利用RNN(lstm)生成文本【转】
本文转载自:https://www.jianshu.com/p/1a4f7f5b05ae
致谢以及参考
最近在做序列化标注项目,试着理解rnn的设计结构以及tensorflow中的具体实现方法。在知乎中找到这篇文章,具有很大的帮助作用,感谢作者为分享知识做出的努力。
学习目标定位
我主要重点在于理解文中连接所提供的在github上的project代码,一句句理解数据的预处理过程以及rnn网络搭建过程(重点在于代码注释,代码改动很小,实用python3)。(进入下面环节之前,假设你已经阅读了知乎上的关于rnn知识讲解篇幅,project的readme文档)
数据预处理
- 理解模型大概需要的重要参数:/Char-RNN-TensorFlow-master/train.py
# encoding: utf-8import tensorflow as tf
from model import CharRNN import os import codecs # 相比自带的open函数 读取写入进行自我转码 from read_utils import TextConverter, batch_generator FLAGS = tf.flags.FLAGS # 变量定义 以及 默认值 tf.flags.DEFINE_string('name', 'default', 'name of the model') tf.flags.DEFINE_integer('num_seqs', 100, 'number of seqs in one batch') # 一个 batch 可以组成num_seqs个输入信号序列 tf.flags.DEFINE_integer('num_steps', 100, 'length of one seq') # 一个输入信号序列的长度, rnn网络会更具输入进行自动调整 tf.flags.DEFINE_integer('lstm_size', 128, 'size of hidden state of lstm') # 隐藏层节点数量,即lstm 的 cell中state数量 tf.flags.DEFINE_integer('num_layers', 2, 'number of lstm layers') # rnn的深度 tf.flags.DEFINE_boolean('use_embedding', False, 'whether to use embedding') # 如果中文字符则需要一个word2vec, 字母字符直接采用onehot编码 tf.flags.DEFINE_integer('embedding_size', 128, 'size of embedding') # 使用word2vec的 中文字符的嵌入维度选取 tf.flags.DEFINE_float('learning_rate', 0.001, 'learning_rate') tf.flags.DEFINE_float('train_keep_prob', 0.5, 'dropout rate during training') tf.flags.DEFINE_string('input_file', '', 'utf8 encoded text file') # --input_file data/shakespeare.txt tf.flags.DEFINE_integer('max_steps', 100000, 'max steps to train') tf.flags.DEFINE_integer('save_every_n', 1000, 'save the model every n steps') tf.flags.DEFINE_integer('log_every_n', 10, 'log to the screen every n steps') # 不同于英文字符比较短几十个就能解决,中文字符比较多,word2vec层之前输入需要进行onehot编码,根据字符频数降序排列取前面的3500个编码 tf.flags.DEFINE_integer('max_vocab', 3500, 'max char number') - 理解main函数中数据预处理部分, 数据预处理主要采用TextConverter类
def main(_):model_path = os.path.join('model', FLAGS.name) print("模型保存位置(根据模型命名)", model_path) if os.path.exists(model_path) is False: os.makedirs(model_path) with codecs.open(FLAGS.input_file, encoding='utf-8') as f: print("建模训练数据来源:", FLAGS.input_file) text = f.read() converter = TextConverter(text, # string # 返回一个整理文本词典的类 FLAGS.max_vocab) print("构建该文本的字符集合数量(包含未登录词:):", converter.vocab_size) print("建模所用字符保存地址位置(list): ", os.path.join(model_path, 'converter.pkl')) # 用来建模词汇的 前max_vocab个 converter.save_to_file(os.path.join(model_path, 'converter.pkl')) arr = converter.text_to_arr(text) # batch生成函数:返回一个生成器 - TextConverter类:\Char-RNN-TensorFlow-master\read_utils.py
比如 莎士比亚训练数据用vocab组成:{v} {'} {[} {t} {u} {R} {W} {x} {?} { } {F} {I} {G} {O} {E} {$} {y} {e} {:} {L} {s} {c} {g} {Y} {]} {h} {w} {-} {a} {S} {J} {q} {V} {3} {X} {p} {T} {!} {C} {n} {;} {r} {M} {j} {f} {U} {d} {Q} {K} {b} {m} {H} {Z} {o} {i} {P} {D} {.} {l} {&} {N} {z} {A} {,} {
} {B} {k}
