二-MOS管直流特性

物理过程:
MOS管的物理结构中源漏是对称的,按照定义,载流子从源端流向漏端,对于N管来说,载流子为电子,故通常其漏电压高于源电压。
故首先从源端分析其导电过程:
(1)VG小于0,p-sub中空穴在衬底表面积累:
提高VG后,栅-衬底相当于一上下极板电容器,栅压为正,故会排斥表面正电荷,而在表面留下固定负电荷。
(2)0
耗尽层形成后,继续增加栅压,在栅-耗尽层-p-sub相当于两分压电容,此时,衬底表面电压升高,从n型掺杂的源端吸引电子流向表面进而流向漏端,形成反型沟道。
(3)VG>VTH,强反型,自由电子从源端流向表面最终流向漏端,源漏之间形成反型沟道电流:
此处定义VG>VTH为沟道瞬间开启的强反型,即沟道电子浓度等于p-sub中空穴的掺杂浓度。
对于漏端,其反型原理与源端相同,由于源漏定义为源漏之间的电子流向,电子从源端流向漏端,故漏电压总高于源端,即当漏端反型时,源端早已反型,因此才形成反型沟道。

上图为MOS管的I-V特性曲线,作如下解释:
(1)根据沟道电流形成的物理过程,电流饱和的本质在于栅漏压差VGD小于阈值电压使得反型层电子耗尽,沟道夹断,由于VGD=VGS+VSD,VGS不变,故在上图表现为VDS增加到过驱动电压时,电流饱和;
(2)随着VDS增加,沟道由近似均匀逐渐表现为严重的非线性,故其模型由深三极管区的线性电阻阻值逐渐增大变成为饱和区(恒流源区)具有高阻特性的非线性电阻;
(3)VGS越大,感应电场越强,沟道电荷越多,深三极管区均匀沟道电阻越小,I-V特性三极管区斜率越大;
其数学表示如下:

二级效应:
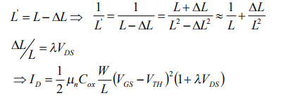
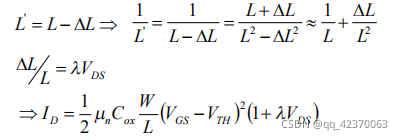
(1)沟道长度调制效应:由于饱和区沟道夹断后,有效长度变小,故需要对饱和区I-V特性修正。依照其物理过程可知,沟道长度变化与VDS有关(VDS越大,Leff越小,为反比例关系),假设二者为线性关系,定义λVDS=△L/L,则沟道长度越长,λ越小,当λ=0时为理想恒流源。实际应用中常取L为最小沟道长度的3-5倍,甚至10倍以实现良好的横流特性。

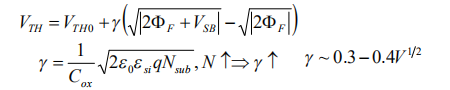
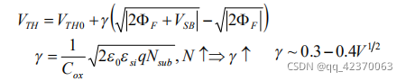
(2)衬偏效应:由于VBS不总为0,当VB

(3)亚阈值导电:当VGS

本文来自互联网用户投稿,文章观点仅代表作者本人,不代表本站立场,不承担相关法律责任。如若转载,请注明出处。 如若内容造成侵权/违法违规/事实不符,请点击【内容举报】进行投诉反馈!
