组的秩和该向量组构成的矩阵的秩相同;
- 最大线性无关组:设向量组 T 中包含了许多 n 维向量,其中存在线性无关的 r 个向量 α 1 \alpha _1 α1, α 2 \alpha _2 α2,…, α r \alpha _r αr,满足 T 中任意向量 α \alpha α 都可以用 α 1 \alpha _1 α1, α 2 \alpha _2 α2,…, α r \alpha _r αr 线性表示,则称 α 1 \alpha _1 α1, α 2 \alpha _2 α2,…, α r \alpha _r αr 为向量组 T 的一个最大线性无关组,简称最大无关组;
向量组的最大线性无关组就相当于基底,较为典型的有 n 维空间下的 n 个方向的单位向量。但向量组的最大线性无关组不一定唯一。
由于初等行变换不改变列向量的线性相关性,因此可以通过初等行变换将列向量组变换成阶梯型,从而得到列向量组的秩和最大线性无关组。
同理,初等列变换不改变行向量的线性相关性,因此可以通过初等列变换将行向量组变换成阶梯型的转置,从而得到行向量组的秩和最大线性无关组。
-
最大线性无关组的性质:
(1)向量组 α 1 \alpha _1 α1, α 2 \alpha _2 α2,…, α n \alpha _n αn 线性无关的充要条件是 α 1 \alpha _1 α1, α 2 \alpha _2 α2,…, α n \alpha _n αn 的最大无关组是其本身;
(2)向量组的不同的最大线性无关组等价;
(3)向量组线性无关的充要条件是所含向量的个数等于向量组的秩;若行秩等于所含向量的个数,则由该矩阵划分得到的行向量组线性无关;若列秩等于所含向量的个数,则由该矩阵划分得到的列向量组线性无关。因为一个矩阵的秩是确定的,所以划分得到的行 / 列向量组的最大无关组的个数相同,所以一个矩阵的行秩和列秩一定相同。
(4)设向量组 A 的秩为 r1,向量组 B 的秩为 r2,若 A 能由 B 线性表示,则 r1 <= r2;
A 能由 B 线性表示说明 A 中向量都在 B 的最大线性无关组所构成的向量空间上,因此 A 的维度不会高于 B,因此 r1 <= r2。
(5)等价的向量组有相同的秩;
4. 正交向量组
- 正交向量组:一组两两正交的向量称为正交向量组;
- 标准正交向量组:一组两两正交的单位向量称为标准正交向量组;
正交向量组是一种特殊的线性无关向量组,线性无关向量组只是要求 n 个向量能够形成 n 维空间,而正交向量组还需要向量之间两两正交,也就是向量之间两两垂直。
标准正交向量组就是 n 维空间的 n 个单位坐标向量。
n 个 n 维行(或列)向量组成的标准正交向量组就是正交矩阵,这是判断 n 阶方阵是正交矩阵的充要条件。
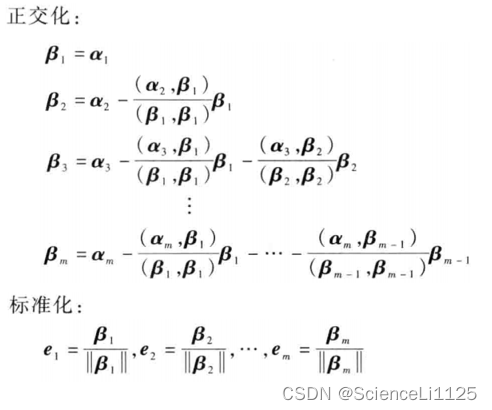
- 施密特标准正交化:将线性无关的向量组 α 1 \alpha _1 α1, α 2 \alpha _2 α2,…, α m \alpha _m αm 化为等价的标准正交向量组;

5. 向量空间
- 向量空间:如果 n 维向量所构成的非空集合 V 满足所定义的加法和数乘的封闭性,则称 V 是向量空间,也叫线性空间;

向量空间由向量和运算组成,其实就是 n 维向量所组成的 n 维空间,如 n 维实空间 Rn = { (a1, a2, …, an)T | ai ∈ R, i = 1, 2, …, n },就满足加法和数乘的封闭性。X = { (x1, x2, …, xm)T | xi ∈ R, i = 1, 2, …, m 且 x1 + x2 + … + xm = 1 },不满足加法和数乘的封闭性,因此不是向量空间。
- 向量组生成的空间:设 α 1 \alpha _1 α1, α 2 \alpha _2 α2,…, α m \alpha _m αm 是 n 维向量组,则称 V = { λ 1 α 1 + λ 2 α 2 + . . . + λ m α m \lambda _1\alpha _1 + \lambda _2 \alpha _2 + ... + \lambda _m \alpha _m λ1α1+λ2α2+...+λmαm | λ i \lambda_i λi ∈ R, i = 1, 2, …, m } 为向量组 α 1 \alpha _1 α1, α 2 \alpha _2 α2,…, α m \alpha _m αm 生成的空间;
- 子空间:如果向量空间 V 的非空子集 S 对于 V 中定义的加法和数乘满足封闭性( 充要条件),则称 S 为 V 的子空间;
- 向量空间的基:若向量空间 V 中的向量组 α 1 \alpha _1 α1, α 2 \alpha _2 α2,…, α r \alpha _r αr 线性无关,且 V 中任一向量 α \alpha α 都可由 α 1 \alpha _1 α1, α 2 \alpha _2 α2,…, α r \alpha _r αr 线性表示,则称 α 1 \alpha _1 α1, α 2 \alpha _2 α2,…, α r \alpha _r αr 为 V 的一个基,r 为向量空间 V 的维数。若 α = x 1 α 1 + x 2 α 2 + . . . + x r α r \alpha = x_1\alpha _1+x_2\alpha _2+...+x_r\alpha _r α=x1α1+x2α2+...+xrαr,则称有序数组 (x1, x2, …, xr) 为向量 α \alpha α 在基 α 1 \alpha _1 α1, α 2 \alpha _2 α2,…, α r \alpha _r αr 下的坐标;
- 基变换:设向量组 α 1 \alpha _1 α1, α 2 \alpha _2 α2,…, α n \alpha _n αn 和 β 1 \beta _1 β1, β 2 \beta _2 β2,…, β n \beta _n βn 是 n 维向量空间 V 中的两个基,则存在过渡矩阵 P,使得 ( β 1 \beta _1 β1 β 2 \beta _2 β2 … β n \beta _n βn) = ( α 1 \alpha _1 α1 α 2 \alpha _2 α2 … α n \alpha _n αn) P,该过程称为基变换;