class TextConverter(object):def __init__(self, text=None, max_vocab=5000, filename=None): """ :param text: string :param max_vocab: :param filename: """ if filename is not None: # 如果存在 字典文件,即将字符集合进行编号的字典 with open(filename, 'rb') as f: self.vocab = pickle.load(f) else: vocab = set(text) # 组成text的所有字符,比如, i see you, 那么就是 i s e y o u logging.info('组成文本的字符集合:') logging.info("数量: %d" % len(vocab)) s = ' '.join(["{%s}" % v for v in vocab]) logging.info("vocab: %s" % s) # max_vocab_process vocab_count = defaultdict(int) # 这里相对原始代码做了小小优化 # 统计所有字符的频数 for word in text: vocab_count[word] += 1 vocab_count_list = list(vocab_count.items()) vocab_count_list.sort(key=lambda x: x[1], reverse=True) # 根据频数降序排序 if len(vocab_count_list) > max_vocab: vocab_count_list = vocab_count_list[:max_vocab] # 截取最大允许部分 vocab = [x[0] for x in vocab_count_list] # 截取 前max_vocab self.vocab = vocab # 对vocab进行编序 self.word_to_int_table = {c: i for i, c in enumerate(self.vocab)} # 词汇进行编序号 self.int_to_word_table = dict(enumerate(self.vocab)) @property # 这个实现直接,将vocab_size作为一个变量成员调用而不是方法 def vocab_size(self): return len(self.vocab) + 1 # 加上一个未登录词 def word_to_int(self, word): # 更具给定的字符返回index if word in self.word_to_int_table: return self.word_to_int_table[word] else: # 未登录词 就是最后一个序号 return len(self.vocab) def int_to_word(self, index): # 根据给定indx返回字符 if index == len(self.vocab): return '' # 未登录词 elif index < len(self.vocab): return self.int_to_word_table[index] else: raise Exception('Unknown index!') def text_to_arr(self, text): # 将文本序列化:字符转化为index arr = [] for word in text: arr.append(self.word_to_int(word)) return np.array(arr) def arr_to_text(self, arr): # 反序列化 words = [] for index in arr: words.append(self.int_to_word(index)) return "".join(words) def save_to_file(self, filename): # 存储词典 with open(filename, 'wb') as f: pickle.dump(self.vocab, f) - 准备batch用于训练
# batch生成函数:返回一个生成器print("训练文本长度:", len(arr))print("num_seqs:", FLAGS.num_seqs) print("num_steps", FLAGS.num_steps) g = batch_generator(arr, # 输入信号文本序列 FLAGS.num_seqs, # batch 信号序列数量 FLAGS.num_steps) # 一个信号序列的长度 -
重点在于理解batch_generator函数, 这个过程的理解需要理解生成文本的rnn的输出和输入是什么样的(N vs N, 输出和输入数目是一致的)
-
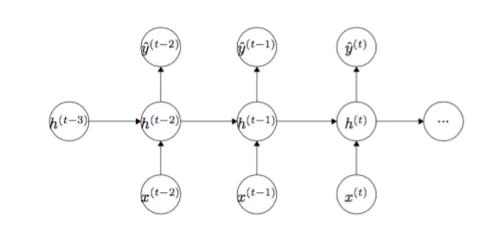
- 一个单层的展开如下: 展开后h的节点个数取决于你的输入序列向量的长度,即输入文本的长度,图片来源于简书,这个链接可以帮助你很好从数学公式上理解。
image.png
- 一个单层的展开如下: 展开后h的节点个数取决于你的输入序列向量的长度,即输入文本的长度,图片来源于简书,这个链接可以帮助你很好从数学公式上理解。
-
-
一个文本序列输入展示(这里为了直观的展示没有将文本数字化, 例如真正的"床"的输入应该为一个embeding的向量, 而输出“前”也是一个与输入一致的长度向量)
image.png
-
-
/read_utils.py 的batch_generator函数
def batch_generator(arr, n_seqs, n_steps):""" 生成训练用的batch :param arr: :param n_seqs: :param n_steps: :return: """ arr = copy.copy(arr) # 序列 batch_size = n_seqs * n_steps # 一个batch需要的字符数量 n_batches = int(len(arr) / batch_size) # 整个文本可以生成的batch总数 arr = arr[:batch_size * n_batches] # 截取下 以便reshape成array arr = arr.reshape((n_seqs, -1)) # 将batch, reshape成n_seqs行, 每行为一输入信号序列(序列长度为n_steps) while True: np.random.shuffle(arr) # 打乱文本序列顺序 print(arr) for n in range(0, arr.shape[1], n_steps): x = arr[:, n:(n + n_steps)] y = np.zeros_like(x) y[:, :-1], y[:, -1] = x[:, 1:], x[:, 0] # yield x, y -
- 测试下原来的代码的结果
arr = np.arange(27)for x, y in batch_generator(arr, 4, 3):print(x)print(y)break -
- out-put: 以 6 7 8为例, 给出一个6, 生成文本的长度为3。将6对应的输出7作为下一个state的输入,输出8, 然后依次这么进行下去,y应该为7,8, 9。说明一下的是最后一个输出为啥为6 ,前面一个链接存在解释。
0-26序列进行生成序列操作,每批训练batch序列总数为4, 每个写的长度为3
打乱排序的结果
[[ 6 7 8 9 10 11][ 0 1 2 3 4 5][18 19 20 21 22 23] [12 13 14 15 16 17]] x [[ 6 7 8] [ 0 1 2] [18 19 20] [12 13 14]] y [[ 7 8 6] [ 1 2 0] [19 20 18] [13 14 12]] rnn 模型搭建
