李宏毅机器学习2020春季作业一hw1
文章目录
- 作业介绍
- 步骤分析:
- 1、Load 'train.csv'
- 2、Preprocessing
- 3、Extract Features (1)
- 3、Extract Features (2)
- 4、Normalize (1)
- 5、Training
- (1)梯度下降法(BGD)优化
- (2)AdaGrad优化
- 6、PreTesting
- 7、Testing
- 7、Prediction(上交作业)
- 8、Save Prediction to CSV File
作业介绍
题目要求:利用每天的前9个小时的18个特征(包括PM2.5),来预测第10个小时的PM2.5的值。
特征包括为: AMB_TEMP, CH4, CO, NHMC, NO, NO2, NOx, O3, PM10, PM2.5, RAINFALL, RH, SO2, THC, WD_HR, WIND_DIREC, WIND_SPEED, WS_HR,总计18种。、
tset.csv、train.csv、相关作业更详细的介绍视频、图片等已上传
资料下载方式请戳链接(免费)https://download.csdn.net/download/qq_46126258/14157237
也可以从网站上直接下载(需要外网VPN,因为是台湾链接地址)
https://drive.google.com/open?id=1El0zvTkrSuqCTDcMpijXpADvJzZC2Jpa
train.csv 的资料为 12 个月中,每个月取 20 天,每天 24 小时(0-23)的资料(每个小时有 18 个 features)
作业介绍的视频可以参考B站视频:bilibili.com/video/BV1LE411T7ns?from=search&seid=11523587886734781073
或者直接解压免费的资料
步骤分析:
注:所有代码是在jupyter notebook上运行的
1、Load ‘train.csv’
导入需要的包
import sys
import pandas as pd
import numpy as np
data = pd.read_csv('hw1-regression-20210111T040736Z-001\hw1-regression/train.csv', encoding = 'big5')
train.csv内的数据如下:

2、Preprocessing
处理数据:
思路:用WPS打开train.csv查看数据的格式:

发现有一栏特征叫RAINFALL,有降雨量的时候写了数据,没有降雨的时候写的NR(Not Rain),所以我们做处理的时候要 data[data == 'NR'] = 0,并且取所有行的第3列到最后1列的数据
代码实现:
data = data.iloc[:, 3:]
data[data == 'NR'] = 0
raw_data = data.to_numpy()#将DataFrame转换为NumPy数组,才能进行相应运算
3、Extract Features (1)
思路:查看train.csv的我们观察到:去掉第一行表头,在表中共有12个月中前20天的数据。每天24小时记录18行的feature(那么每天可以由18╳24的矩阵表示),所以我们进行下图的操作,以便后续操作
即将一个月抽取的20天里代表每天的矩阵放在一行,方便后续处理。每个月有20天,每天有24小时,一个月480个小时,所以一个月由18╳480的矩阵表示,12个月由18行╳12*480列的矩阵表示
range(12)是从0开始,11结束;range(20)是从0开始,19结束
步骤:
(1)先从raw_data中取表示一天的矩阵:raw_data[18 * (20 * month + day) : 18 * (20 * month + day + 1), :]
例:在raw_data中找2.2日的数据,每天有18行,2.2日前有21天即起始点18 * (20 * 1 + 1), 中间间隔18行,结束点18 * (20 * 1 +1 + 1)
(2)将取好的矩阵赋值给month_data:
首先找month_data的对应位置,month_data中是20天一赋值,例:找到2.2日的位置(长24宽18)每天占24列,2.2日前有21天(20天为前一个月)即起始点1 * 24,间隔24列,终止点(1 + 1) * 24)
(3)同(2)取好每天的矩阵,再将20天的数据整合在一个月month_data中:
sample[:, day * 24 : (day + 1) * 24] = raw_data[18 * (20 * month + day) : 18 * (20 * month + day + 1), :]
month_data = {}##按照month做索引,方便以后的数据查找
for month in range(12):##求12个每月sample = np.empty([18, 480])##初始化每月:18X480for day in range(20):##每个月的20天sample[:, day * 24 : (day + 1) * 24] = raw_data[18 * (20 * month + day) : 18 * (20 * month + day + 1), :]month_data[month] = sample##将求好的单月赋值
具体的矩阵移位建议在纸上演算一遍
3、Extract Features (2)
根据题意,为训练集分组,前9个小时做训练集,第10个小时做验证集,所以将10个小时划为一组数据。现在我们每个月有480个小时,共12个月。分组方式为每间隔一个小时取一组。
思路:按照上述方法每个月会得到 471 组数据(最后一组需要时长9小时),一年12个月会有 471 * 12 = 5652 组数据(即 472 * 12 个测试集x,每个测试集有 9 * 18的 features ;对应472 * 12 个验证集y:PM2.5的值)直观的方式见下图

