数学一知识点积累
指记录本人不熟悉的知识点。(会不时更新,并将自己不熟练的部分置顶,不分大学科,只分小知识点)

在看到“光明”的同时,更要准备困难,更要有底线思维。
高数
(1~4周)
函数 极限 连续
函数是微积分的研究对象。确定函数有两个法则,定义域和对应法则。
有界函数,值域在一个有限的范围内。
奇函数 f(0)=0
奇函数积分为偶函数,偶函数积分为奇函数,
奇函数求导为偶函数,偶函数求导是奇函数
∫
导数 微分 中值定理
一般,由极坐标表示的曲线,可把θ视作参数,写出曲线的参数方程,再利用参数方程求导公式即可得出函数的导数。
不定积分 定积分
向量代数与空间解析几何
多元微分
dz = ∂ z ∂ x \frac{∂z}{∂x} ∂x∂zdx+ ∂ z ∂ y \frac{∂z}{∂y} ∂y∂zdy
线性代数
行列式 矩阵 向量 方程组
A是n阶矩阵 A* = (Aji )n*n(代数余子式)
- (AB) * = B *A *
- ( ( ( A T \ A^T AT ) ∗ )^{*} )∗ = ( ( ( A ∗ \ A^{*} A∗ ) T )^T )T
- ( ( ( A − 1 \ A^{-1} A−1 ) ∗ )^* )∗ = ( ( ( A ∗ \ A^* A∗ ) − 1 )^{-1} )−1
- AA* = A*A = |A|E
- 当|A| !=0 时, A ∗ A ∗ ∣ A ∣ A*\frac{A^*}{|A|} A∗∣A∣A∗ = A ∗ ∣ A ∣ \frac{A^*}{|A|} ∣A∣A∗A = E,则 A − 1 A^{-1} A−1 = A ∗ A ∗ ∣ A ∣ A*\frac{A^*}{|A|} A∗∣A∣A∗
另一方面, A ∣ A ∣ \frac{A}{|A|} ∣A∣A A ∗ A^* A∗ = A ∗ A^* A∗ * A ∣ A ∣ \frac{A}{|A|} ∣A∣A = E,则 ( ( ( A ∗ A^* A∗ ) − 1 )^{-1} )−1 = A ∣ A ∣ \frac{A}{|A|} ∣A∣A
A的伴随矩阵=A的模*A的逆矩阵
r ( A ∗ ) = { n , r ( A ) = n n − 1 , r ( A ) = n − 1 0 = r ( A ) < n − 1 r(A^*)=\left\{ \begin{aligned} n & ,& r(A)=n \\ n-1 & , & r(A)=n-1 \\ 0 & = & r(A)
向量组等价的基本判定是:两个向量组可以互相线性表示。
矩阵等价,只需满足两矩阵之间可以通过一系列可逆变换,也即若干可逆矩阵相乘得到。
方程组有解,系数矩阵秩=增广矩阵的秩
方程组无解,系数矩阵秩≠增广矩阵的秩
特征值和特征向量 二次型
1.设A为n阶矩阵,若
Aα = λα(α≠0),则称λ是A的特征值,α是A的属于λ的特征向量。
将上式变形(λE-A)· α = 0 (α≠0),即齐次线性方程组(λE-α)=0有非零解
2 求特征值与特征向量
方法一:
解方程|λE-A|=0 得特征值λ
解方程组(λE-A)α = 0 得特征向量α
方法二:利用定义Αα=λα
3.特征值的性质
设A为n阶矩阵,A的特征值为λ1,λ2,λ3…λn,则
- λ1+λ2+…+λn = ∑ i = 1 n \sum_ {i=1}^n ∑i=1naii = tr(A), 称tr(A)= ∑ i = 1 n \sum_ {i=1}^n ∑i=1naii为A的迹。
- λ1λ2…λn=|A|
4 特征向量的性质
- 不同特征值对应的特征向量是线性无关的
- 设A为n阶矩阵,λk为A的k重特征值(k>1),则属于λk的线性无关的特征向量个数不超过k个。
- 设A为n阶矩阵,Aα1 = λ1α1, Aα2 = λ2α2, λ1≠λ2,其中α1 ≠ 0,α2 ≠ 0,则α1 +α2 不是A的特征向量。
实对称矩阵的不同特征值对应的特征向量正交
A~B 意味着 迹相同(对角线元素相加之和)并且 行列式相同
A= α β T αβ^T αβT,(α, β)意思是tr(A) = A的迹
概率
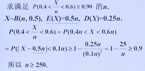
B二项分布 binomial distribution X~B(n, p) n表示测验的次数,p表示一次非0的概率
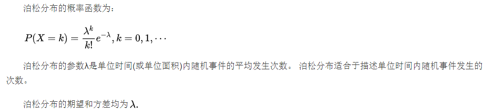
P泊松分布 poisson’s distribution
U均匀分布 uniform distribution
E指数分布 exponential distribution
N正态分布 normal distribution X~N(u1,n1) 2 X 2X 2X~N(2u1, 2 2 2^2 22*n1) Y~ N(u2, n2) X+Y~N(u1+u2, n1+n2) X-Y ~N(u1-u2, n1+n2)

随机事件 随机变量 多维随机变量 数字特征
相互独立的条件下,联合概率密度为两个概率密度相乘,然后求二重积分。###
连续性随机变量的分布函数也是连续函数。
数学期望 E(x)= ∑ i = 1 ∞ \sum_{i=1}^{∞} ∑i=1∞ xp(x) 数学期望反应平均值

泊松分布是离散型的。

指数分布 期望是参数的倒数
正态分布 期望是μ 也是对称轴
柯西分布没有期望
数学期望可能存在也可能不存在








第三条,变量相减,则期望相减,简便复杂变量运算
第四条反过来不成立


方差


方差反映随机变量取值关于平均值的平均离散程度。




泊松分布,期望和方差都是其参数λ
正态分布,方差是 σ 2 σ^2 σ2


二项分布的方差,利用性质3. np(1-p)


协方差 相关系数 矩
协方差和相关系数反映两个随机变量的关系

协方差有可能存在,也有可能不存在





相不相关,算协方差。


相关系数



相不相关只是,线性关系。 别的关系不知道,独立是啥关系都没有。



大数定律 极限中心定理




频率依概率收敛于统计概率




中心极限定理



给了一个近似计算公式


数理统计 参数估计 假设检验
本文来自互联网用户投稿,文章观点仅代表作者本人,不代表本站立场,不承担相关法律责任。如若转载,请注明出处。 如若内容造成侵权/违法违规/事实不符,请点击【内容举报】进行投诉反馈!
