网络基础自学2 | 计算机网络的数据通信方式与性能指标
文章目录
- 一 网络的组成
- 1. 边缘部分
- C/S 通信方式
- P2P 通信方式
- 2. 核心部分
- 电路交换
- 报文交换
- 分组交换
- 3. 特殊接入网
- 二 网络的类别
- 1. 按作用范围分类
- 2. 按传输技术分类
- 3. 按拓扑结构分类
- 4. 按使用者进行分类
- 5. 按传输介质分类
- 三 网络性能指标
- 1. 性能指标
- 速率
- 带宽
- 吞吐量
- 时延
- 时延带宽积
- 往返时间RTT
- 利用率
- 2. 非性能指标
一 网络的组成
从工作方式来看计算机网络可以分为两个部分:
- 边缘部分,进行通信和资源共享
- 核心部分,提供连通性和交换服务

1. 边缘部分
计算机网络的边缘部分由所有连接在互联网上的主机组成,这部分是用户直接使用的,其利用核心部分提供的服务,使众多主机之间可以进行通信和资源共享。
处在边缘部分的主机又称为端系统(end system),小的端系统可以是手机、个人电脑、网络摄像头等,大的端系统可以是大型电脑。
端系统之间的通信方式通常划分为以下两大类:
- C/S,客户-服务器方式
- P2P,对等连接方式
“主机A和主机B进行通信”是指“主机A的某个进程和主机B上的另一个进程进行通信”,简称“计算机之间的通信”。
C/S 通信方式
C/S方式又称客户-服务器方式,这种方式在互联网上最常用,也最传统。
客户(client)和服务器(server)都是指通信中所涉及的两个应用进程,**客户是服务请求方,服务器是服务提供方。**服务请求方和提供方都要使用网络核心部分所提供的服务。
在实际应用中,客户程程序和服务器程序还具有以下特点:
客户程序:
- 被用户调用后运行,在通信时主动向服务器发起通信
- 必须知道服务器程序的地址
- 不需要特殊的硬件和复杂的操作系统
服务器程序:
- 是一个专门用来提供某种服务的程序,可同时处理多个远端或本地客户的请求
- 启动后一直不断的运行,被动等待各地用户的通信请求
- 不需要知道客户程序的地址
- 需要强大的硬件和高级的操作系统支持
P2P 通信方式
又称对等连接方式(peer-to-peer),指两台主机在通信时不区分服务请求方和服务提供方,只要两台主机都运行了p2p软件,就可以进行对等的连接通信。
对等连接工作方式可以支持大量对等用户同时工作。
2. 核心部分
由大量网络和连接这些网络的路由器(router)组成,这部分为边缘部分提供服务,提供连通性和交换。
路由器是一种专用计算机(不叫主机),是实现分组交换的关键构件,其任务是转发收到的分组,这是网络核心部分最重要的功能。
核心部分进行数据交换有三种交换方式:
- 电路交换,整个报文的比特流连续的从源点直达终点
- 报文交换,整个报文先到相邻结点,全部存储下来后查找转发表,转发到下一个节点
- 分组交换,单个分组传送到相邻结点,存储下来后查找转发表,转发到下一个结点

电路交换
从通信资源的分配角度来看,交换就是按照某种方式动态的分配传输线路的资源。
电路交换的过程:
- 建立连接,拨号请求建立连接,得到响应后占用通信资源
- 通话,始终占用通信资源
- 释放连接,释放所占用通信资源
必须经过这三个步骤的交换方式就称为电路交换。

电路交换的组成:
- 电话,用于进行拨号与响应
- 用户线,指电话用户到所连接的市话交换机的连接线路,由用户独占
- 交换机,用于进行数据交换
- 中继线,交换机之间拥有大量中继线,由许多用户共享,正在通话的用户只占用了中继线里一个话路。
电路交换的优点:
- 通信时延小,数据直达
- 有序传输,不存在失序问题
- 没有冲突,不存在征用物理信道的问题
- 使用范围广,既适用于传输模拟信号,又适用于传输数字信号
- 实用性强,物理通路一但建立便可随时通信
- 控制简单
电路交换的缺点:
- 建立连接时间长
- 线路独占,通信的过程中需要始终占据这条线路
- 稳定性差,通信双方通信过程中出了任何一点故障都要重新拨号建立连接
- 难以规格化,电路交换时数据直达,对不同类型、速率、规格的终端很难互相通信
- 灵活性差,传输计算机突发式数据时效率低要长时间等待数据发送,造成资源浪费
报文交换
20世纪40年代,电报通信采用了基于存储转发原理的报文交换(message switching)。
数据传输单位是报文,报文携带目标地址、源地址等信息。
在报文交换中心,一份电报被接受下来,穿成纸带。操作员以每份报文为单位,撕下纸带,根据报文的目的站地址,拿相应的发报机发出去。
报文交换的优点:
- 无需建立连接
- 动态分配线路
- 高可靠性,某条传输路径出故障时,可以重修选择另一条路径传输数据
- 高利用率,通信双方不是固定占用一条通信线路,而是在不同时间一段段地部分占有这条物理通道
- 提供多目标服务,一个报文可以发送给多个目的地址
报文交换的缺点:
- 时延较长,需要存储转发,可能会引起转发时延
- 需要网络节点有较大缓存空间,报文交换对报文大小没限制
这种报文交换方式时延较长,从几分钟到几小时不等,现在报文交换已经不使用了。
分组交换
分组交换采用存储转发技术
报文(message):指要发送的整块数据,会在发送前进行切割
分组(packet):报文等长划分,在每段数据前加上包含控制信息的首部(header)构成分组
。分组又称“包”,首部称为“包头”