处理好的结果见下:

实现代码如下:
这里说明一下 . r e s h a p e ( 1 , − 1 ) : \color{red}.reshape(1, -1): .reshape(1,−1):
我希望赋值的时候是一行一行的即每次1行x列(x表示未知),如果不想手算x,可以用.reshape(1, -1)解决这个问题。也可以手算后用.reshape(1,18)
Numpy允许给新排布的参数设置为 -1,它指的是未知的维数,前提是已知另一维度(如(2, -1), (-1, 3),但是不允许(-1, -1)),Numpy自己会根据输入值的排布,用reshape()方法得出未知维数的值,使得输出值符合np.reshape()的规范。详细说明见另一博主链接
x = np.empty([12 * 471, 18 * 9], dtype = float)
y = np.empty([12 * 471, 1], dtype = float)
'''
注释掉的这部分为老师的做法
for month in range(12):##12个月for day in range(20):##每个月20天for hour in range(24):##每天24小时(0-23)if day == 19 and hour > 14:continuex[month * 471 + day * 24 + hour, :] = month_data[month][:,day * 24 + hour : day * 24 + hour + 9].reshape(1, -1) #vector dim:18*9 (9 9 9 9 9 9 9 9 9 9 9 9 9 9 9 9 9 9)y[month * 471 + day * 24 + hour, 0] = month_data[month][9, day * 24 + hour + 9] #value'''
#由于已经将一个月的数据合并,那么天与小时都已经是次要的信息。
#因此,此处对于1个月,只需要一个index,从0到471取到就可以了
for month in range(12):for index in range(471):x[index + 471 * month, :] = month_data[month][:, index:index + 9].reshape(1, -1)y[index + 471 * month, :] = month_data[month][9, index + 9]
print(x)
print(y)
'''
[[14. 14. 14. ... 2. 2. 0.5][14. 14. 13. ... 2. 0.5 0.3][14. 13. 12. ... 0.5 0.3 0.8]...[17. 18. 19. ... 1.1 1.4 1.3][18. 19. 18. ... 1.4 1.3 1.6][19. 18. 17. ... 1.3 1.6 1.8]]
[[30.][41.][44.]...[17.][24.][29.]]'''
4、Normalize (1)
数据标准化之后模型更容易收敛,也更快收敛,方法就是让其减去均值再除以标准差。
mean()函数功能:求取均值. np.std(标准差)同理
经常操作的参数为axis,以m × n矩阵举例:
axis 不设置值,对 m × n 个数求均值,返回一个实数
axis = 0:压缩行,对各列求均值,返回 1 × n 矩阵
axis =1 :压缩列,对各行求均值,返回 m × 1 矩阵
mean_x = np.mean(x, axis = 0) #18 * 9 列均值
std_x = np.std(x, axis = 0) #18 * 9 # 列标准差
for i in range(len(x)): #12 * 471for j in range(len(x[0])): #18 * 9 if std_x[j] != 0:# 每个元素减去其所在列的均值,再除以标准差x[i][j] = (x[i][j] - mean_x[j]) / std_x[j]
x
'''
array([[-1.35825331, -1.35883937, -1.359222 , ..., 0.26650729,0.2656797 , -1.14082131],[-1.35825331, -1.35883937, -1.51819928, ..., 0.26650729,-1.13963133, -1.32832904],[-1.35825331, -1.51789368, -1.67717656, ..., -1.13923451,-1.32700613, -0.85955971],...,[-0.88092053, -0.72262212, -0.56433559, ..., -0.57693779,-0.29644471, -0.39079039],[-0.7218096 , -0.56356781, -0.72331287, ..., -0.29578943,-0.39013211, -0.1095288 ],[-0.56269867, -0.72262212, -0.88229015, ..., -0.38950555,-0.10906991, 0.07797893]])
'''
5、Training
模型:线性函数
输入:一次18×9个数据
参数:18×9个权重+一个偏置
损失函数:均方根误差(见下图)
优化算法:gradient(梯度下降)、Adagrad
np.concatenate((a,b),axis=1) : 进行行拼接,拼接结果是[a,b],相当于在x矩阵的左侧第一列添加同等行数的1。
np.dot(a,b):a与b进行矩阵乘法
详细的numpy——np.array、np.matrix、np.mat的区别及(*)、np.multiply、np.dot乘法的区别,请戳链接
np.power(a,b):a的b次方根
x.T等价于x.transpose():求矩阵x的转置
(1)梯度下降法(BGD)优化