- 坐标变换:设 n 维空间 V 中向量 α \alpha α 在基 α 1 \alpha _1 α1, α 2 \alpha _2 α2,…, α n \alpha _n αn 下的坐标为 (x1, x2, …, xn)T,在基 β 1 \beta _1 β1, β 2 \beta _2 β2,…, β n \beta _n βn 下的坐标为 (y1, y2, …, yn)T,则有坐标变换公式 (x1, x2, …, xn)T = P (y1, y2, …, yn)T,其中 P 为基 α 1 \alpha _1 α1, α 2 \alpha _2 α2,…, α n \alpha _n αn 到基 β 1 \beta _1 β1, β 2 \beta _2 β2,…, β n \beta _n βn 的过渡矩阵;
6. 线性空间
- 数域:设 K 是一个数集,若 K 中任意两个数的和、差、积、商(除数不为 0)仍在 K 中,则称 K 为一个数域;
很显然,数域中一定包含 0 和 1,因为 K 中的数可以与自身作差或商。复数集 C、实数集 R、有理数集 Q 都是数域;整数集 Z 不是数域,因为不满足除法的封闭性。
- 线性空间:如果非空集合 V 中定义了封闭的加法运算、与数域 K 上的数的封闭的数乘运算,并满足八条线性运算公理,则称 V 为数域 K 上的线性空间;

前一节介绍的向量空间 V 中的元素都是向量,其实向量空间(也就是线性空间)中的元素并不一定要是向量,也可以是函数或者矩阵等。由于线性空间中元素加法的封闭性约束,线性空间中的元素一般都是同一类型。不过在线性空间中,一般统一将其元素都称为向量,即广义上的向量就是线性空间中的元素(狭义上的向量就是常见的形式,即有序数组)。比如全体 n 维向量(狭义上)组成的集合构成 n 维向量空间 Rn;全体 m×n 矩阵组成的集合构成矩阵空间 Mmn;次数不超过 n 的所有一元多项式组成的集合构成线性空间 P[x]n = { anxn + an-1xn-1 + … + a1x + a0 | an, an-1, …, a0 ∈ R }。
线性空间的本质就是定义了封闭的线性运算的非空集合。K 为复数集 C 时,称 V 为复线性空间;K 为实数集 R 时,称 V 为实线性空间。
- 线性相关性:数域 K 上的线性空间 V 中的向量 α 1 \alpha _1 α1, α 2 \alpha _2 α2,…, α m \alpha _m αm,如果存在 m 个不全为 0 的常数 λ 1 \lambda _1 λ1, λ 2 \lambda _2 λ2,…, λ m \lambda _m λm,使得 λ 1 α 1 + λ 2 α 2 + . . . + λ m α m \lambda _1\alpha _1 + \lambda _2 \alpha _2 + ... + \lambda _m \alpha _m λ1α1+λ2α2+...+λmαm = 0,则称该向量组线性相关,否则称为线性无关;
这里的向量是广义上的向量,可以是向量,矩阵或者函数都可以。如线性空间 P[x]2 中的向量组 1, x, 2x2 线性无关,1, x, 2x+1, x2 线性相关。
- 内积:若线性空间 V 中的任意元素 α \alpha α, β \beta β 的 ( α \alpha α, β \beta β) 运算对应唯一实数且满足四条公理,则称 ( α \alpha α, β \beta β) 为 α \alpha α, β \beta β 的内积;

