数二-一元函数微分学
一元函数微分学
- 基础
- 一次三角函数分式配系数方法
- 华理士公式
- 常见有原函数,但无初等函数形式的原函数
- 定积分
- 定积分精确定义
- *定积分精确定义与夹逼定理综合应用
- 定积分存在定理
- 原函数(不定积分)存在定理
- 定积分计算(牛顿-莱布尼兹公式)
- 分部积分法
- Γ \Gamma Γ函数
- 变限积分
- 变限积分求导公式
- 平面图形面积
- 参数方程面积计算
- 函数面积与旋转体体积
- 应用
- 曲率与曲率半径
- 变力沿直线做功
- *抽水做功
- 水压力
- 形心坐标
- 弧长
- 旋转曲面的表面积
- 平行截面面积已知的立体体积
- 例
基础
∫ x k d x = 1 ( k + 1 ) x ( k + 1 ) + C ∫ 1 x d x = ln ∣ x ∣ + C ∫ e x d x = e x + C , ∫ a x d x = 1 ln a a x + C ∫ ln x = x ln x + C ∫ sin x d x = − cos x + C , ∫ cos x = sin x + C ∫ tan x d x = − ln ∣ cos x ∣ + C , ∫ cot x = ln ∣ sin x ∣ + C ∫ sec x d x = ln ∣ sec x + tan x ∣ + C ∫ csc x d x = ln ∣ csc x − cot x ∣ + C ∫ sec 2 x d x = tan x + C , ∫ csc 2 x d x = − cot x + C ∫ sec x tan x d x = sec x + C , ∫ csc x cot x d x = − csc x + C ∫ 1 1 + x 2 d x = arctan x + C , ∫ 1 a 2 + x 2 d x = 1 a arctan x a + C ∫ 1 1 − x 2 d x = arcsin x + C , ∫ 1 a 2 − x 2 d x = arcsin x a + C ∫ 1 x 2 + a 2 d x = ln ( x + x 2 + a 2 ) + C , ∫ 1 x 2 − a 2 d x = ln ∣ x + x 2 − a 2 ∣ + C ∫ 1 x 2 − a 2 d x = 1 2 a ln ∣ x − a x + a ∣ + C , ∫ 1 a 2 − x 2 d x = 1 2 a ln ∣ x + a x − a ∣ + C ∫ a 2 − x 2 d x = a 2 2 arcsin x a + x 2 a 2 − x 2 + C ∫ sin 2 x d x = 1 2 x − sin 2 x 4 + C ( sin 2 x = 1 − cos 2 x 2 ) ∫ cos 2 x d x = 1 2 x + sin 2 x 4 + C ( cos 2 x = 1 + cos 2 x 2 ) ∫ tan 2 x d x = tan x − x + C ( tan 2 x = sec 2 − 1 ) ∫ cot 2 x d x = − cot x − x + C ( cot 2 x = csc 2 x − 1 ) \displaystyle\int x^kdx=\cfrac{1}{(k+1)}x^{(k+1)}+C\\ \displaystyle\int \cfrac{1}{x}dx=\ln|x|+C\\ \displaystyle\int e^xdx=e^x+C,\displaystyle\int a^xdx=\cfrac{1}{\ln a}a^x+C\\ \displaystyle\int \ln x=x\ln x +C\\ \displaystyle\int \sin xdx=-\cos x+C,\displaystyle\int \cos x=\sin x+C\\ \displaystyle\int \tan xdx=-\ln |\cos x|+C,\displaystyle\int \cot x=\ln |\sin x|+C\\ \displaystyle\int \sec xdx=\ln|\sec x+\tan x|+C\\ \displaystyle\int \csc xdx=\ln|\csc x-\cot x|+C\\ \displaystyle\int \sec^2xdx=\tan x+C,\displaystyle\int \csc^2 