代码实现如下:
dim = 18 * 9 + 1 # w的行数,w为18*9+1行:1列
w = np.ones([dim, 1])
#不要写成w = np.zeros([dim, 1]),否则会梯度爆炸或消失使loss值为nan
x = np.concatenate( (np.ones([12 * 471, 1]), x), axis=1).astype(float)
N = 12 * 471 # x的行数,也是计算得出的y冒的行数learning_rate = 0.03
iter_time = 1000
loss = np.zeros([iter_time, 1]) # 每次迭代loss更新,所以与迭代次数相同
for i in range(iter_time):y1 = np.dot(x, w) #w和x的顺序不能反(5652, 163)*(163, 1)=(5652, 1)loss[i] = np.sqrt(np.sum(np.power(y1-y, 2)) / N)gradient = (2/N) * np.dot(x.T, y1-y)w = w - learning_rate * gradientplt.plot(loss)
plt.show()



从左到右依次是0.01,0.03,0.05和的学习率,迭代了1000次,较高的学习率无法收敛,较低的学习率收敛慢
(2)AdaGrad优化
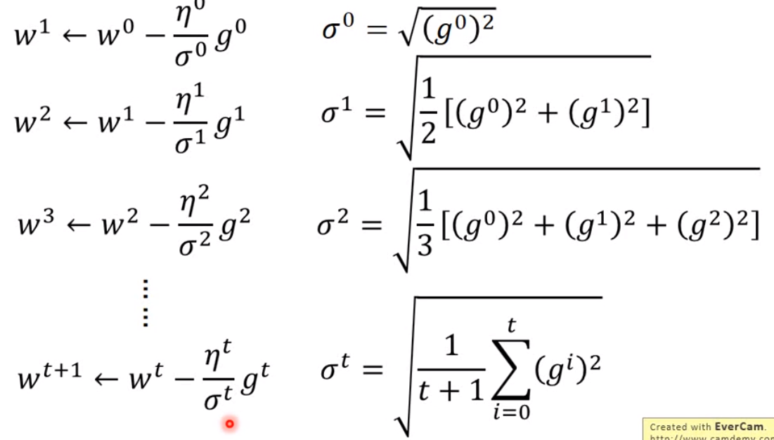
在上一个算法中的learning_rate是凭借试验和经验设置的,那么可不可以让他自己根据每一步求出的 w t w^t wt自己更新,自动地调节学习率呢?答案是有的——AdaGrad算法:一开始是激励收敛,到了后面就慢慢变成惩罚收敛,速度越来越慢
在这里我们单独考虑每一个 w t w^t wt,对于不同的 w t w^t wt会有不同的学习效率,首先提出两个公式:
其中 η t η^t ηt为学习率, g t g^t gt为gradient,表示参数的偏微分。

这里是BGD和Adagrad在更新参数 w t w^t wt时的对比:

其中 σ t σ^t σt是之前所有 w t w^t wt的标准差(平方和开根号),也就是下图这样

然后我们发现最终 w t w^t wt更新的式子可以化简为这样

比起BGD,这种优化方法,在更新参数时,除了乘学习率外,还除了过往所有梯度平方和的平方根,可动态的改变学习率。并且不会因为某时梯度太大而导致模型发散
下图的红色部分为二者的区别

dim = 18 * 9 + 1 # w的行数,w为18*9+1行:1列
w = np.ones([dim, 1])
x = np.concatenate((np.ones([12 * 471, 1]), x), axis = 1).astype(float)
learning_rate = 100
iter_time = 1000
adagrad = np.zeros([dim, 1])
eps = 0.0000000001# 小常数,为了数值稳定通常设置在10的-9次方
for t in range(iter_time):loss = np.sqrt(np.sum(np.power(np.dot(x, w) - y,2)) / 471 / 12) #w和x的顺序不能反(5652, 163)*(163, 1)=(5652, 1)if(t%100==0):print(str(t) + ":" + str(loss))gradient = 2 * np.dot(x.transpose(), np.dot(x,w) - y)adagrad += gradient ** 2 #求adagrad的平方power(adagrad,2)w = w - learning_rate * gradient / np.sqrt(adagrad + eps)
np.save('weight.npy',w)
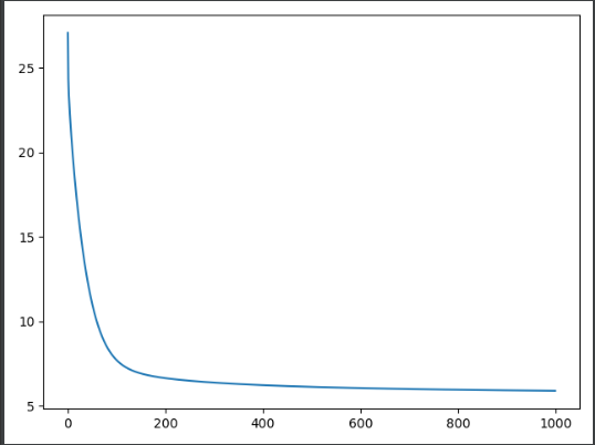
随着迭代次数的增加,我们可以得到逐渐减小的loss

