线性回归梯度下降求解—代码实现
李毅宏机器学习——课后作业Linear Regression
使用某个气象站的观测记录,分为train set训练集和test set测试集。训练集是一年中每个月的前20天每天24小时的所有资料,测试集是从剩下的资料中取样出来。
Data中含有18项观测数据包括PM2.5、PM10等,模型的目标是通过前9个小时的观测数据,预测第10个小时的PM2.5指标,显然Linear Regression线性回归模型最适合。
Regression回归的理论基础,Regression回归这篇笔记中已经详细讨论过。
作业的数据在链接:https://pan.baidu.com/s/1_26vBKu3RHSD9YfJZBP67A
提取码:fv58
一、数据预处理
数据预处理部分代码:
import sys
import pandas as pd
import numpy as np
data=pd.read_csv('./train.csv',encoding='big5')
data=data.iloc[:,3:]
data[data=='NR']=0#将'NR'都替换成0
raw_data=np.array(data.values.tolist())#将数据转成二维数组
将数据从纵向时序排列调整成横向18个特征*一年12个月20天每天24小时的数据组。

month_data={}
for month in range(12):sample=np.empty([18,480])for day in range(20):sample[:,day*24:(day+1)*24]=raw_data[18*(20*month+day):18*(20*month+day+1),:]month_data[month]=sample
在横向时间轴上以每10小时为一个训练集滑动提取训练集数据
x = np.empty([12 * 471, 18 * 9], dtype = float)
y = np.empty([12 * 471, 1], dtype = float)
for month in range(12):for day in range(20):for hour in range(24):if day == 19 and hour > 14:continuex[month * 471 + day * 24 + hour, :] = month_data[month][:,day * 24 + hour : day * 24 + hour + 9].reshape(1, -1) #vector dim:18*9 (9 9 9 9 9 9 9 9 9 9 9 9 9 9 9 9 9 9)y[month * 471 + day * 24 + hour, 0] = month_data[month][9, day * 24 + hour + 9] #value
到这里数据集就转化为:

二、特征缩放
数据处理好后不能直接跑模型,可以先进行特征归一化平衡特征值,能够使得梯度更加容易得下降到全局最优。

其中mi是特征的平均值,σi是特征最大值减去最小值。
mean_x = np.mean(x, axis = 0)
std_x = np.std(x, axis = 0)
for i in range(len(x)): for j in range(len(x[0])): if std_x[j] != 0:x[i][j] = (x[i][j] - mean_x[j]) / std_x[j]
将训练集按8:2比例分为组内训练集与测试集,测试模型训练效果。
import math
x_train_set = x[: math.floor(len(x) * 0.8), :]
y_train_set = y[: math.floor(len(y) * 0.8), :]
x_validation = x[math.floor(len(x) * 0.8): , :]
y_validation = y[math.floor(len(y) * 0.8): , :]
三、梯度下降求解
梯度下降法是线性回归模型参数求解的方法,在Gradient descent 梯度下降中讨论了计算方法与优化方法。

dim = 18 * 9 + 1 #之所以+1是留出误差项b的位置
w = np.ones([dim, 1]) #w就是待学习参数
x = np.concatenate((np.ones([12 * 471, 1]), x), axis = 1).astype(float)
learning_rate = 100 #初始化学习率设置为100
iter_time = 1000 #训练次数为1000次
adagrad = np.zeros([dim, 1]) #adagrad自适应学习率方法
eps = 0.0000000001 #adagrad中防止分母为0的极小值
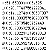
for t in range(iter_time):loss = np.sqrt(np.sum(np.power(np.dot(x, w) - y,2)) / 471 / 12)#损失函数if(t%100==0):#每隔100次输出一次误差值print(str(t) + ":" + str(loss))gradient = 2 * np.dot(x.transpose(), np.dot(x, w) - y) #计算的梯度,在下文中详解adagrad += gradient ** 2 #adagrad中,学习率要除以历史所有的梯度平方和w = w - learning_rate * gradient / np.sqrt(adagrad + eps) #更新w的值
np.save('weight.npy', w) #储存w
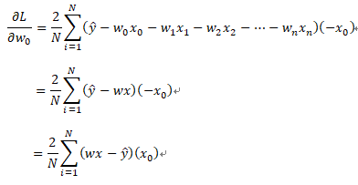
这里要详细解释为什么代码中梯度gradient的计算公式是:
gradient = 2 * np.dot(x.transpose(), np.dot(x, w) - y)
即:

首先,线性回归的表达式为:

令X0=1,则表达式可以化为:

损失函数表达式:

对w0求微分:

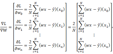
这样求完所有参数w的微分,就是:

至此可以看出,梯度gradient就是2×X的转置×损失误差。
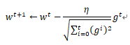
至于adagrad的表达式:

模型训练过程输出可以看到损失误差逐步减小。

四、测试模型效果
w = np.load('weight.npy') #提取训练好的参数w
x_validation = np.concatenate((np.ones([1131, 1]), x_validation), axis=1).astype(float)
ans_y = np.dot(x_validation, w)
loss = np.sqrt(np.sum(np.power(ans_y - y_validation, 2)) / 1131)
print(loss) #输出误差
测试数据的误差为6.39619,是个还不错的结果。
五、提交作业
用同样的预处理方法处理test set测试集数据,输出预测结果保存到csv文件。
testdata = pd.read_csv('./test.csv', header=None, encoding='big5')
test_data = testdata.iloc[:, 2:]
test_data[test_data == 'NR'] = 0
test_data = np.array(test_data.values.tolist())
test_x = np.empty([240, 18 * 9], dtype=float)
for i in range(240): # 共240个测试输入数据test_x[i, :] = test_data[18 * i: 18 * (i + 1), :].reshape(1, -1)
for i in range(len(test_x)):for j in range(len(test_x[0])):if std_x[j] != 0:test_x[i][j] = (test_x[i][j] - mean_x[j]) / std_x[j]
test_x = np.concatenate((np.ones([240, 1]), test_x), axis=1).astype(float)
# 进行预测
w = np.load('weight.npy')
ans_y = np.dot(test_x, w) # test data的预测值ans_y=test_x与W的积
#输出到csv文件
import csv
with open('F:/BaiduNetdiskDownload/hw1/submit.csv', mode='w', newline='') as submit_file:csv_writer = csv.writer(submit_file)header = ['id', 'value']print(header)csv_writer.writerow(header)for i in range(240):row = ['id_' + str(i), ans_y[i][0]]csv_writer.writerow(row)print(row)
完整做完这套作业,对于不理解的细节进行推敲,感觉自己对于逻辑回归与梯度下降有了更多实质的理解。
本文来自互联网用户投稿,文章观点仅代表作者本人,不代表本站立场,不承担相关法律责任。如若转载,请注明出处。 如若内容造成侵权/违法违规/事实不符,请点击【内容举报】进行投诉反馈!