xdx=-\cot x+C\\ \displaystyle\int \sec x\tan xdx=\sec x+C,\displaystyle\int \csc x\cot xdx=-\csc x+C\\ \displaystyle\int \cfrac{1}{1+x^2}dx=\arctan x+C,\displaystyle\int\cfrac{1}{a^2+x^2}dx=\cfrac{1}{a}\arctan\cfrac{x}{a}+C\\ \displaystyle\int \cfrac{1}{\sqrt{1-x^2}}dx=\arcsin x+C,\displaystyle\int \cfrac{1}{\sqrt{a^2-x^2}}dx=\arcsin\cfrac{x}{a}+C\\ \displaystyle\int \cfrac{1}{\sqrt{x^2+a^2}}dx=\ln(x+\sqrt{x^2+a^2})+C,\\ \displaystyle\int \cfrac{1}{\sqrt{x^2-a^2}}dx=\ln|x+\sqrt{x^2-a^2}|+C\\ \displaystyle\int \cfrac{1}{x^2-a^2}dx=\cfrac{1}{2a}\ln\bigg|\cfrac{x-a}{x+a}\bigg|+C,\displaystyle\int \cfrac{1}{a^2-x^2}dx=\cfrac{1}{2a}\ln\bigg|\cfrac{x+a}{x-a}\bigg|+C\\ \displaystyle\int \sqrt{a^2-x^2}dx=\cfrac{a^2}{2}\arcsin \cfrac{x}{a}+\cfrac{x}{2}\sqrt{a^2-x^2}+C\\ \displaystyle\int \sin^2xdx=\cfrac{1}{2}x-\cfrac{\sin 2x}{4}+C\big(\sin^2x=\cfrac{1-\cos2x}{2}\big)\\ \displaystyle\int \cos^2xdx=\cfrac{1}{2}x+\cfrac{\sin 2x}{4}+C\big(\cos^2x=\cfrac{1+\cos2x}{2}\big)\\ \displaystyle\int \tan^2xdx=\tan x-x+C(\tan^2x=\sec^2-1)\\ \displaystyle\int \cot^2xdx=-\cot x-x+C(\cot^2x=\csc^2x-1) ∫xkdx=(k+1)1x(k+1)+C∫x1dx=ln∣x∣+C∫exdx=ex+C,∫axdx=lna1ax+C∫lnx=xlnx+C∫sinxdx=−cosx+C,∫cosx=sinx+C∫tanxdx=−ln∣cosx∣+C,∫cotx=ln∣sinx∣+C∫secxdx=ln∣secx+tanx∣+C∫cscxdx=ln∣cscx−cotx∣+C∫sec2xdx=tanx+C,∫csc2xdx=−cotx+C∫secxtanxdx=secx+C,∫cscxcotxdx=−cscx+C∫1+x21dx=arctanx+C,∫a2+x21dx=a1arctanax+C∫1−x21dx=arcsinx+C,∫a2−x21dx=arcsinax+C∫x2+a21dx=ln(x+x2+a2)+C,∫x2−a21dx=ln∣x+x2−a2∣+C∫x2−a21dx=2a1ln∣∣∣∣x+ax−a∣∣∣∣+C,∫a2−x21dx=2a1ln∣∣∣∣x−ax+a∣∣∣∣+C∫a2−x2dx=2a2arcsinax+2xa2−x2+C∫sin2xdx=21x−4sin2x+C(sin2x=21−cos2x)∫cos2xdx=21x+4sin2x+C(cos2x=21+cos2x)∫tan2xdx=tanx−x+C(tan2x=sec2−1)∫cot2xdx=−cotx−x+C(cot2x=csc2x−1)
一次三角函数分式配系数方法
求 ∫ sin x − cos x sin x + 2 cos x d x 求\displaystyle\int\cfrac{\sin x-\cos x}{\sin x+2\cos x}dx 求∫sinx+2cosxsinx−cosxdx
