浅显易懂的逻辑回归
今天梳理一下逻辑回归,这个算法由于简单、实用、高效,在业界应用十分广泛。注意咯,这里的“逻辑”是音译“逻辑斯蒂(logistic)”的缩写,并不是说这个算法具有怎样的逻辑性。前面说过,机器学习算法中的监督式学习可以分为2大类: 分类模型:目标变量是分类变量(离散值); 回归模型:目标变量是连续性数值变量。逻辑回归通常用于解决分类问题,例如,业界经常用它来预测:客户是否会购买某个商品,借款人是否会违约等等。实际上,“分类”是应用逻辑回归的目的和结果,但中间过程依旧是“回归”。为什么这么说?因为通过逻辑回归模型,我们得到的计算结果是0-1之间的连续数字,可以把它称为“可能性”(概率)。对于上述问题,就是:客户购买某个商品的可能性,借款人违约的可能性。然后,给这个可能性加一个阈值,就成了分类。例如,算出贷款违约的可能性>0.5,将借款人预判为坏客户。
1.从线性回归说起
考虑最简单的情况,即只有一个自变量的情况。比方说广告投入金额x和销售量y的关系,散点图如下,这种情况适用一元线性回归。




2.Sigmod函数

3.推广到多元

4.似然函数

5.最大似然估计


6.损失函数
在机器学习领域,总是避免不了谈论损失函数这一概念。损失函数是用于衡量预测值与实际值的偏离程度,即模型预测的错误程度。也就是说,这个值越小,认为模型效果越好,举个极端例子,如果预测完全精确,则损失函数值为0。在线性回归一文中,我们用到的损失函数是残差平方和SSE:

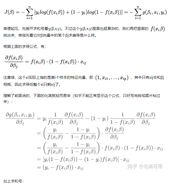
7.梯度下降法求解
要开始头疼的公式推导部分了,不要害怕哦,我们还是从最简单的地方开始,非常容易看懂



9 总结
(1) 获取lable=1 的概率p 则0的概率为1-p 为了可以用一个统一的式子表示 推出
py * (1-p)(1-y)
(2) 根据最大似然 写出连成的函数 为了方便计算(p在0,1之间,连乘结果很小),引入log
(3)可以利用梯度下降计算
10 逻辑回归为什么使用sigmod函数
理解推导第一个角度即可



本文来自互联网用户投稿,文章观点仅代表作者本人,不代表本站立场,不承担相关法律责任。如若转载,请注明出处。 如若内容造成侵权/违法违规/事实不符,请点击【内容举报】进行投诉反馈!
