带时间窗JAVA代码_干货 | 蚁群算法求解带时间窗的车辆路径规划问题详解(附Java代码)...
本文来源于公众号【程序猿声】,作者舟寒丶
前言
一眨眼春节又过去了,相信很多同学也和小编一样,度过了一段时间相对轻松的时光。
当然,玩耍过后也不能忘记学习。本着造福人类的心态,小编又开始干活,为大家带来 有 · 趣 的干货算法内容了!

本期为大家带来的内容是蚁群算法,解决大家熟悉的带时间窗的车辆路径规划问题。关于蚁群算法,公众号内已经有相关内容介绍TSP:
本文主要分为以下部分:
蚁群算法简介
蚁群算法与VRPTW
代码测试
笔记总结
蚁群算法简介
蚁群系统(Ant System或Ant Colony System)一种群体仿生类算法,灵感来源于在蚂蚁觅食的过程。学者们发现,单个蚂蚁的行为比较简单,但是蚁群整体却可以体现一些智能的行为,例如可以在不同的环境下找到到达食物源的最短路径。
经进一步研究发现,蚂蚁会在其经过的路径上释放一种可以称之为“信息素”(phenomenon)的物质,蚁群内的蚂蚁对信息素具有感知能力,它们会沿着信息素浓度较高路径行走,而每只路过的蚂蚁都会在路上留下信息素。这样经过一段时间后,整个蚁群就会沿着最短路径到达食物源了。

蚁群算法通过模仿蚂蚁“每次在经过的较短路径上留下信息素”的行为,通过信息素记录下较优结果,不断逼近最优解。
蚁群算法与VRPTW
VRPTW在之前的推文里已经提到过多次了,这里不再详细介绍。感兴趣的朋友可以看过去的推文:
通过上面的介绍,大家不难想到,蚁群算法的关键在于信息素的利用。在蚁群寻找食物时,每次都由一只蚂蚁从头开始寻找(不同于禁忌搜索或遗传算法的邻域动作);每次寻找的不同点在于信息素的改变:不断靠近信息素较浓的路径。
用蚁群算法解决VRPTW的过程主要分为以下几步:
1.初始化蚂蚁信息(以下用agents表示);
2.为每位agents构造完整路径;
3.更新信息素;
4.迭代,保存最优解。
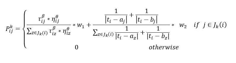
算法的关键在第二步:构造解时该如何查找下一个服务的客户。
我们用以下公式计算客户j被服务的概率:




代码测试
这次代码是由小编亲自编写的,由于是第一次编写ACS的VRPTW代码,有不周之处还请多包涵。
因为小编太懒了,具体代码就不在此展示了,有兴趣的朋友可以在公众号内输入【ACSVRP】不带【】即可下载对应Java代码。
这里展示一下代码的运行情况。对Solomon Benchmark C101算例的测试效果如下:
25点(迭代次数1000,算例最优解191.3):

50点(迭代次数1000,算例最优解362.4):

100点(迭代次数1000,算例最优解827.3):

从测试数据来看,结果似乎不是很好。。。不过,VRPTW仅是一个载体,目的是为了深入了解蚁群算法的运行机制。
小编在测试时发现,参数设置地不同对结果还是有一定影响的。算法偶尔会跑出单个点构成的路径,小编认为应该加大时间窗对应参数w_2,效果有一些提升。推荐的参数已经默认设置在代码中。
同时,蚁群算法也有其他仿生类算法的特点,比较容易早熟。这点在测试100点数据是尤为明显,全局最优解可能与前100次迭代的最优解相同。
笔记总结
大致了解了蚁群算法对VRPTW的求解过程后,我的第一感觉是,和禁忌搜索的思路其实很像:两者都是利用过去搜索的“记忆”指导下一步走向。禁忌禁止一些方向,信息素引导一些方向。但两者又有很大区别:禁忌搜索作为邻域搜索类算法,每次都在旧解里变换出新解;蚁群算法却需要重新派出蚂蚁走完全程。对比之下,每次迭代时蚁群算法可能需要跟更多花费时间。从测试结果来看,蚁群算法确实没有禁忌搜索高效。当然,这可能和小编个人编写代码的能力有关。
但不可否认的是,大自然的智慧确实不同寻常,在每一个领域都闪耀着光辉,如此美妙绝伦。

(小小的蚂蚁,也蕴藏着让人意想不到的智慧呢!)
那么本期的内容差不多就到此为止了。如果感觉还不够明白,可以登录公众号【程序猿声】,输入【ACSVRP】不带【】,即可获取相关Java代码,再作研究。
本文来自互联网用户投稿,文章观点仅代表作者本人,不代表本站立场,不承担相关法律责任。如若转载,请注明出处。 如若内容造成侵权/违法违规/事实不符,请点击【内容举报】进行投诉反馈!
