测试小课堂
一、软件测试答疑篇
1.什么是软件测试
首先,我们举一个生活中的例子,我们在生活中买一件衣服的时候在付钱之前我们会检查衣服的质量,这就相当于是在测试。转而言之在软件测试上,它的测试同样是一种验证,验证软件功能是否满足软件的功能。
2.测试与调试的区别
我们从三个角度来看它们的不同点:
(1)目的:
测试:测试的目的是发现问题,验证其正确性;
调试:解决问题;
(2)参与人员:
调试:开发人员
测试:测试人员
(3)执行的阶段
调试:开发阶段
测试:贯穿于整个软件开发的声明周期
3.为什么要做软件测试
因为具备的软件测试的素质:
有逆向思维、发散性思维;
对这个很有兴趣;
从性格来讲,比较爱探索、有好奇心;
具备了一定的学习能力、沟通能力、文字能力
再者我很有责任感,测试的压力我能预想到,但是我可以承受这些压力。
4.软件测试与开发的区别
首先讲一下测试与调试的区别,接下来再讲一下: (1)难易程度上来讲:开发广度小,但是深度更深;而测试是广而多,知识面更广(2)繁忙程度不同,在一般模式下测试比研发轻松,但是在敏捷开发模式下产品发布前的压力比较大。
二、软件测试概念篇
本篇需要记住的概念:
需求、BUG、测试用例、开发模型和测试模型
1.软件测试的目的和原则
目的:验证软件有没有问题
原则:以用户为中心,遵循软件测试的规范、流程、标准和要求
2.什么是需求
需求是软件测试的标准。它是软件测试人员和开发人员工作的依据。
需求分为:
用户需求:比较粗略,只是一个想法
软件需求:比较详细,具体的实施步骤;可以指导开发人员和测试人员的工作。
满足用户期望或正式规定文档(合同、标准、规范)所具有的条件和权能,包含用户需要和软件需求。
如何把用户需求转化为软件需求:沟通
3.什么是BUG(缺陷)
什么是BUG分为两种情况来讨论,从正常情况来讲:当且仅当规格说明存在并且正确,程序与规格说明之间的不匹配才是BUG。特别的,当规格说明书没有提到的功能,判断标准以用户为准:当程序没有实现其最终用户合理预期的功能要求时,就是BUG。
4.测试用例
向被测试程序输入的一组集合,包括:测试环境、操作步骤、输入数据、预期结果…
5.软件的生命周期
需求分析——计划——设计——编码——测试——运行维护
6.开发模型和测试模型
(1)开发模型
1)瀑布模型:适用于串行,需求稳定的项目。
2)螺旋模型:适用于渐进式,强调风险、规格大、复杂度高、风险高的项目。
3)增量、迭代:降低风险
4)敏捷模型:
敏捷的4个价值观:人与人的沟通、轻文档、客户参与、拥抱变化;
特点:周期1-4周,人数5-9人,站会10-15分钟。
敏捷测试模型(应对敏捷开发模式):
调整心态、借助于自动化、项目各个细节都得知道。
(2)软件测试模型
1)v模型
考点:画v模型的图、v模型的优缺点

2)w模型(双v模型)
在v模型中有一个缺点,就是测试进入比较晚,所以引入w模型,解决v模型的缺陷。
测试人员参与的阶段:

7.配置管理
配置管理是用来衡量一个项目的好坏的。
配置管理:通过对在软件生命周期不同的时间点上的软件配置进行标识。
好处:能够对项目中的文档、代码进行有效的管理;能够方便的重现某个文档的历史版本;
三、软件测试基础篇
1.软件测试的生命周期(5个阶段)
需求分析——测试计划——测试设计、测试开发——测试执行——测试评估
将它与软件生命周期结合起来。
软件测试与软件生命周期结合:
需求阶段:测试人员了解需求、对需求进行分解得出结论。
计划阶段:根据需求编写测试计划/测试方案。
设计阶段:测试人员适当了解设计,对于设计测试用例有利,测试人员搭建测试用例框架,根据需求和设计编写部分测试用例。
编码阶段:测试人员一般不需要编码。
测试阶段:用户进行测试验收,并收集用户反馈。
运行维护:测试人员需要参与项目的实施工作。
2.如何描述一个bug
描述一个缺陷应该包含:
发现问题的版本、问题出现的环境、错误重现的步骤、预期行为的描述、错误行为的描述 、其他、不要将多个bug放在一起。
3.如何定义bug的级别
(1)Blocker(崩溃)
(2)Critical(严重)
(3)Major(一般)
(4)Minor(次要)
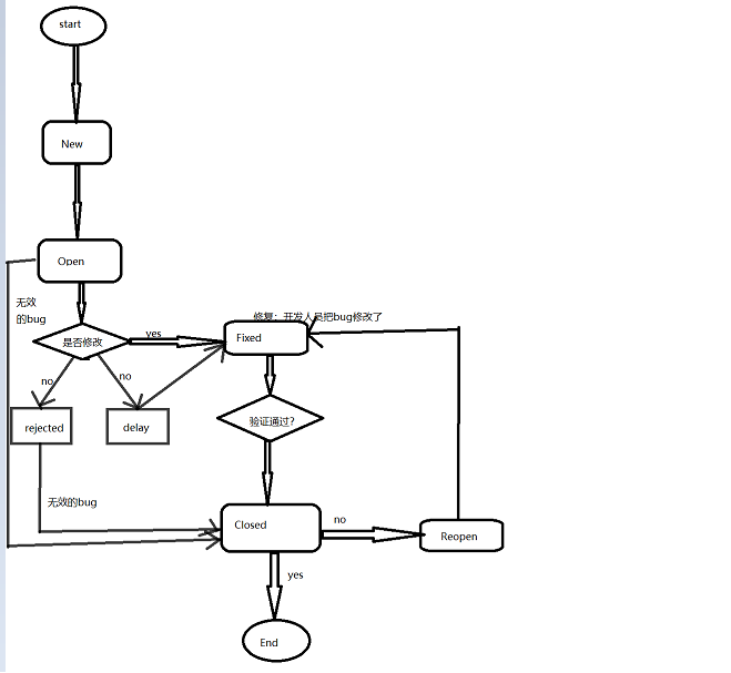
4.bug有几种状态,状态之间的扭转图(重要)
(1)总共7中状态:
New:新发现的Bug,未经评审决定是否指派给开发人员进行修改。
Open:确认是Bug,并且认为需要进行修改,指派给相应的开发人员。
Fixed:开发人员进行修改后标识成修改状态,有待测试人员的回归测试验证。
Rejected:如果认为不是Bug,则拒绝修改。
Delay:如果认为暂时不需要修改或暂时不能修改,则延后修改。
Closed:修改状态的Bug经测试人员的回归测斌验证通过,则关闭Bug。
Reopen:如果经验证Bug仍然存在,则需要重新打开Bug,开发人员重新修改。
无效的bug:open->closed open-rejected-closed
(2)状态扭转图

5.如何开始第一次测试
方法1:学习文档:需求文档、设计文档、用户操作手册
方法2:参加会议:了解学习业务、法律法规、背景、项目人员组成
方法3:获取测试管理工具、配置管理工具的访问地址和用户、密码
方法4:学习已经有测试方案和案例
方法5:学习BUG库,缺陷级别保持一致。
方法6:学习公司规范:编写测试用例、编写缺陷、执行测试、工具使用
方法7:积极与测试负责人沟通
6.测试的执行和bug管理
(1)测试执行和缺陷管理的8大步骤:
打开被测程序——打开要执行的测试用例——发现缺陷、确认记录缺陷——沟通缺陷——验证缺陷——关闭——本次迭代结束——结束之后编写测试报告
(2)如何发现更多的缺陷
1)两个二八原则:
第一个二八原则:模块(80%的缺陷来源于20%的模块)
第二个二八原则:(80%的缺陷来源于20%的开发人员编辑的代码)
2)扩展性思维和逆向思维
3)不局限于需求和测试用例
4)尽早介入
7.产生争执怎么办
自查、站在用户的角度考虑问题、我们缺陷的定级要有理有据、提升自身的技术和业务水平、组织评审
本文来自互联网用户投稿,文章观点仅代表作者本人,不代表本站立场,不承担相关法律责任。如若转载,请注明出处。 如若内容造成侵权/违法违规/事实不符,请点击【内容举报】进行投诉反馈!
