c++实验总结_2020年高考物理,验证牛顿第二定律实验高频考点,你都弄懂了吗?...
研究匀变速直线运动、验证牛顿第二定律和验证机械能守恒定律,这三个实验在历年高考中出现的频率是最高的。在前面我们讲了研究匀变速直线运动这个实验的必考点,那么在验证牛顿第二定律这个实验中,有哪一些高频考点呢,今天我们就一起来看看。
研究牛顿第二定律的实验装置如下图所示:
本实验常考点:
1、仪器选择:天平、砝码、刻度尺
2、操作步骤:
(1)平衡摩擦时不挂砝码盘;
(2)改变小车质量后,不需要重新平衡摩擦力;
(3)先接通电源,后释放小车
3、实验条件:小车和小车上砝码总质量M远大于砝码和砝码盘总质量m,一般保证超过10倍
4、实验方法:控制变量法
5、图像考点:
6、以本实验为背景,结合牛顿第二定律,测量两接触面间的动摩擦因素μ、物体的质量等
【例题1】某同学将力传感器固定在小车上,然后把绳的一端固定在传感器拉钩上,用来测量绳对小车的拉力,探究在小车及传感器总质量不变时加速度跟它们所受拉力的关系,根据所测数据在坐标系中作出了如图所示的a-F图象.
(1)图线不过坐标原点的原因是_______________________________________;
(2)本实验中是否仍需要砂和桶的总质量远小于小车和传感器的总质量________(填“是”或“否”);
(3)由图象求出小车和传感器的总质量为________ kg.(保留1位有效数字)
【解析】(1)没有平衡摩擦力或平衡摩擦力不够
(2)否 ,因为绳的拉力可以直接由力传感器测出来
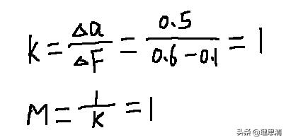
(3)a-F图像中斜率表示质量的倒数,由图知:
【例题2】如图a,为某同学设计的“探究加速度与物体所受合力F及质量m的关系”实验装a简图.
(1)本实验采用的实验方法是
A.控制变量法 B.假设法 C.理想实验法 D.等效替代法
(2)在保持小车受力相同时,探究加速度与质量关系的实验屮,以下故法正确的是
A.平衡摩擦力时,应将装有砝码的小桶用细绳通过定滑轮系在小车上
B.每次改变小车的质量时,不需要重新平衡摩擦力
C.实验时,先放开小车,再接通打点计时器电源
D.为得出加速度a与与质量m的关系而作出a-1/m图象
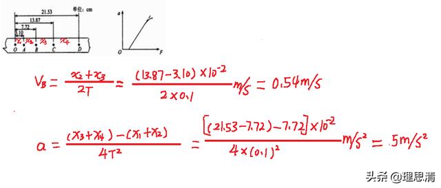
(3)图b是实验中获取的一条纸带的一部分,其中O、A、B、C、D是计数点,每相邻两计数点间还有4个点(图中未标出),计数点间的距离如图,打“B”计数点时小车的速度大小为( ).由纸带求出小车的加速度的大小为( ).(计算结果均保留2位有效数字)
(4)如图c所示是某同学在探宄加速度与力的关系时,根据测量数据作出的a〜F图线.其中图线不过原点的原因是( ),图线在末端弯曲的原因是( )
答案】(1)A (2)BD (3)0.54m/s 1.5m/s2.
(4)未平衡摩擦力或平衡摩擦力不足;
未满足小车的质量远远大于小桶和砝码的总质量
最后,我们再总结一下,探究牛顿第二定律常靠的地方有这么几个:
1、仪器常考:天平、砝码、刻度尺;
2、操作常考:先接通电源后释放小车、平衡摩擦力;
3、方法常考:控制变量法;4、图像常考:没有平衡摩擦力或平衡不足、平衡过度;
4、条件常考:M》m;
5、求瞬时速度v和加速度a(结合牛二求滑动摩擦因素u或物体的质量)
想要了解更多精彩内容,快来关注理思清!
本文来自互联网用户投稿,文章观点仅代表作者本人,不代表本站立场,不承担相关法律责任。如若转载,请注明出处。 如若内容造成侵权/违法违规/事实不符,请点击【内容举报】进行投诉反馈!
