1 JUC(高并发)
文章目录
- 1.什么是JUC
- 2.进程和线程
- 3.并发与并行
- 4.线程的状态(六个)
- 5.wait/sleep的区别
- 6.Lock锁与Synchronized(重点)
- 6.1传统的Synchronized (关键字)
- 6.2lock锁 (lock是一个接口)
- 6.2.1 ReentrantLock 可重入锁中的公平锁与非公平锁
- 6.2.2 与6.1不同的加锁方式的买票案例
- 6.3Synchronized 和 Lock区别
- 7.生产者与消费者问题(线程通信)
- 7.1传统版本,用Synchronized实现的
- 7.1.1存在的问题(虚假唤醒),线程不只两个时
- 7.2juc版(lock锁)的生产者与消费者问题
- 7.2.1 Condition有什么用呢?
- 8、八锁现象
- 8.1 问题1与问题2
- 8.2 问题3与问题4
- 8.3 问题5与问题6
- 8.4问题7与问题8
- 8.5小结
- 9.线程安全与不安全的集合
- 9.1List中的不安全 (ArrayList 是不安全的)
- 9.2 set 中的不安全
- 9.3 map中的不安全
- 9.4阻塞队列(BlockingQueue接口)
- 9.4.1SynchronousQueue同步队列
- 10.Callable(简单)
- 11.常用的辅助类
- 11.1 CountDownLatch
- 11.2 CyclicBarrier
- 11.3 Semaphore
- 12.读写锁ReadWritelock
- 13.线程池
- 13.1三大方法
- 13.2七大参数
- 13.3四种拒绝策略
- 13.3.1 new ThreadPoolExecutor.AbortPolicy()
- 13.3.2 new ThreadPoolExecutor.CallerRunsPolicy()
- 13.3.3 new ThreadPoolExecutor.DiscardPolicy()
- 13.3.4 new ThreadPoolExecutor.DiscardOldestPolicy():
- 13.4手动创建线程池
- 13.5小结和拓展(CPU密集型和IO密集型!)
- 14 .四大函数式接口(必需掌握)
- 14.1 Function
1.什么是JUC

- 在Java中,线程部分是一个重点,本篇文章说的JUC也是关于线程的。JUC就是java.util .concurrent工具包的简称。这是一个处理线程的工具包,JDK 1.5开始出现的。
2.进程和线程
-
进程是正在运行的程序,是系统进行资源分配的基本单位 (一个程序:例如QQ.exe,Music.exe)
-
线程,又称轻量级进程(Light Weight Process)。是进程中的一条执行路径,也是CPU的基本调度单位。一个进程由一个或多个线程组成,彼此间完成不同的工作,同时执行(宏观并行,微观串行),称为多线程。(例如:迅雷是一个进程,当中的多个下载任务即是多个线程。)
-
进程和线程的区别:
- 进程是操作系统资源分配的基本单位,而线程是CPU的基本调度单位
- 一个程序运行后至少有一个进程。
- 一个进程可以包含多个线程,但是至少需要有一个线程,否则这个进程是没有意义。
- 进程间不能共享数据段地址,但同进程的线程之间可以。
-
java默认有几个线程?2个线程! main线程、GC线程
-
对于Java而言:我们之前使用Thread、Runnable、Callable这三种方式来开启线程的
-
提问?JAVA真的可以开启线程吗? 开不了的!(来看一下 Thread().start()的源码)
public synchronized void start() {/*** This method is not invoked for the main method thread or "system"* group threads created/set up by the VM. Any new functionality added* to this method in the future may have to also be added to the VM.** A zero status value corresponds to state "NEW".*/if (threadStatus != 0)throw new IllegalThreadStateException();/* Notify the group that this thread is about to be started* so that it can be added to the group's list of threads* and the group's unstarted count can be decremented. */group.add(this);boolean started = false;try {start0();started = true;} finally {try {if (!started) {group.threadStartFailed(this);}} catch (Throwable ignore) {/* do nothing. If start0 threw a Throwable thenit will be passed up the call stack */}}}//这是一个本地方法,底层的c++,在之前的jvm中提到过,Java是没有权限操作的private native void start0();
3.并发与并行
-
并行:并行是针对多处理器(cpu)而言的。指在同一时刻,有多条指令在多个处理器上同时执行。所以无论从微观还是从宏观来看,二者都是一起执行的。(当一个CPU执行一个进程时,另一个CPU可以执行另一个进程,两个进程互不抢占CPU资源,可以同时进行)
-
并发:并发描述的是多个进程同时运行的现象(多个进程抢一个cpu)。但实际上,对于单核心CPU来说,同一时刻只能运行一个进程。在单个cpu中,从宏观的角度讲:多个进程是同时进行的,但是在微观的角度来看:只是cpu快速切换不同的进程,让其执行(CPU把一个时间段划分成几个时间片段(时间区间),然后在这几个时间区间之间来回切换,由于CPU处理的速度非常快,只要时间间隔处理得当,即可让用户感觉是多个应用程序同时在进行)
-
并发编程的本质:充分利用CPU的资源!
public class Test1 {public static void main(String[] args) {//获取cpu的核数System.out.println(Runtime.getRuntime().availableProcessors());}
}
4.线程的状态(六个)
- 看源码
public enum State {//新生NEW,//运行RUNNABLE,//阻塞BLOCKED,//等待WAITING,//超时等待TIMED_WAITING,//终止TERMINATED;
}
5.wait/sleep的区别