由于分组的首部包含目的地址和源地址等重要信息,每一个分组可以独立的选择传输路径,并正确的交付到分组传输的终点。
路由器转发分组过程:
- 收到分组,进行暂存
- 检查分组首部信息,查找转发表
- 按首部中的目的地址发出
各路由器之间必须经常交换掌握的路由信息,以便创建和动态维护路由器中的转发表,使得转发表能够在整个网络拓扑发生变化时及时更新。
分组交换的优点:
- 高效,在分组传输过程中动态分配传输带宽,对通信链路逐段占用
- 灵活,为每一个分组选择最合适的转发路由
- 迅速,不必建立连接便可以向其他主机发送分组
- 可靠,当网络的某个节点或链路出现故障时,在各路由器中运行的路由选择协议能够自动找到转发分组最合适的路径
分组交换的缺点:
- 时延,在各路由器存储转发时需要排队
- 不确定性,无法确保通信时能分配到端到端所需的资源
- 额外开销,必须携带控制信息
3. 特殊接入网
接入网AN(Access Network),又称本地接入网或居民接入网,用来把用户接入到互联网,指骨干网络到用户终端之间的所有设备。
接入网本身不属于互联网核心部分,也不属于边缘部分。
二 网络的类别
1. 按作用范围分类
-
广域网WAN(Wide Area Network)
- 作用范围几十到几千公里,有时也称为远程网(long haul network)
- 是互联网的核心部分,用于长距离运送主机发送的数据
- 连接广域网各结点交换机的链路一般为高速链路,具有较大通信容量
- 使用交换技术
-
城域网MAN(Metropolitan Area Network)
- 作用范围一般为一个城市,作用距离约为5~50km
- 可为一个或几个单位所拥有,也可以是一种共用设施,用来将多个局域网进行互联
- 目前很多城域网采用的是以太网技术。
-
局域网LAN(Local Area Network)
- 作用范围1km左右
- 速率通常在10Mbit/s上
- 工作在数据链路层,一般用微型计算机或工作站通过高速通信链路相连
- 使用广播技术
-
个人区域网PAN(Personal Area Network)
- 作用范围很小,大概在10m左右
- 在个人工作地方把个人电子设备用无线技术连接起来的网络,因此也称无线个人区域网WPAN(Wireless PAN)
2. 按传输技术分类
-
广播式网络
所有联网计算机都共享一个公共通信信道,通常是局域网的一种通信方式
当一个计算机利用共享信道发送报文分组时,其他计算机都会“收听”到这个分组,接收改分分组的计算机通过匹配分组首部的目的地址确认是否接收。
-
点对点网络
每条物理线路连接一对计算机。
如果通信的两台主机之间没有直接连接的线路,那么他们之间的分组传输就要通过中间结点不断的存储转发直到目的结点。
是否采用分组存储转发与路由选择机制是两类网络的重要区别,广域网基本都属于点对点网络
3. 按拓扑结构分类
- 总线形网络
- 用单根传输线将计算机连接起来
- 优点:建网容易、增减结点方便、节省线路
- 缺点:重负载时通信效率不高,总线对故障敏感
- 星形网络
- 每个结点都以单独的线路与中央设备相连
- 优点:便于集中控制和管理
- 缺点:成本高,中心结点对故障敏感
- 环形网络
- 所有终端设备连成一个环状,可以单环,也可以是双环,环中信号单向传输
- 最典型的例子:令牌环局域网
- 优点:结构简单,传输延迟稳定
- 缺点:可靠性第,任意节点出现故障都会影响网络
- 树形结构(层次结构)
- 结点按树状层次连接,信息交换在上下终端结点间进行
- 优点:连接简单,适用于汇集信息
- 缺点:资源共享能力低,可靠性不高
- 网状形网络(无规则结构)
- 一般情况下,每个结点至少有两条路径和其他结点相连
- 多用于广域网,有规则型和不规则型两种
- 优点:可靠性高
- 缺点:控制复杂、线路成本高
以上5种基本网络拓扑结构可以互连为更复杂的网络
4. 按使用者进行分类
-
公用网(public network)
指电信公司出资建造的大型网络,愿意按电信公司规定缴纳费用的人都可以使用,也称公众网。
-
专用网(private network)
指某个部门为满足本单位特殊业务工作的需要而建造的网络,不像外人提供服务。
5. 按传输介质分类
- 有线网络,双绞线网络、同轴电缆网络等
- 无线网络,蓝牙、微波、无线电
三 网络性能指标
1. 性能指标
速率
网络技术中速率指的是数据传送速率,也称为数据率(data rate)或比特率(bit rate)。
速率是计算机网络中最重要的一个性能指标,单位是bit/s。当数据率较高时,就在bit/s的前面加上一个字母:
- K = 103 = 千
- M = 106 = 兆
- G = 109 = 吉
- T = 1012 = 太
- P = 1015 = 拍
- E = 1018 = 艾
- Z = 1021 = 泽
当提到网络速率时,往往指的是额定速率或标定速率。
带宽
带宽(bandwidth)有两种不同的意义:
-
频域称谓:指某个信号具有的频带宽度
信号的带宽是指该信号所包含的各种不同频率成分所占据的频率范围,单位是赫。
在过去的很长一段时间,通信的主干线传送的是模拟信号,因此表示某信道允许通过的信号频带范围就称为该信道的带宽
-
时域称谓:表示网络中某通道传送数据的能力
网络带宽表示在单位时间内网络中的某信道能通过的最高数据率,带宽的单位是数据率的单位bit/s.
一条通信链路的带宽越宽,能传输的最高数据率越高。
吞吐量
吞吐量(throughput)表示在单位时间内通过某个网络(或信道、接口)的实际数据量。
吞吐量更经常地用于对现实世界中的网络的一种测量,受网络带宽和网络的额定速率的限制。
吞吐量有时还可以用传送的字节数或帧数来表示。
时延
时延(delay / latency)指数据从网络(或链路)的一端传送到另一端所用的时间。
时延是个重要的性能指标,有时也称为延迟或迟延。
网络中的时延由以下部分组成:
-
发送时延(transmission delay),发送完整数据帧所需要的时间。