定义了内积运算的实线性空间称为欧几里得空间,简称欧式空间。欧式空间中可以通过向量内积定义广义向量的长度(即范数):|| α \alpha α || = ( α , α ) \sqrt{(\alpha, \alpha)} (α,α); - 映射:设非空集合 V,W,若给定一个法则 T,使 V 中任何元素 α \alpha α 都有 W 中的唯一元素 β \beta β 与之对应,则称法则 T 是 V 至 W 的一个映射,记为 T:V -> W。并且 β \beta β 称为 α \alpha α 在 T 下的像,记为 β \beta β = T( α \alpha α); α \alpha α 称为 β \beta β 在 T 下的原像;
代数中经常使用的函数就是一种特殊的映射:函数是所作用数域上的一个元素到另一个元素的映射,映射则是所作用的两个集合元素之间的映射。
- 线性映射:设线性空间 V,W,若存在一个 V 至 W 的映射 T,对任意 α \alpha α, β \beta β ∈ V 及任意实数 λ \lambda λ,满足性质:T( α \alpha α + β \beta β) = T( α \alpha α) + T( β \beta β),T( λ α \lambda\alpha λα) = λ \lambda λT( α \alpha α),则称映射 T 为线性映射;
- 线性变换:当 V = W 时,称线性映射 T 为线性变换;
线性变换其实就是线性空间 V 到自身的一种特殊映射,以下列举一些常见的线性变换:
- 恒等变换 I:V -> V,对任意 α \alpha α ∈ V,有 I( α \alpha α) = α \alpha α;
- 零变换 O:V -> V,对任意 α \alpha α ∈ V,有 O( α \alpha α) = 0;
- 数乘变换 T:V -> V,对任意 α \alpha α ∈ V,有 T( α \alpha α) = k α \alpha α;
线性变换的本质就是广义向量的映射,记为 y = C x y=Cx y=Cx。当 C 为可逆矩阵时,称为可逆线性变换;当 C 为正交矩阵时,称为正交变换。
- 同构:在 n 维线性空间 V 的基取定的情况下,V 中的向量 α \alpha α 与 n 维向量空间 Rn 中的数组向量 (a1, a2, …, an)T 一一对应并且该对应关系还满足线性组合的对应,就称 n 维线性空间 V 与 n 维向量空间 Rn 同构;
同构的意思是具有相同的代数结构,因此只需要弄清楚 n 维向量空间的概念与性质,就可以类比到与之同构的 n 维线性空间。因此向量空间的子空间、基、坐标等概念都可以类比到线性空间,线性空间中抽象的广义向量也可以用具体的数组向量表示,抽象的线性变换也可以用矩阵表示。
比如在次数不超过 3 的所有一元多项式构成线性空间 P[x]3 中,取基 α 1 \alpha_1 α1 = 1, α 2 \alpha_2 α2 = x, α 3 \alpha_3 α3 = x2, α 4 \alpha_4 α4 = x3。对于任意 α \alpha α = a3x3 + a2x2 + a1x + a0 ∈ P[x]3,定义一个线性变换 D( α \alpha α) = 3a3x2 + 2a2x + a1。则对于 α 1 \alpha_1 α1,令 a3x3 + a2x2 + a1x + a0 = α 1 \alpha_1 α1 = 1,解得 a3 = a2 = a1 = 0,a0 = 1,因此 D( α 1 \alpha_1 α1) = 3a3x2 + 2a2x + a1 = 0;同理,D( α 2 \alpha_2 α2) = 1,D( α 3 \alpha_3 α3) = 2x,D( α 4 \alpha_4 α4) = 3x2。于是该变换可以写成:
D ( α 1 , α 2 , α 3 , α 4 ) = ( α 1 , α 2 , α 3 , α 4 ) ( 0 1 0 0 0 0 2 0 0 0 0 3 0 0 0 0 ) D(\alpha_1, \alpha_2, \alpha_3, \alpha_4) = (\alpha_1, \alpha_2, \alpha_3, \alpha_4) \left( \begin{matrix} 0 & 1 & 0 & 0 \\ 0 & 0 & 2 & 0 \\ 0 & 0 & 0 & 3 \\ 0 & 0 & 0 & 0 \\ \end{matrix} \right) D(α1,α2,α3,α4)=(α1,α2,α3,α4) 0000100002000030
当然,线性变换的矩阵表示与基的选择有关,同一线性变换在不同基下的矩阵表示一般也不同。
四. 线性方程组
线性方程组的求解在工科中有相当广泛的应用,加减消元法是我们最早接触到的解决办法。当引入线性代数后,我们可以使用行列式、矩阵的秩、向量组进行讨论与求解。
1. 线性方程组的同解定理
- 线性方程组:线性方程组本质就是 n 元一次方程组,一般形式如下:

可以写成 A x = β Ax = \beta Ax=β, A A A 称为系数矩阵, x x x 称为解向量,其中:

- 齐次线性方程组:若 β \beta β = 0,则称该线性方程组为齐次线性方程组;
- 非齐次线性方程组:若 β \beta β ≠ 0,则称该线性方程组为非齐次线性方程组;
A x = 0 Ax = 0 Ax=0 称为齐次线性方程组是因为方程的每一项都是 1 次项,即 x;而 A x − β = 0 Ax - \beta = 0 Ax−β=0 称为非齐次线性方程组是因为方程的有 0 次项。为了表示方便,将 β \beta β 扩展到系数矩阵 A 的下一列,称为增广矩阵,记为 A ‾ \overline{A} A = (A | β \beta β),即:
- 方程组的初等变换:求解线性方程组时,通常采用消元法将方程组化简,包括以下三种初等变换:
(1)交换两个方程的位置;
(2)用非零数乘某一个方程等式的两端;
(3)把一个方程两端乘某一数后加到另一个方程; - 同解定理:若线性方程组 A 1 x = β 1 A_1x = \beta_1 A1x=β1 的增广矩阵 A ‾ 1 \overline{A}_1 A1 = ( A 1 ∣ β 1 A_1 | \beta_1 A1∣β1) 经过有限次初等行变换变成 A ‾ 2 \overline{A}_2 A2 = ( A 2 ∣ β 2 A_2 | \beta_2 A2∣β2),则称线性方程组 A 1 x = β 1 A_1x = \beta_1 A1x=β1 与 A 2 x = β 2 A_2x = \beta_2 A2x=β2 同解;
2. 齐次线性方程组
- 解的个数: x x x 取 0 时齐次线性方程组永远成立,因此齐次线性方程组不可能无解。设齐次线性方程组的 x x x 为 n 维列向量,即有 n 个未知数;系数矩阵的秩 R(A) = r:
- 若 r = n,则齐次线性方程组有唯一的零解;
- 若 r < n,则齐次线性方程组有非零解,并且有无穷多的解。对于这种情况,未知数 xr+1,xr+2,…,xn 都称为自由未知数;
- 解空间:齐次线性方程组 A x = 0 Ax = 0 Ax=0 的解的集合 { x x x = (x1, x2, …, xn)T | A x = 0 Ax = 0 Ax=0 } 构成了 Rn 的一个子空间,该线性空间称为齐次线性方程组的解空间;
- 基础解系:齐次线性方程组的解空间的基称为齐次线性方程组的基础解系;
- 解的结构:对于只有唯一零解的齐次线性方程组,无基础解系;对于有无穷多的解的齐次线性方程组,它的解向量是使用基础解系表示。由于向量空间的基不唯一,因此基础解系也不唯一,但其所表示的解向量是相同的。基础解系由 n - r 个解向量组成,求解有无穷多解的齐次线性方程组的流程如下:

