【机器学习】简单理解单层感知器
机器学习入门教程:单层感知机
参考文章:
深度学习之(神经网络)单层感知器(python)(一)
超详细!带你走进单层感知器与线性神经网络
一、单层感知机的由来
输入神经元(x) :input
传出神经元(y):output
刺激强度(w1,w2,w3)
细胞体自身信号(偏置值b)
单层感知机只有输入层、输出层,没有隐藏层;多层感知机,既有输入层,又有输出层,还有隐藏层
受到生物神经网络的启发,计算机学家Frank Rosenblatt在20世纪60年代提出了一种模拟生物神经网络的的人工神经网络结构,称为感知器(Perceptron)。
二、单层感知机的原理介绍
三、单层感知机计算举例【第一种表达形式】
1. 一个单层感知器有3个输入x1,x2,x3,w1=w2=w3=0.5,偏置b=-0.6

2. 介绍一下,符号函数sign(x),也是激活函数:
该函数的特点是当x>0时,输出值为1;当x=0时,输出值为0,;当x<0时,输出值为-1
三、单层感知机计算举例【第二种表达形式】
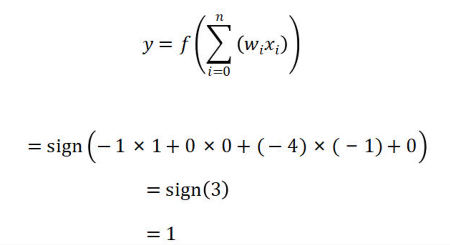
1. 一个单层感知器有3个输入x0=1,x1=0,x2=-1,w0=-5,w1=0,w2=0,学习率=1,正确的标签t=1
(注意在这个例子中偏置值b用w0×x0来表示,x0的值固定为1)
【step1】
由于y=-1与正确的标签t=1不相同,所以需要对感知器中的权值进行调节。
【step2】
由于y=-1与正确的标签t=1不相同,所以需要对感知器中的权值进行调节。
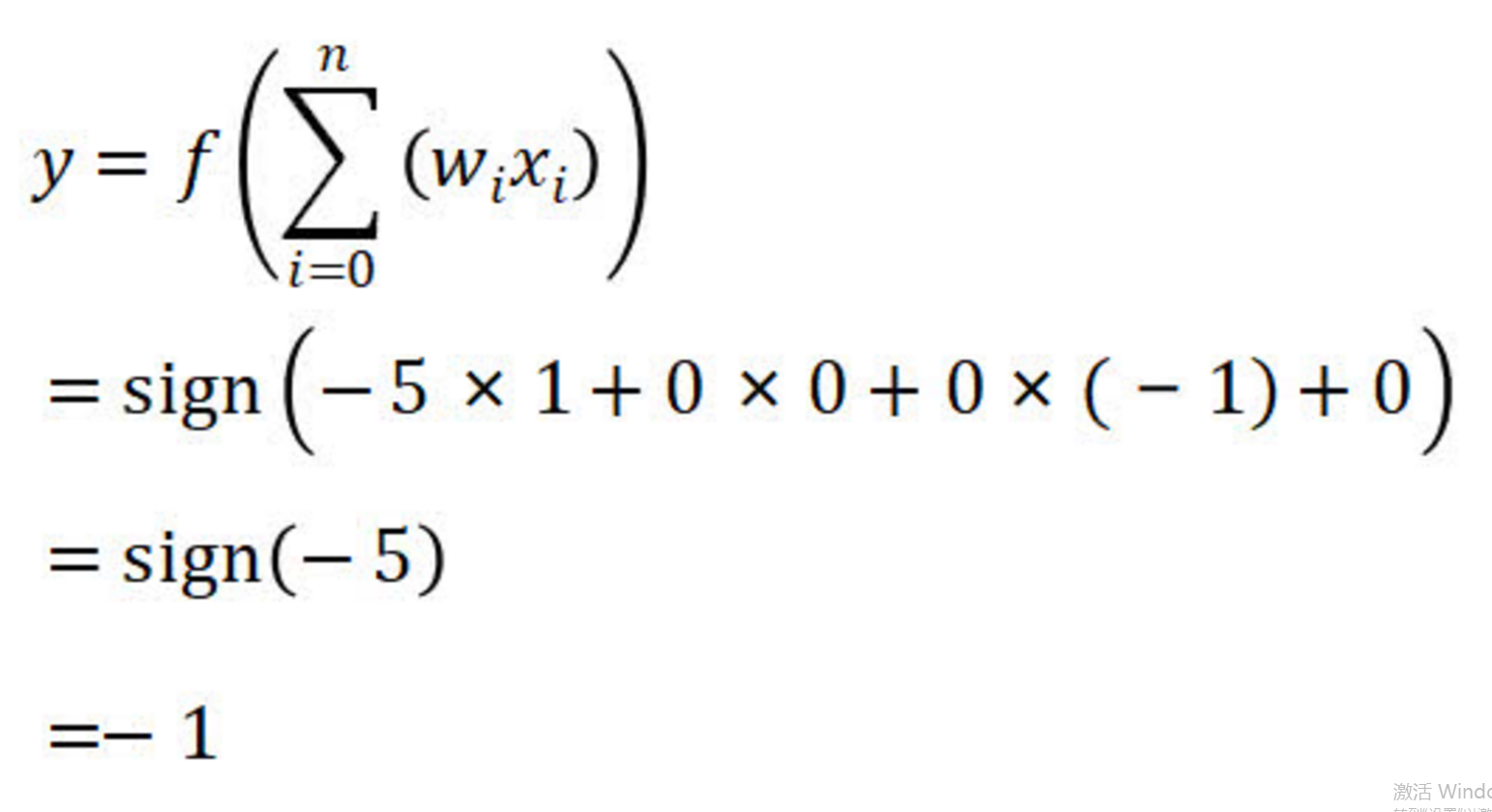
【step3】
同理,重新计算y
由于y=1与正确的标签t=1相同,说明感知器经过训练后得到了我们想要的结果,结束训练。
四、Python代码实现
# coding: utf-8# In[ ]:import numpy as np
import matplotlib.pyplot as plt# In[ ]:#输入数据
X = np.array([[1,3,3],[1,4,3],[1,1,1]])
#标签
Y = np.array([1,1,-1])
#权值初始化,1行3列,取值范围-1到1
W = (np.random.random(3)-0.5)*2