令 sin x − cos x = a ( sin x + 2 cos x ) + b ( sin x + 2 cos x ) ′ 解 得 : a = − 1 5 , b = − 3 5 ∴ ∫ sin x − cos x sin x + 2 cos x d x = − 1 5 ∫ d x − 3 5 ∫ d ( sin x + 2 cos x ) sin x + 2 cos x = − 1 5 − 3 5 ln ∣ sin x + 2 cos x ∣ + C 令\sin x-\cos x=a(\sin x+2\cos x)+b(\sin x+2\cos x)'\\ 解得:a=-\cfrac{1}{5},b=-\cfrac{3}{5}\\ \\ \therefore\begin{aligned} \displaystyle\int\cfrac{\sin x-\cos x}{\sin x+2\cos x}dx=&-\cfrac{1}{5}\displaystyle\int dx-\cfrac{3}{5}\displaystyle\int\cfrac{d(\sin x+2\cos x)}{\sin x+2\cos x} \\ =&-\cfrac{1}{5}-\cfrac{3}{5}\ln|\sin x+2\cos x|+C \end{aligned} 令sinx−cosx=a(sinx+2cosx)+b(sinx+2cosx)′解得:a=−51,b=−53∴∫sinx+2cosxsinx−cosxdx==−51∫dx−53∫sinx+2cosxd(sinx+2cosx)−51−53ln∣sinx+2cosx∣+C
华理士公式
∫ 0 π 2 sin n x = ∫ 0 π 2 cos n x = { n − 1 n ∗ n − 3 n − 2 ∗ ⋯ ∗ 1 2 ∗ π 2 n 为 偶 数 n − 1 n ∗ n − 3 n − 2 ∗ ⋯ ∗ 2 3 n 为 奇 数 \displaystyle\int_0^{\cfrac{\pi}{2}}\sin^n x=\displaystyle\int_0^{\cfrac{\pi}{2}}\cos^n x=\begin{cases} \cfrac{n-1}{n}*\cfrac{n-3}{n-2}*\dots*\cfrac{1}{2}*\cfrac{\pi}{2}&n为偶数 \\ \cfrac{n-1}{n}*\cfrac{n-3}{n-2}*\dots*\cfrac{2}{3}&n为奇数 \end{cases} ∫02πsinnx=∫02πcosnx=⎩⎪⎪⎨⎪⎪⎧nn−1∗n−2n−3∗⋯∗21∗2πnn−1∗n−2n−3∗⋯∗32n为偶数n为奇数
常见有原函数,但无初等函数形式的原函数
主要用于二重积分,积分次序的选择。
{ ∫ sin x x d x ∫ cos x x d x ∫ tan x x d x ∫ e x x d x ∫ sin 1 x d x ∫ cos 1 x d x ∫ e a x 2 + b x + c d x ∫ d x ln x \begin{cases} \displaystyle\int \cfrac{\sin x}{x}dx \displaystyle\int \cfrac{\cos x}{x}dx \displaystyle\int\cfrac{\tan x}{x}dx\\ \\ \displaystyle\int \cfrac{e^x}{x}dx \displaystyle\int \sin\cfrac{1}{x}dx \displaystyle\int \cos\cfrac{1}{x}dx \\ \\ \displaystyle\int e^{ax^2+bx+c}dx \displaystyle\int \cfrac{dx}{\ln x} \end{cases} ⎩⎪⎪⎪⎪⎪⎪⎪⎪⎪⎪⎪⎨⎪⎪⎪⎪⎪⎪⎪⎪⎪⎪⎪⎧∫xsinxdx∫xcosxdx∫xtanxdx∫xexdx∫sinx1dx∫cosx1dx∫eax2+bx+cdx∫lnxdx
定积分
定积分精确定义
∫ a b f ( x ) d x = lim n → ∞ ∑ i = 1 n f ( a + b − a n i ) b − a n \displaystyle\int_a^bf(x)dx=\lim\limits_{n\to\infty}\sum_{i=1}^{n}f(a+\cfrac{b-a}{n}i)\cfrac{b-a}{n} ∫abf(x)dx=n→∞limi=1∑nf(a+nb−ai)nb−a
当a=0,b=1时