为了更好的理解这个过程下面是实际整个rnn的结构展开展示,如有错误请指出:
代码中构建2层的rnn,每个state(方块)的有两个一样的输出h,得到输出前有个softmax处理。
image.png - train.py中main函数调用rnn部分代码
model = CharRNN(converter.vocab_size,# 分类的数量num_seqs=FLAGS.num_seqs, # 一个batch可以组成num_seq个信号num_steps=FLAGS.num_steps, # 一次信号输入RNN的字符长度,与一层的cell 的数量挂钩lstm_size=FLAGS.lstm_size, # 每个cell的节点数量:num_layers=FLAGS.num_layers, # RNN 的层数 learning_rate=FLAGS.learning_rate, # 学习速率 train_keep_prob=FLAGS.train_keep_prob, use_embedding=FLAGS.use_embedding, embedding_size=FLAGS.embedding_size) model.train(g, FLAGS.max_steps, model_path, FLAGS.save_every_n, FLAGS.log_every_n,) -
重点在于model.py中的CharRNN类的调用
-
- 搭建rnn隐藏层
整个过程的理解在备注带代码里面,暂时不用关注类里面,sample函数
- 搭建rnn隐藏层
# coding: utf-8from __future__ import print_function
import tensorflow as tf
import numpy as np
import time
import osdef pick_top_n(preds, vocab_size, top_n=5): p = np.squeeze(preds) # 将除了top_n个预测值的位置都置为0 p[np.argsort(p)[:-top_n]] = 0 # 归一化概率 p = p / np.sum(p) # 随机选取一个字符 c = np.random.choice(vocab_size, 1, p=p)[0] return c class CharRNN: def __init__(self, num_classes, num_seqs=64, num_steps=50, lstm_size=128, num_layers=2, learning_rate=0.001, grad_clip=5, sampling=False, train_keep_prob=0.5, use_embedding=False, embedding_size=128): if sampling is True: # 用于 预测 num_seqs, num_steps = 1, 1 # 仅仅根据前面一个字符预测后面一个字符 else: num_seqs, num_steps = num_seqs, num_steps self.num_classes = num_classes # 分类结果数量,与字典容量一致包含未登录字 self.num_seqs = num_seqs self.num_steps = num_steps self.lstm_size = lstm_size self.num_layers = num_layers self.learning_rate = learning_rate self.grad_clip = grad_clip self.train_keep_prob = train_keep_prob self.use_embedding = use_embedding self.embedding_size = embedding_size tf.reset_default_graph() self.build_inputs() self.build_lstm() self.build_loss() self.build_optimizer() self.saver = tf.train.Saver() def build_inputs(self): # 定义下输入,输出等,占位 with tf.name_scope('inputs'): # 输入是一个3维度矩阵,但是这里并不要过多关注每个节点输入特征的维度,中文字符额embeding或者因为字符的onehot编码。 # 模型会自动识别和调整,暂时考虑每一个batch被reshape成 num_seqs * num_steps, 每一行为一个序列输入信号 self.inputs = tf.placeholder(tf.int32, shape=( self.num_seqs, self.num_steps), name='inputs') # N vs N: 输出与输入一致 self.targets = tf.placeholder(tf.int32, shape=( self.num_seqs, self.num_steps), name='targets') # N vs N self.keep_prob = tf.placeholder(tf.float32, name='keep_prob') # 对于中文,需要使用embedding层: ??? # 英文字母没有必要用embedding层: ??? if self.use_embedding is False: # 对字字符进行onehot编号 self.lstm_inputs = tf.one_hot(self.inputs, self.num_classes) else: with tf.device("/cpu:0"): # 嵌入维度层word2vec和RNN连接器;起来同时训练 作为模型的第一层 # 先进行onehot编码然后, word2vec 所以额输入信号维度为num_classes embedding = tf.get_variable('embedding', [self.num_classes, self.embedding_size]) self.lstm_inputs = tf.nn.embedding_lookup(embedding, self.inputs) def build_lstm(self): # 创建单个cell并堆叠多层 def get_a_cell(lstm_size, keep_prob): """ 返回一个cell :param lstm_size: cell的states数量 :param keep_prob: 节点保留率 :return: """ lstm = tf.nn.rnn_cell.BasicLSTMCell(lstm_size) # state并不是采用普通rnn 而是lstm drop = tf.nn.rnn_cell.DropoutWrapper(lstm, output_keep_prob=keep_prob) # 对每个state的节点数量进行dropout return drop with tf.name_scope('lstm'): # 构建多层 cell = tf.nn.rnn_cell.MultiRNNCell( [get_a_cell(self.lstm_size, self.keep_prob) for _ in range(self.num_layers)] ) # 定义h_0 self.initial_state = cell.zero_state(self.num_seqs, tf.float32) # 通过dynamic_rnn对cell展开时间维度 self.lstm_outputs, self.final_state = tf.nn.dynamic_rnn(cell, self.lstm_inputs, initial_state=self.initial_state) # 通过lstm_outputs得到概率 # 每个batch的输出为lstm_outputs: num_seqs * num_steps * state_node_size(中文字符嵌入维度或英文的onehot编码维度) # 将输出进行拼接 dim=1 # seq out应该为 num_steps * (num_seqs * state_node_size), 即没每个输入信号对应state输出进行拼接。 # 但是在train里面查看发现, dim没有任何改变 seq_output = tf.concat(self.lstm_outputs, 1) self.seq_output = seq_output # just for output in train method # 将每个batch的每个state拼接成 一个二维的batch_size * state_node_size(lstm_size) 列矩阵 x = tf.reshape(seq_output, [-1, self.lstm_size]) # 构建一个输出层:softmax with tf.variable_scope('softmax'): # 初始化 输出的权重, 共享 softmax_w = tf.Variable(tf.truncated_normal([self.lstm_size, self.num_classes], stddev=0.1)) softmax_b = tf.Variable(tf.zeros(self.num_classes)) # 定义输出:softmax 归一化 self.logits = tf.matmul(x, softmax_w) + softmax_b self.proba_prediction = tf.nn.softmax(self.logits, name='predictions') def build_loss(self): with tf.name_scope('loss'): # 统一第输出进行non hot编码 y_one_hot = tf.one_hot(self.targets, self.num_classes) y_reshaped = tf.reshape(y_one_hot, self.logits.get_shape()) # 计算交叉信息熵 loss = tf.nn.softmax_cross_entropy_with_logits(logits=self.logits, labels=y_reshaped) # 计算平均损失 self.loss = tf.reduce_mean(loss) def build_optimizer(self): # 使用clipping gradients:避免梯度计算迭代过程变化过大导致梯度爆炸现象 tvars = tf.trainable_variables() grads, _ = tf.clip_by_global_norm(tf.gradients(self.loss, tvars), self.grad_clip) # ??? train_op = tf.train.AdamOptimizer(self.learning_rate) self.optimizer = train_op.apply_gradients(zip(grads, tvars)) def train(self, batch_generator, max_steps, save_path, save_every_n, log_every_n): self.session = tf.Session() with self.session as sess: sess.run(tf.global_variables_initializer()) # Train network step = 0 new_state = sess.run(self.initial_state) for x, y in batch_generator: step += 1 start = time.time() feed = {self.inputs: x, self.targets: y, self.keep_prob: self.train_keep_prob, self.initial_state: new_state} # 下一轮batch的初始h状态采用上一轮的final_state batch_loss, new_state, _ , lstm_outputs, seq_output, prp = sess.run([self.loss, self.final_state, self.optimizer, self.lstm_outputs, self.seq_output, self.proba_prediction ], feed_dict=feed) print('lstm outpts: ', lstm_outputs.shape, self.num_seqs) print('lstm outpts: ', seq_output.shape) # ??? 为啥一直没有改变 print(prp.shape) end = time.time() # control the print lines if step % log_every_n == 0: print('step: {}/{}... '.format(step, max_steps), 'loss: {:.4f}... '.format(batch_loss), '{:.4f} sec/batch'.format((end - start))) if (step % save_every_n == 0): self.saver.save(sess, os.path.join(save_path, 'model'), global_step=step) if step >= max_steps: break self.saver.save(sess, os.path.join(save_path, 'model'), global_step=step) def sample(self, n_samples, prime, vocab_size): samples = [c for c in prime] sess = self.session new_state = sess.run(self.initial_state) preds = np.ones((vocab_size,)) # for prime=[] for c in
本文来自互联网用户投稿,文章观点仅代表作者本人,不代表本站立场,不承担相关法律责任。如若转载,请注明出处。 如若内容造成侵权/违法违规/事实不符,请点击【内容举报】进行投诉反馈!