print(W)
#学习率设置
lr = 0.11
#计算迭代次数
n = 0
#神经网络输出
O = 0def update():global X,Y,W,lr,nn+=1O = np.sign(np.dot(X,W.T))W_C = lr*((Y-O.T).dot(X))/int(X.shape[0])W = W + W_C# In[ ]:for _ in range(100):update()#更新权值print(W)#打印当前权值print(n)#打印迭代次数O = np.sign(np.dot(X,W.T))#计算当前输出if(O == Y.T).all(): #如果实际输出等于期望输出,模型收敛,循环结束print('Finished')print('epoch:',n)break#正样本
x1 = [3,4]
y1 = [3,3]
#负样本
x2 = [1]
y2 = [1]#计算分界线的斜率以及截距
k = -W[1]/W[2]
d = -W[0]/W[2]
print('k=',k)
print('d=',d)xdata = np.linspace(0,5)plt.figure()
plt.plot(xdata,xdata*k+d,'r')
plt.plot(x1,y1,'bo')
plt.plot(x2,y2,'yo')
plt.show()
五、预习一下多层感知机
1. 相比于单层感知器,多层感知机增加了隐藏层(hidden layer);
隐藏层, 不包括输入层和输出层,在输入层和输出层中间的所有N层神经元就称作隐藏层!通常输入层不算作神经网络的一部分,对于有一层隐藏层的神经网络,叫做单隐层神经网络或二层感知机;对于第L个隐层,通常有以下一些特性:
a) L层的每一个神经元与 L-1 层的每一个神经元的输出相连;
b) L层的每一个神经元互相没有连接;
2. 引入了新的非线性激活函数(sigmoid/tanh/relu/swish/prelu等)
3. 反向传播算法(back propagation)
4. 优化算法(梯度下降,随机梯度下降,mini-batch)
本文来自互联网用户投稿,文章观点仅代表作者本人,不代表本站立场,不承担相关法律责任。如若转载,请注明出处。 如若内容造成侵权/违法违规/事实不符,请点击【内容举报】进行投诉反馈!
