(四)他励直流电机的启动,调速和制动
他励直流电机的电学特性及其所造成的影响
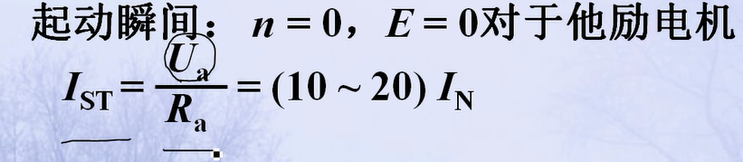
启动时的峰值电流
-
电枢绕组的等效电感
绕圈电流的共有特性,一是磁场,而是通直隔交
又由于换向器的存在,电枢绕组上所加电压是交流电 -
功率关系上的解释
启动瞬间时的转速为0(以及后续在达到稳定运行的状态之前的时间内的转速也为0)
即电机不消耗功率,电机转轴上的等效电压为0

-
电流-时间曲线
在这段时间内,由于在换向器交流电作用下,电枢以时常数τ为周期反复充放电
会导致一个
带有毛刺的,缓降曲线

-
影响
P = U · I · t
其所发出的热量要么烧坏元器件甚至芯片
还要么在换向器处打出电火花,磨损电刷
调速与PWM
基础理论
这里主讲如何利用PWM实现对速度的控制
Back EMF反向电动势
如何消除甚至利用其电学特性所造成的影响
起动
- 使用缓增的可调直流电源
- 增大起动电阻(MOS管实现)
- 使用PWM(注意周期小于电容放电周期τ(一般设置为τ/3),以达到去峰的效果)
实际使用中往往将后面两种方法集成在芯片内部直接实现
本文来自互联网用户投稿,文章观点仅代表作者本人,不代表本站立场,不承担相关法律责任。如若转载,请注明出处。 如若内容造成侵权/违法违规/事实不符,请点击【内容举报】进行投诉反馈!
