三维重建评估指标CD、EMD、F-score
1、Chamfer Distance倒角距离,CD
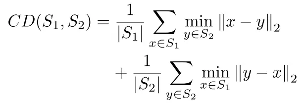
CD是计算生成点云和groundtruth点云之间,平均的最短点距离。
上面这个图是对称版本的CD,前一部分保证生成点云与groundtruth点云之间的距离最小,后一部分保证,groundtruth点云在生成点云中的覆盖率。
CD中生成点云和groundtruth点云之间的点云数量不必完全一致。
用于网格建模的情况下也可用
2、EMD般土距离Earth Mover‘s Distance
EMD算法是用来比较两幅图像相似性的方法。EMD的思想是求得从一幅图像转化为另一幅图像的代价,用直方图来表示就是求得一个直方图转化为另一个直方图的代价,代价越小,越相似。比如一幅图像可以用直方图来表示,横坐标表示像素值,纵坐标表示该像素值下像素的个数,当EMD值越小,两幅图的相似度越大。在三维重建中,用来比较预测点云和groundtruth点云的相似度。
3、F-score是一种综合评价指标 ,它与精确度和recall召回率有关
精确率和召回率是广泛用于信息检索和统计学分类领域的两个度量值,用来评价结果的质量。其中精度是检索出相关文档数与检索出的文档总数的比率,衡量的是检索系统的查准率;召回率是指检索出的相关文档数和文档库中所有的相关文档数的比率,衡量的是检索系统的查全率。
1 . 精确率
精确率(Precision) 是针对预测结果而言的,其含义是在被所有预测为正的样本中实际为正样本的概率,精确率和准确率看上去有些类似,但是是两个完全不同的概念。精确率代表对正样本结果中的预测准确程度,准确率则代表整体的预测准确程度,包括正样本和负样本。
精确率 = 提取出的正确信息条数 / 提取出的信息条数
2. 召回率
召回率(Recall) 是针对原样本而言的,其含义是在实际为正的样本中被预测为正样本的概率。
准确率和召回率互相影响,理想状态下肯定追求两个都高,但是实际情况是两者相互“制约”:追求准确率高,则召回率就低;追求召回率高,则通常会影响准确率。我们当然希望预测的结果precision越高越好, recall越高越好, 但事实上这两者在某些情况(极端情况下如果只提取一个信息且为正确信息,则计算到精确率为1,召回率为很小)下是矛盾的。这样就需要综合考虑它们,最常见的方法就是F-score。 也可以绘制出P-R曲线图,观察它们的分布情况。
召回率 = 提取出的正确信息条数 / 样本中的信息条数
3. F-score
一般来说准确率和召回率呈负相关,一个高,一个就低,如果两个都低,一定是有问题的。 一般来说,精确度和召回率之间是矛盾的,这里引入F1-Score作为综合指标,就是为了平衡准确率和召回率的影响,较为全面地评价一个分类器。F1是精确率和召回率的调和平均。
F值 = 正确率 *召回率 * 2 / (正确率 + 召回率) (F 值即为正确率和召回率的调和平均值)
总结几篇博客,还不够清晰,有待更新
本文来自互联网用户投稿,文章观点仅代表作者本人,不代表本站立场,不承担相关法律责任。如若转载,请注明出处。 如若内容造成侵权/违法违规/事实不符,请点击【内容举报】进行投诉反馈!