x = k 1 ξ 1 + k 2 ξ 2 + . . . + k n − r ξ n − r x = k_1\xi_1+k_2\xi_2+...+k_{n-r}\xi_{n-r} x=k1ξ1+k2ξ2+...+kn−rξn−r 称为齐次线性方程组的通解;
实际运算中,左上角并不一定能够化成单位矩阵,此时需要先确定自由未知数,再找到方程的基础解系:
3. 非齐次线性方程组
- 解的存在性判定定理:非齐次线性方程组 A x = β Ax = \beta Ax=β 有解的充要条件是其系数矩阵 A A A 与增广矩阵 A ‾ \overline{A} A 有相同的秩;
不像齐次线性方程组一定有零解,非齐次线性方程组想要有解,必须使得 A x = β Ax = \beta Ax=β 等式成立。又 A x = β Ax = \beta Ax=β 可以写成 ( α 1 , α 2 , . . . , α n \alpha_1, \alpha_2, ..., \alpha_n α1,α2,...,αn)(x1, x2, …, xn)T = β \beta β,即 x 1 α 1 + x 2 α 2 + . . . + x n α n = β x_1\alpha_1+x_2\alpha_2+...+x_n\alpha_n=\beta x1α1+x2α2+...+xnαn=β。所以想要非齐次线性方程组有解,必须有 β \beta β 可由 α 1 , α 2 , . . . , α n \alpha_1, \alpha_2, ..., \alpha_n α1,α2,...,αn 线性表示,即 ( α 1 , α 2 , . . . , α n \alpha_1, \alpha_2, ..., \alpha_n α1,α2,...,αn) 和 ( α 1 , α 2 , . . . , α n , β \alpha_1, \alpha_2, ..., \alpha_n, \beta α1,α2,...,αn,β) 等价,因此 R( A A A) = R( A ‾ \overline{A} A)。
有解的非齐次线性方程组称为相容的,否则称为不相容。
- 解的个数:非齐次线性方程组不一定有解。设齐次线性方程组的 x x x 为 n 维列向量,即有 n 个未知数;系数矩阵的秩 R( A A A) = r1,增广矩阵的秩 R( A ‾ \overline{A} A) = r2:
- 若 r1 ≠ r2,则非齐次线性方程组无解;
- 若 r1 = r2,则非齐次线性方程组有解:
- 若 r1 = r2 = n,则非齐次线性方程组有唯一解;
- 若 r1 = r2 < n,则非齐次线性方程组有无穷多解;
- 解的结构:非齐次线性方程组的解由特解和通解组成,特解是满足 A x = β Ax = \beta Ax=β 的解向量,一般令自由未知数为 0 得到,记为 η ∗ \eta^* η∗;通解则是非齐次线性方程组 A x = β Ax = \beta Ax=β 所对应的齐次线性方程组 A x = 0 Ax = 0 Ax=0 的一般解。求解有无穷多解的非齐次线性方程组的流程如下:

x = η ∗ + k 1 ξ 1 + k 2 ξ 2 + . . . + k n − r ξ n − r x = \eta^*+k_1\xi_1+k_2\xi_2+...+k_{n-r}\xi_{n-r} x=η∗+k1ξ1+k2ξ2+...+kn−rξn−r 称为齐次线性方程组的通解;
五. 矩阵的特征值、特征向量与相似对角化
本章讨论的矩阵都是方阵,因为只有方阵才有特征值与特征向量,只有方阵才可能相似对角化。方阵在实际应用中有广泛的应用场景,很多归结到底都是求其特征值与特征向量。
1. 方阵的特征值与特征向量
- 特征值与特征向量:设 V 是一个向量空间,T: V->V 是一个线性变换,如果存在数 λ \lambda λ 和 V 中的非零向量 x x x 使得 T x x x = λ x \lambda x λx,则称数 λ \lambda λ 为线性变换 T 的一个特征值,非零向量 x x x 称为 T 的对应于特征值 λ \lambda λ 的一个特征向量。又由于线性变换 T 可以用方阵 A 表示,因此上述定义可以写成:设 A 是 n 阶方阵,如果存在数 λ \lambda λ 和 n 维非零列向量 x x x 使得 A x x x = λ x \lambda x λx,则称数 λ \lambda λ 为方阵 A 的特征值,非零向量 x x x 称为 A 的对应于特征值 λ \lambda λ 的一个特征向量;
- 特征方程与特征多项式:方阵 A 的特征方程是 | A- λ \lambda λE | = 0 0 0,特征多项式是 f f f( λ \lambda λ) = | A- λ \lambda λE |;
要求 A 的特征值与特征向量,只要求满足方程 (A- λ \lambda λE) x x x = 0 的 λ \lambda λ 和 x x x。该方程有非零解的充要条件是系数矩阵的秩小于 n,即 | A- λ \lambda λE | = 0 0 0,通过该行列式可以求出 λ \lambda λ 的值。然后将 λ \lambda λ 代入原方程,求得该齐次线性方程组的无穷多组解。因此,对于 A 的特征值与特征向量,每个特征值对应无穷多个特征向量,但每个特征向量对应唯一的特征值。
n 个互不相同的特征值对应 n 个线性无关的特征向量,但 n 个线性无关的特征向量并不一定会有 n 个互不相同的特征向量。因为特征向量是由线性无关的基础解系构成,一个特征值对应的特征向量的基础解系就可能包含多个线性无关的特征向量。因此特征方程重根时(n 个特征值之间有重)也有可能会有 n 个线性无关的特征向量。
在复数范围内,n 阶方阵 A 有 n 个特征值。实矩阵的特征值不一定是实数,特征向量也不一定是实向量。但实对称矩阵的特征值一定是实数。
-
特征值的性质:
(1)设 λ 1 , λ 2 , . . . , λ n \lambda_1, \lambda_2, ..., \lambda_n λ1,λ2,...,λn 为方阵 A 的 n 个特征值,则有 λ 1 λ 2 . . . λ n \lambda_1\lambda_2...\lambda_n λ1λ2...λn = | A |;并且 λ 1 + λ 2 + . . . + λ n \lambda_1+\lambda_2+...+\lambda_n λ1+λ2+...+λn = ∑ i = 1 n a i i \sum_{i=1}^n a_{ii} ∑i=1naii,称为方阵 A 的迹,记为 tr(A);
(2)方阵 A 可逆的充要条件是是 A 的特征值全不为 0;
(3)若 λ \lambda λ 是方阵 A 的特征值,对应特征向量 p p p,则矩阵 A A-1(A 可逆) A* kA Ak f f f(A) AT P-1AP 特征值 λ \lambda λ 1 λ \frac{1}{\lambda} λ1( λ \lambda λ ≠ 0) ∣ A ∣ λ \frac{| A |}{\lambda} λ∣A∣( λ \lambda λ ≠ 0) k λ \lambda λ λ \lambda λk f ( λ ) f(\lambda) f(λ) λ \lambda λ λ \lambda λ 特征向量 p p p p p p p p p p p p p p p p p p — P-1 p p p (4)设 λ 1 , λ 2 , . . . , λ m \lambda_1, \lambda_2, ..., \lambda_m λ1,λ2,...,λm 是方阵 A 的 m 个特征值, p 1 , p 2 , . . . , p m p_1, p_2, ..., p_m p1,p2,...,pm 是依次与之对应的特征向量。如果 λ 1 , λ 2 , . . . , λ m \lambda_1, \lambda_2, ..., \lambda_m λ1,λ2,...,λm 各不相等,则 p 1 , p 2 , . . . , p m p_1, p_2, ..., p_m p1,p2,...,pm 线性无关;
(5)设 p i 1 , p i 2 , . . . , p i t i p_{i1}, p_{i2}, ..., p_{it_i} pi1,pi2,...,piti 是方阵 A 对应特征值 λ i \lambda_i λi 的 ti 个线性无关的向量(i = 1,2,…,m),且 λ 1 , λ 2 , . . . , λ m \lambda_1, \lambda_2, ..., \lambda_m λ1,λ2,...,λm 两两不相等。则 p 11 , p 12 , . . . , p 1 t 1 , p 21 , p 22 , . . . , p 2 t 2 , . . . , p m 1 , p m 2 , . . . , p m t m p_{11}, p_{12}, ..., p_{1t_1}, p_{21}, p_{22}, ..., p_{2t_2}, ..., p_{m1}, p_{m2}, ..., p_{mt_m} p11,p12,...,p1t1,p21,p22,...,p2t2,...,pm1,pm2,...,pmtm 线性无关;
2. 相似矩阵
- 相似矩阵与相似变换:设 n 阶方阵 A,B,若有可逆方阵 P,使 P-1AP = B 成立,则称矩阵 A 与 B 相似,记为 A ~ B。对 A 进行运算 P-1AP 称为对 A 进行相似变换,可逆矩阵P 称为把 A 变成 B 的相似变换矩阵;
相似关系是等价关系,具有自反性、对称性、传递性的性质。
-
相似矩阵的性质:
(1)若 n 阶方阵 A 与 B 相似,则 A 与 B 的特征多项式相同,特征值也相同;该命题可以通过特征多项式证明:| B - λ \lambda λE | = | P-1AP - λ \lambda λE | = | P-1AP - P-1( λ \lambda λE)P | = | P-1 || A - λ \lambda λE || P | = | A - λ \lambda λE |。
但该命题的逆命题不成立,特征多项式和特征值相同无法推出相似,反例如下,求出来的 P 不可逆:
A = ( 1 1 0 1 ) , B = ( 1 0 0 1 ) A=\left(\begin{matrix} 1 & 1 \\ 0 & 1 \\ \end{matrix} \right),B=\left(\begin{matrix} 1 & 0 \\ 0 & 1 \\ \end{matrix} \right) A=(1011),B=(1001)(2)若 n 阶方阵 A 与 B 相似,则 | A | = | B |,tr(A) = tr(B),R(A) = R(B);
(3)若 P-1AP = B,则 A ~ B、A-1 ~ B-1(A, B 可逆时)、Ak ~ Bk(k 为正整数)、 f f f(A) ~ f f f(B)( f f f 为多项式运算),且相似变换矩阵仍是 P;
(4)若 P-1AP = B,则 AT ~ BT,但相似变换矩阵不再是 P; -
相似对角化:若 n 阶方阵 A 与对角矩阵 Λ \Lambda Λ = diag( λ \lambda λ1, λ \lambda λ2, … , λ \lambda λn) 相似,则称 A 是可以相似对角化的。 λ \lambda λ1, λ \lambda λ2, … , λ \lambda λn 也是 A 的 n 个特征值;
-
相似对角化的条件:
- n 阶方阵 A 可以相似对角化的充要条件是 A 有 n 个线性无关的特征向量;
- n 阶方阵 A 可以相似对角化的充要条件是 A 的每个 k 重特征值都恰好有 k 个线性无关的特征向量;
- n 阶方阵 A 可以相似对角化的充分条件是 A 有 n 个互不相等的特征值;
- n 阶方阵 A 可以相似对角化的充分条件是 A 是实对称矩阵;
以上四个判据都可以推出 A 能够相似对角化,但前两个是等价条件,后两个只是充分条件。A 的特征值有重根时也有可能 A 可以相似对角化。
- 相似对角化的过程:

注意,P 中特征向量的顺序需与对角矩阵中 λ \lambda λ 顺序对应;
3. 实对称矩阵的相似对角化
由于 n 阶方阵能否相似对角化较为复杂,因此仅讨论 A 为实对称矩阵的情形。因为实对称矩阵的 k 重根特征值对应的特征向量的基础解系包含 k 个线性无关的基向量,所以实对称矩阵一定有 n 个线性无关的特征向量,因此实对称矩阵一定可以相似对角化。
-
实对称矩阵的性质:
(1)实对称矩阵的特征值全都是实数;
(2)设 λ \lambda λ1, λ \lambda λ2 是实对称矩阵 A 的两个特征值, p 1 p_1 p1, p 2 p_2 p2 是对应的特征向量。若 λ \lambda λ1 ≠ λ \lambda λ2,则 p 1 p_1 p1 与 p 2 p_2 p2 正交;
(3)设 A 为 n 阶实对称矩阵, λ \lambda λ 是 A 的特征方程的 k 重根,则方阵 A - λ \lambda λE 的秩为 n - k,即 λ \lambda λ 对应 k 个线性无关的特征向量;
(4)设 A 为 n 阶实对称矩阵,则必有正交矩阵 P 使 P-1AP = Λ \Lambda Λ,其中 Λ \Lambda Λ 是以 A 的 n 个特征值为对角元的对角矩阵,称 A 正交相似于对角矩阵 Λ \Lambda Λ; -
正交矩阵相似对角化的过程:

4. 特征值理论的应用
- 动态模型:实际应用中常使用差分模型 x n + 1 = A x n x_{n+1}=Ax_n xn+1=Axn 描述系统的动态变化,如果矩阵 A 可以相似对角化,则很容易预测系统在指定时刻的状态。以斐波那契数列为例:

- 主成分分析:实际应用中常通过主成分分析实现降维,把多指标问题转换成少数几个综合指标。设由 n 个变量构成的随机向量的协方差矩阵 A 是实对称矩阵且特征值非负,则可以将特征值由大到小排序,则 r 个不同的非零特征值可以确定 r 个主成分,每个主成分的贡献率为 λ i t r ( A ) \frac{\lambda_i}{tr(A)} tr(A)λi。实际应用中常略去贡献率较小的成分,保留若干个主成分使其累计贡献率超过85%,应用如下:

六. 二次型
在解析几何中,二元函数 y = f(x) 是自变量 x 到因变量 y 的映射。对于解析几何中的 二次函数 或 二次方程,改变其一次项的系数并不会影响其形状,只是平移或伸缩。因此二次型只研究二次项,即将函数中的自变量 x 扩展为一个向量,并且函数中只包含二次项。这样的映射就是一个二次型,表示向量到实数的映射。
1. 二次型及其标准型
- 二次型:含有 n 个变量 x 1 , x 2 , . . . , x n x_1, x_2, ..., x_n x1,x2,...,xn 的二次齐次函数 f ( x 1 , x 2 , . . . , x n ) = a 11 x 1 2 + a 22 x 2 2 + . . . + a n n x n 2 + 2 a 12 x 1 x 2 + 2 a 13 x 1 x 3 + . . . + 2 a n − 1 , n x n − 1 x n f(x_1, x_2, ..., x_n)=a_{11}x_1^2+a_{22}x_2^2+...+a_{nn}x_n^2+2a_{12}x_1x_2+2a_{13}x_1x_3+...+2a_{n-1,n}x_{n-1}x_n f(x1,x2,...,xn)=a11x12+a22x22+...+annxn2+2a12x1x2+2a13x1x3+...+2an−1,nxn−1xn 称为 n 元二次型,简称二次型。 a 11 x 1 2 , a 22 x 2 2 a_{11}x_1^2,a_{22}x_2^2 a11x12,a22x22 等称为平方项, 2 a 12 x 1 x 2 , 2 a 13 x 1 x 3 2a_{12}x_1x_2,2a_{13}x_1x_3 2a12x1x2,2a13x1x3 等称为混合项。当 a i j a_{ij} aij 为实数时, f f f 称为实二次型;
本节讨论的都是实二次型,只要令 a i j = a j i a_{ij}=a_{ji} aij=aji,则二次型可以用矩阵表示:
f ( x 1 , x 2 , . . . , x n ) = ( x 1 , x 2 , . . . , x n ) ( a 11 a 12 ⋯ a 1 n a 21 a 22 ⋯ a 2 n ⋮ ⋮ ⋱ ⋮ a n 1 a n 2 ⋯ a n n ) ( x 1 x 2 ⋮ x n ) f(x_1, x_2, ..., x_n)=(x_1, x_2, ..., x_n) \left( \begin{matrix} a_{11}& a_{12} & \cdots & a_{1n} \\ a_{21} & a_{22} & \cdots & a_{2n} \\ \vdots & \vdots & \ddots & \vdots \\ a_{n1} & a_{n2} & \cdots & a_{nn} \\ \end{matrix} \right)\left( \begin{matrix} x_1\\ x_2 \\ \vdots \\ x_n \\ \end{matrix} \right) f(x1,x2,...,xn)=(x1,x2,...,xn) a11a21⋮an1a12a22⋮an2⋯⋯⋱⋯a1na2n⋮ann x1x2⋮xn
可以看出,二次型就相当于向量的二次函数,记为 f ( x ) = x T A x f(x)=x^TAx f(x)=xTAx,其中 A 为对称矩阵。若二次型 f f f 为实二次型,则 A 为实对称矩阵。
- 二次型的秩:因为对称矩阵 A 称为二次型 f f f 的矩阵,因此 A 的秩称为二次型 f f f 的秩;
- 二次型的标准型:只含有平方项的二次型称为二次型的标准型,即 f = λ 1 y 1 2 + λ 2 y 2 2 + . . . + λ n y n 2 = y T Λ y f=\lambda_1y_1^2+\lambda_2y_2^2+...+\lambda_ny_n^2=y^T \Lambda y f=λ1y12+λ2y22+...+λnyn2=yTΛy,其中 Λ \Lambda Λ = diag( λ \lambda λ1, λ \lambda λ2, … , λ \lambda λn)。二次型的标准型也叫法式。如果该标准型的平方项系数只有 0 和 ±1,则称该二次型为规范二次型;
要想将二次型化为标准型,需要寻求可逆线性变换 x = C y x=Cy x=Cy,使得变换后的二次型只含有平方项。因为 f = x T A x = ( C x ) T A ( C y ) = y T ( C T A C ) y f=x^TAx=(Cx)^TA(Cy)=y^T(C^TAC)y f=xTAx=(Cx)TA(Cy)=yT(CTAC)y,所以只需要让 C T A C = Λ C^TAC= \Lambda CTAC=Λ,该关系称为合同。
- 合同矩阵:设 n 阶方阵 A,B,若有可逆方阵 C,使 CTAC = B 成立,则称矩阵 A 与 B 合同,记为 A ≃ \simeq ≃ B
合同关系是等价关系,具有自反性、对称性、传递性的性质。
- 合同矩阵的条件:设 A 和 B 都是实对称矩阵,则
- A 与 B 合同的充要条件是 x T A x x^TAx xTAx 和 x T B x x^TBx xTBx 有相同的正、负惯性指数,即 A 与 B 的正、负特征值个数相同;
- A 与 B 合同的充分条件是 A 与 B 相似;
- A 与 B 合同的必要条件是 A 与 B 等价,即 R(A) = R(B);
2. 化二次型为标准型
由实对称矩阵的性质,必有正交矩阵 P 使 P-1AP = Λ \Lambda Λ,又由于正交矩阵满足 P-1 = PT,因此 PTAP = Λ \Lambda Λ,即总存在对角矩阵合同于实对称矩阵。想要将二次型化为标准型,实际上就是寻找可逆方阵 C,使得 A 与 Λ \Lambda Λ 合同,主要有特征值法、拉格朗日配方法和初等变换法。
- 存在性定理:任给实二次型 f = ∑ i , j = 1 n a i j x i x j ( a i j = a j i ) f=\sum\limits_{i,j=1}^n a_{ij}x_ix_j(a_{ij}=a_{ji}) f=i,j=1∑naijxixj(aij=aji),总有正交变换 x = C y x=Cy x=Cy,使 f f f 化为标准型 f = λ 1 y 1 2 + λ 2 y 2 2 + . . . + λ n y n 2 f=\lambda_1y_1^2+\lambda_2y_2^2+...+\lambda_ny_n^2 f=λ1y12+λ2y22+...+λnyn2,其中 λ 1 , λ 2 , . . . , λ n \lambda_1, \lambda_2, ..., \lambda_n λ1,λ2,...,λn 是二次型 f f f 对应的实对称矩阵 A = (aij)n×n 的特征值;
- 特征值法:

- 拉格朗日配方法:

- 初等变换法: ( A E ) \left(\begin{array}{c}{A} \\ {E}\end{array}\right) (AE) ~ ( Λ P ) \left(\begin{array}{c}{\Lambda} \\ {P}\end{array}\right) (ΛP)