∫ 0 1 f ( x ) d x = lim n → ∞ ∑ i = 1 n f ( i n ) 1 n \displaystyle\int_0^1f(x)dx=\lim\limits_{n\to\infty}\sum_{i=1}^{n}f(\cfrac{i}{n})\cfrac{1}{n} ∫01f(x)dx=n→∞limi=1∑nf(ni)n1
*定积分精确定义与夹逼定理综合应用
求 极 限 lim n → ∞ ∑ i = 1 n sin i π n n + 1 i 求极限\lim\limits_{n\to\infty}\sum_{i=1}^{n}\cfrac{\sin\cfrac{i\pi}{n}}{n+\cfrac{1}{i}} 求极限n→∞lim∑i=1nn+i1sinniπ
f ( x ) = sin i π n n ∗ n n + 1 = sin i π n n + 1 ≤ sin i π n n + 1 i ≤ sin i π n n = g ( x ) f(x)=\cfrac{\sin\cfrac{i\pi}{n}}{n}*\cfrac{n}{n+1}=\cfrac{\sin\cfrac{i\pi}{n}}{n+1}\le\cfrac{\sin\cfrac{i\pi}{n}}{n+\cfrac{1}{i}}\le\cfrac{\sin\cfrac{i\pi}{n}}{n}=g(x) f(x)=nsinniπ∗n+1n=n+1sinniπ≤n+i1sinniπ≤nsinniπ=g(x)
∫ 0 1 f ( x ) d x = ∫ 0 1 sin π x d x = 2 π \displaystyle\int_0^1f(x)dx=\displaystyle\int_0^1\sin\pi x dx=\cfrac{2}{\pi} ∫01f(x)dx=∫01sinπxdx=π2
同理: ∫ 0 1 g ( x ) d x = 2 π \displaystyle\int_0^1g(x)dx=\cfrac{2}{\pi} ∫01g(x)dx=π2
有夹逼定理得:
lim n → ∞ ∑ i = 1 n sin i π n n + 1 i = 2 π \lim\limits_{n\to\infty}\sum_{i=1}^{n}\cfrac{\sin\cfrac{i\pi}{n}}{n+\cfrac{1}{i}}=\cfrac{2}{\pi} n→∞lim∑i=1nn+i1sinniπ=π2
定积分存在定理
- 若 f ( x ) 在 [ a , b ] 上 连 续 , 则 ∫ a b f ( x ) d x 存 在 . 若f(x)在[a,b]上连续,则\displaystyle\int_a^bf(x)dx存在. 若f(x)在[a,b]上连续,则∫abf(x)dx存在.
- 若 f ( x ) 在 [ a , b ] 上 单 调 , 则 ∫ a b f ( x ) d x 存 在 . 若f(x)在[a,b]上单调,则\displaystyle\int_a^bf(x)dx存在. 若f(x)在[a,b]上单调,则∫abf(x)dx存在.
- 若 f ( x ) 在 [ a , b ] 上 有 界 , 且 只 有 有 限 个 间 断 点 , 则 ∫ a b f ( x ) d x 存 在 . 若f(x)在[a,b]上有界,且只有有限个间断点,则\displaystyle\int_a^bf(x)dx存在. 若f(x)在[a,b]上有界,且只有有限个间断点,则∫abf(x)dx存在.
原函数(不定积分)存在定理
- 连 续 函 数 f ( x ) 必 有 原 函 数 . 连续函数f(x)必有原函数. 连续函数f(x)必有原函数.
- 含 有 第 一 类 间 断 点 、 无 穷 间 断 点 的 函 数 f ( x ) 在 包 含 间 断 点 的 区 间 必 没 有 原 函 数 F ( x ) . 含有第一类间断点、无穷间断点的函数f(x)在包含间断点的区间必没有原函数F(x). 含有第一类间断点、无穷间断点的函数f(x)在包含间断点的区间必没有原函数F(x).
定积分计算(牛顿-莱布尼兹公式)
∫ a b f ( x ) d x = F ′ ( x ) = f ( x ) F ( b ) − F ( a ) \displaystyle\int_a^bf(x)dx\xlongequal{F'(x)=f(x)}F(b)-F(a) ∫abf(x)dxF′(x)=f(x)F(b)−F(a)
分部积分法