在初始化w时使用w = np.zeros([dim, 1]) 会得到下图loss下降的结果,速度没有w = np.ones([dim, 1])下降的快
6、PreTesting
将训练集按8:2比例分为组内训练集与测试集,手动测试模型训练效果,也就是拿出20%做测试集按照之前w求出对应的ans_y,通过与真实的y_validation求取loss
import math
x_train_set = x[: math.floor(len(x) * 0.8), :]#约为4521
y_train_set = y[: math.floor(len(y) * 0.8), :]
x_validation = x[math.floor(len(x) * 0.8): , :]#约为1131
y_validation = y[math.floor(len(y) * 0.8): , :]w = np.load('weight.npy') #提取训练好的参数w
x_validation = np.concatenate((np.ones([1131, 1]), x_validation), axis=1).astype(float)
ans_y = np.dot(x_validation, w)
loss = np.sqrt(np.sum(np.power(ans_y - y_validation, 2)) / 1131)
print(loss) #输出误差
得到
5.486249843833246
但这些数据终归还是在自己手里已知答案的数据,还不知道对于新加入的数据的真实拟合效果,所以我们打开test.csv,对准确度进行下一步估算
7、Testing
打开test.csv,观察到一共有240天(0-239)的数据,开始分离测试集(test_x,test_y),但是发现没有关键的第10列(正常应该是前9列作为test_x,第10列作为test_y),也就是说没有给出test_y,那么接下来做出的预测结果是没办法计算准确率的,根据视频描述可以通过上传kaggle检验预测的准确率(但是本人暂时不会操作这个,所以接下来的预测结果没办法保证准确率)

接下来开始提取test_x,提取出的格式应该和做训练时的x保持一样的格式:将一天中每个小时的18列数据横摆放(下图是之前的格式)
同理我们也将test_x每天的18项数据横排摆放,那么每天就有18×9列,就会得到有240行,18×9列的横排摆放的长条小方块(如下图)

代码如下:
test_data = pd.read_csv('hw1-regression-20210111T040736Z-001\hw1-regression/test.csv', header = None, encoding = 'big5')
test_data = test_data.iloc[:, 2:]
test_data[test_data == 'NR'] = 0
test_data = test_data.to_numpy()
test_x = np.empty([240, 18*9],dtype=float)
for i in range(240):#将每天的18项数据横排摆放test_x[i, :] = test_data[18 * i:18 * (i + 1), :].reshape(1,-1)
之前的代码已经定义:
mean_x = np.mean(x, axis = 0) 列均值
std_x = np.std(x, axis = 0) 列标准差
同样我们根据mean_x、std_x 对其进行标准化:
for i in range(len(test_x)):#遍历每行for j in range(len(test_x[0])):#遍历每列if std_x[j]!=0:#确保分母不为0test_x[i][j] = (test_x[i][j] - mean_x[j])/std_x[j]test_x = np.concatenate((np.ones([240, 1]), test_x), axis = 1).astype(float)
7、Prediction(上交作业)
算出ans_y
w = np.load('weight.npy')
ans_y = np.dot(test_x, w)
ans_y
得下图

8、Save Prediction to CSV File
规范自己得出的结果,得到下图
import csv
with open('submit.csv', mode='w', newline='') as submit_file:csv_writer = csv.writer(submit_file)header = ['id', 'value']print(header)csv_writer.writerow(header)for i in range(240):row = ['id_' + str(i), ans_y[i][0]]csv_writer.writerow(row)print(row)

有条件的小伙伴可以上传kaggle检验预测的准确率
本文来自互联网用户投稿,文章观点仅代表作者本人,不代表本站立场,不承担相关法律责任。如若转载,请注明出处。 如若内容造成侵权/违法违规/事实不符,请点击【内容举报】进行投诉反馈!