-
传播时延(propagation delay),电磁波在信道中传播一定的距离需要花费的时间
电磁波在自由空间的传播速率是光速,即 3.0 × 1 0 5 k m / s 3.0 \times 10^5 km/s 3.0×105km/s。
电磁波在网络传输媒体的速率略低,在铜线电缆的传输速率为 2.3 × 1 0 5 k m / s 2.3 \times 10^5 km/s 2.3×105km/s,在光纤中的传播速率为 2.0 × 1 0 5 k m / s 2.0 \times 10^5 km/s 2.0×105km/s。

-
处理时延,主机或路由器在收到分组时对分组进行处理所花费的时间(如分析首部、查找路由等)。
-
排队时延,分组进入路由器后在输入队列排队等待处理的时间。
排队时延往往取决于网络当时的通信量,当网络通信量很大时会发生队列溢出,或分组丢失,这相当于排队时延无穷大。
总时延计算公式:

在某种情况下,低速率、小时延的网络可能要优于高速率、大时延的网络。
对于高速网络链路,我们提高的仅仅是数据的发送速率而不是比特在链路上的传播速率
“光纤信道的传输速率高”是指可以用很高的速率向光纤信道发送数据,而光纤信道的传播速率实际比铜线还低。
时延带宽积
传播时延带宽积,表示的是链路可容纳的比特数。
链路的时延带宽积又称为以比特为单位的链路长度,表示从发送端发出但尚未到达接收端的比特。

可以理解为链路通道的体积:

往返时间RTT
RTT(Round-Trip Time),指双向交互一次所需要的时间。
在互联网中,往返时间还包括中间处理时延、排队时延以及转发数据时的发送时延。
-
发送时间 = 数据长度 / 发送速率
-
有效数据率 = 数据长度 / (发送时间+RTT)
利用率
分为以下两种:
- 信道利用率,信道有数据通过的时间的百分比
- 网络利用率,网络利用率则是全网络信道利用率的加权平均值
根据排队论的理论,信道利用率并非越高越好,当某信道利用率增大时,该信道引起的时延也迅速增加。
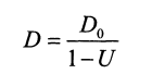
令D0表示网络空闲时的时延,D表示网络当前的时延,U表示利用率,则有:

当网络利用率达到其容量的1/2时,时延就会加倍,因此一些拥有较大主干网的ISP通常控制信道利用率不超过50%,如果超过了就准备扩容,增大线路的带宽。

2. 非性能指标
-
费用。网络速率越高,价格越高
-
质量。网络的质量取决于网络中所有构件的质量,以及这些构件组成网络的方式。高质量的网络往往价格也较高。
-
标准化。网络的硬件和软件设计师按照国际标准还是遵循特定的专用网络标准。
-
可靠性。
-
可扩展性和可升级性
-
易于管理和维护
参考文章:
- 《计算机网络 第7版》谢希仁
本文来自互联网用户投稿,文章观点仅代表作者本人,不代表本站立场,不承担相关法律责任。如若转载,请注明出处。 如若内容造成侵权/违法违规/事实不符,请点击【内容举报】进行投诉反馈!