∫ a b u ( x ) v ′ ( x ) d x = u ( x ) v ( x ) ∣ a b − ∫ a b v ( x ) u ′ ( x ) d x \displaystyle\int_a^bu(x)v'(x)dx=u(x)v(x)\bigg|_a^b-\displaystyle\int_a^bv(x)u'(x)dx ∫abu(x)v′(x)dx=u(x)v(x)∣∣∣∣ab−∫abv(x)u′(x)dx
建议看张宇图标法,在多次分部积分上,相对更直观,这里不再过多赘述。
相关视频笔者已经上传公众号“翼点通”,回复张宇即可。
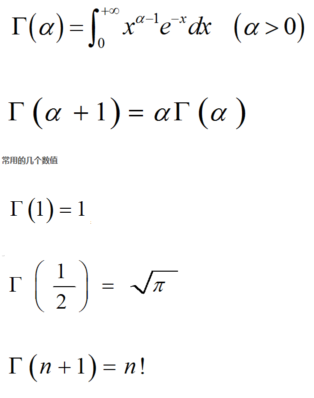
Γ \Gamma Γ函数
变限积分
变限积分求导公式
[ ∫ g ( x ) h ( x ) f ( t ) d t ] ′ = f [ h ( x ) ] h ′ ( x ) − f [ g ( x ) ] g ′ ( x ) \bigg[\displaystyle\int_{g(x)}^{h(x)}f(t)dt\bigg]'=f[h(x)]h'(x)-f[g(x)]g'(x) [∫g(x)h(x)f(t)dt]′=f[h(x)]h′(x)−f[g(x)]g′(x)
平面图形面积
-
曲 线 y = y 1 ( x ) 和 y = y 2 ( x ) 在 x = a , 到 x = b 所 围 成 的 面 积 曲线y=y_1(x)和y=y_2(x)在x=a,到x=b所围成的面积 曲线y=y1(x)和y=y2(x)在x=a,到x=b所围成的面积
S = ∫ a b ∣ y 1 ( x ) − y 2 ( x ) ∣ d x S=\displaystyle\int_a^b|y_1(x)-y_2(x)|dx S=∫ab∣y1(x)−y2(x)∣dx -
曲 线 r = r 1 ( ϑ ) 和 r = r 2 ( ϑ ) 在 射 线 ϑ = α , ϑ = β 所 围 成 的 扇 形 面 积 曲线r=r_1(\vartheta)和r=r_2(\vartheta)在射线\vartheta=\alpha,\vartheta=\beta所围成的扇形面积 曲线r=r1(ϑ)和r=r2(ϑ)在射线ϑ=α,ϑ=β所围成的扇形面积
S = 1 2 ∫ α β ∣ r 1 2 ( ϑ ) − r 2 2 ( ϑ ) ∣ d ϑ S=\cfrac{1}{2}\displaystyle\int_\alpha^\beta|r^2_1(\vartheta)-r^2_2(\vartheta)|d\vartheta S=21∫αβ∣r12(ϑ)−r22(ϑ)∣dϑ
参数方程面积计算
{ x = x ( t ) y = y ( t ) f ( x ) = y ( t ) x ( t ) \begin{cases} x=x(t)\\ y=y(t) \end{cases}f(x)=\cfrac{y(t)}{x(t)} {x=x(t)y=y(t)f(x)=x(t)y(t)
S = ∫ α β f ( x ) d x = ∫ t ( α ) t ( β ) y ( t ) x ′ ( t ) d t \begin{aligned} S&=\displaystyle\int_\alpha^\beta f(x)dx \\ &=\displaystyle\int_{t(\alpha)}^{t(\beta)}y(t)x'(t)dt \end{aligned} S=∫αβf(x)dx=∫t(α)t(β)y(t)x′(t)dt
函数面积与旋转体体积
S = ∫ a b y ( x ) d x S=\displaystyle\int_a^by(x)dx S=∫aby(x)dx
V x = ∫ a b π y 2 ( x ) d x V_x=\displaystyle\int_a^b\pi y^2(x)dx Vx=∫abπy2(x)dx
V y = ∫ a b 2 π x y ( x ) d x V_y=\displaystyle\int_a^b2\pi x y(x)dx Vy=∫ab2πxy(x)dx
应用
曲率与曲率半径

变力沿直线做功

*抽水做功

水压力

形心坐标

弧长

旋转曲面的表面积

平行截面面积已知的立体体积

例

本文来自互联网用户投稿,文章观点仅代表作者本人,不代表本站立场,不承担相关法律责任。如若转载,请注明出处。 如若内容造成侵权/违法违规/事实不符,请点击【内容举报】进行投诉反馈!