- 惯性定理:二次型的标准形不唯一,但标准形中所含的项数是确定的。使用不同的可逆线性变换化实二次型为标准形时,标准形中正系数平方项的个数 p 与负系数平方项的个数 q 都是固定不变的,且总项数 p + q 等于二次型的秩;
- 正 / 负惯性指数:在实二次型 f ( x 1 , x 2 , . . . , x n ) f(x_1, x_2, ..., x_n) f(x1,x2,...,xn) 的标准型中,正平方项的个数 p 称为二次型 f ( x 1 , x 2 , . . . , x n ) f(x_1, x_2, ..., x_n) f(x1,x2,...,xn) 的正惯性系数,负平方项的个数 q 称为负惯性系数。p - q 称为符号差;
3. 正定二次型
- 正定二次型:设有实二次型 f ( x 1 , x 2 , . . . , x n ) f(x_1, x_2, ..., x_n) f(x1,x2,...,xn),若对于任意一组不全为 0 的实数 k 1 , k 2 , . . . , k n k_1, k_2, ..., k_n k1,k2,...,kn,都有 f ( k 1 , k 2 , . . . , k n ) f(k_1, k_2, ..., k_n) f(k1,k2,...,kn) > 0,则称二次型 f ( x 1 , x 2 , . . . , x n ) f(x_1, x_2, ..., x_n) f(x1,x2,...,xn) 为正定二次型,二次型 f f f 的矩阵 A 为正定矩阵;
若对于任意一组不全为 0 的实数 k 1 , k 2 , . . . , k n k_1, k_2, ..., k_n k1,k2,...,kn,都有 f ( k 1 , k 2 , . . . , k n ) f(k_1, k_2, ..., k_n) f(k1,k2,...,kn) < 0,则称实二次型 f ( x 1 , x 2 , . . . , x n ) f(x_1, x_2, ..., x_n) f(x1,x2,...,xn) 为负定二次型, f f f 的矩阵为负定矩阵;若对于任意一组不全为 0 的实数 k 1 , k 2 , . . . , k n k_1, k_2, ..., k_n k1,k2,...,kn,都有 f ( k 1 , k 2 , . . . , k n ) f(k_1, k_2, ..., k_n) f(k1,k2,...,kn) >= 0,则称实二次型 f ( x 1 , x 2 , . . . , x n ) f(x_1, x_2, ..., x_n) f(x1,x2,...,xn) 为半正定二次型, f f f 的矩阵为半正定矩阵;若对于任意一组不全为 0 的实数 k 1 , k 2 , . . . , k n k_1, k_2, ..., k_n k1,k2,...,kn,都有 f ( k 1 , k 2 , . . . , k n ) f(k_1, k_2, ..., k_n) f(k1,k2,...,kn) <= 0,则称实二次型 f ( x 1 , x 2 , . . . , x n ) f(x_1, x_2, ..., x_n) f(x1,x2,...,xn) 为半负定二次型, f f f 的矩阵为半负定矩阵;若二次型 f f f 既能取到正值,又能取到负值,则称实二次型 f ( x 1 , x 2 , . . . , x n ) f(x_1, x_2, ..., x_n) f(x1,x2,...,xn) 为不定二次型, f f f 的矩阵为不定矩阵。
- k 阶顺序主子式:设 n 阶方阵 A = ( a 11 a 12 ⋯ a 1 n a 21 a 22 ⋯ a 2 n ⋮ ⋮ ⋱ ⋮ a n 1 a n 2 ⋯ a n n ) A=\left(\begin{array}{cccc}{a_{11}} & {a_{12}} & {\cdots} & {a_{1 n}} \\ {a_{21}} & {a_{22}} & {\cdots} & {a_{2 n}} \\ {\vdots} & {\vdots} & {\ddots} & {\vdots} \\ {a_{n 1}} & {a_{n 2}} & {\cdots} & {a_{n n}}\end{array}\right) A= a11a21⋮an1a12a22⋮an2⋯⋯⋱⋯a1na2n⋮ann ,称 ∣ a 11 a 12 ⋯ a 1 k a 21 a 22 ⋯ a 2 k ⋮ ⋮ ⋱ ⋮ a k 1 a k 2 ⋯ a k k ∣ \left|\begin{array}{cccc}{a_{11}} & {a_{12}} & {\cdots} & {a_{1 k}} \\ {a_{21}} & {a_{22}} & {\cdots} & {a_{2 k}} \\ {\vdots} & {\vdots} & {\ddots} & {\vdots} \\ {a_{k 1}} & {a_{k 2}} & {\cdots} & {a_{k k}}\end{array}\right| a11a21⋮ak1a12a22⋮ak2⋯⋯⋱⋯a1ka2k⋮akk 为 A A A 的 k 阶顺序主子式(k = 1, 2, …, n);
- 实对称矩阵正定 / 负定的条件:
- 实对称矩阵 A A A 是正定矩阵的充要条件是 A A A 的特征值全为正;
- 实对称矩阵 A A A 是正定矩阵的充要条件是 A A A 与单位矩阵 E 合同;
- 实对称矩阵 A A A 是正定矩阵的充要条件是 A A A 的各阶顺序主子式都为正;
- 实对称矩阵 A A A 是负定矩阵的充要条件是 A A A 的偶数阶顺序主子式都为正,奇数阶顺序主子式都为负;
- 实二次型正定 / 负定 / 半正定 / 半负定 / 不定的条件:
- 实二次型 f = x T A x f=x^TAx f=xTAx 是正定的充要条件是它的标准型的 n 个系数全为正,即正惯性指数等于 n;
- 实二次型 f = x T A x f=x^TAx f=xTAx 是负定的充要条件是它的负惯性指数等于 n;
- 实二次型 f = x T A x f=x^TAx f=xTAx 是半正(负)定的充要条件是它的正(负)惯性指数等于它的秩;
- 实二次型 f = x T A x f=x^TAx f=xTAx 是不定的充要条件是它的正负惯性指数都为正;
4. 二次型的应用
- 二次曲面:在平面解析几何中,常常会通过旋转和平移变换将二次曲线方程化为标准方程。利用二次型的正交变换和平移变换,可以化一般二次曲面为标准形式,从而判断曲面的类型:

- 多元二次函数的最值:对任意 n 元二次函数,可以表示为 f ( x 1 , x 2 , . . . , x n ) = x T A x − 2 x T α + b f(x_1, x_2, ..., x_n)=\boldsymbol {x}^TA\boldsymbol {x} - 2\boldsymbol {x}^T \boldsymbol {\alpha}+b f(x1,x2,...,xn)=xTAx−2xTα+b。若 A 为正(负)定矩阵,该函数有唯一向量 x ∗ = A − 1 α \boldsymbol {x}^*=A^{-1}\alpha x∗=A−1α 使该函数有最小(大)值 b − ( x ∗ ) T A x ∗ b-(\boldsymbol {x}^*)^TA\boldsymbol {x}^* b−(x∗)TAx∗;
补充
矩阵的关系
等价关系:矩阵 A 经过有限次初等变换能够变成矩阵 B,记为 A ≅ \cong ≅ B;
相似关系:对方阵 A,B,存在可逆方阵 P,使 P-1AP = B 成立,记为 A ∼ \sim ∼ B;
合同关系:对方阵 A,B,存在可逆方阵 C,使 CTAC = B 成立,记为 A ≃ \simeq ≃ B;
对于实对称矩阵 A 和 B,相似必合同,合同必等价。
本文来自互联网用户投稿,文章观点仅代表作者本人,不代表本站立场,不承担相关法律责任。如若转载,请注明出处。 如若内容造成侵权/违法违规/事实不符,请点击【内容举报】进行投诉反馈!





