统计学中的中英之差
统计学中英表述的差别)
- 1. 方差(variance)
- 2. 显著水平(significance level)
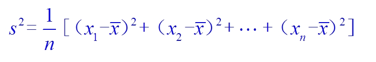
1. 方差(variance)
中:方差,公式:

英:variance,公式:

由此引导的标准差(standard deviaton)也有差异。
2. 显著水平(significance level)
以单边的t分布曲线图为例:

中:显著水平,指向图中的1-α,如95%;
英:significance level,指向图中的α,如5%。
本文来自互联网用户投稿,文章观点仅代表作者本人,不代表本站立场,不承担相关法律责任。如若转载,请注明出处。 如若内容造成侵权/违法违规/事实不符,请点击【内容举报】进行投诉反馈!