-
对于捕获异常看一下源码(都是需要捕获异常的)中断异常
java/lang/Thread.java : public static native void sleep(long millis) throws InterruptedException;java/lang/Object.java: public final void wait() throws InterruptedException {wait(0); }
6.Lock锁与Synchronized(重点)
6.1传统的Synchronized (关键字)
- 一个买票案例
package com.wlw.demo01;
/*** 真正的多线程开发* 线程就是一个单独的资源类,没有任何的附属操作! (只有属性和方法)*/
public class SaleTicketDemo01 {public static void main(String[] args) {//多线程操作//并发:多线程操作同一个资源类,把资源类丢入线程final Ticket ticket = new Ticket();//@FunctionalInterface 函数式接口 jdk1.8之后 可用lambda表达式来代替new Thread(new Runnable() {public void run() {for (int i = 0; i < 40; i++) {ticket.sale();}}},"A").start();new Thread(()->{for (int i = 0; i < 40; i++) {ticket.sale();}},"B").start();new Thread(()->{for (int i = 0; i < 40; i++) {ticket.sale();}},"C").start();}
}
//资源类
//属性+方法
//oop
class Ticket{private int number = 50;//synchronized的本质就是将多个线程放进一个队列,并对共享的资源加锁,之后获得锁的线程才能使用这个资源public synchronized void sale(){if(number > 0){System.out.println(Thread.currentThread().getName()+"卖了第"+(number--)+"张票,"+"还剩"+number);}}
}
6.2lock锁 (lock是一个接口)

6.2.1 ReentrantLock 可重入锁中的公平锁与非公平锁
-
Lock lock = new ReentrantLock(); -
点进去看一下源码
-
/*** Creates an instance of {@code ReentrantLock}.* This is equivalent to using {@code ReentrantLock(false)}.*/ public ReentrantLock() {sync = new NonfairSync(); //非公平锁 }/*** Creates an instance of {@code ReentrantLock} with the* given fairness policy.** @param fair {@code true} if this lock should use a fair ordering policy*/ public ReentrantLock(boolean fair) {sync = fair ? new FairSync() : new NonfairSync(); //FairSync()为公平锁 } -
非公平锁: 十分不公平,可以插队;(默认为非公平锁) (这个可以保证运行时间短的线程先执行完,不用一直等待前面的需要很多时间才能执行完的线程)
-
公平锁: 十分公平,必须先来后到(严格按照先来后到的顺序执行);
6.2.2 与6.1不同的加锁方式的买票案例
- lock锁 三部曲
- 1、 Lock lock=new ReentrantLock(); 创建锁
- 2、 lock.lock() 加锁
- 3、 finally块中 解锁:lock.unlock();
package com.wlw.demo01;import java.util.concurrent.locks.Lock;
import java.util.concurrent.locks.ReentrantLock;/*** SaleTicketDemo01 用的是synchronized 关键字加锁,SaleTicketDemo02用lock锁*/
public class SaleTicketDemo02 {public static void main(String[] args) {//多线程操作//并发:多线程操作同一个资源类,把资源类丢入线程Ticket2 ticket = new Ticket2();//@FunctionalInterface 函数式接口 jdk1.8之后 可用lambda表达式来代替new Thread(()->{ for (int i = 0; i < 40; i++) ticket.sale();},"A").start();new Thread(()->{ for (int i = 0; i < 40; i++) ticket.sale(); },"B").start();new Thread(()->{ for (int i = 0; i < 40; i++) ticket.sale(); },"C").start();}
}//lock锁 三部曲
//1、 Lock lock=new ReentrantLock();
//2、 lock.lock() 加锁
//3、 finally块中 解锁:lock.unlock();
class Ticket2{private int number = 50;Lock lock = new ReentrantLock(); //创建一个可重入锁public void sale(){lock.lock(); //加锁try {//业务代码if(number > 0){System.out.println(Thread.currentThread().getName()+"卖了第"+(number--)+"张票,"+"还剩"+number);}} catch (Exception e){e.printStackTrace();}finally {lock.unlock(); //解锁}}
}
6.3Synchronized 和 Lock区别
- 1、Synchronized 内置的Java关键字,Lock是一个Java接口(在jvm层面,Lock是个java类)
- 2、Synchronized 无法判断获取锁的状态,Lock可以判断是否获取到锁;
- 3、Synchronized 会自动释放锁(a 线程执行完同步代码会释放锁 ;b 线程执行过程中发生异常会释放锁),lock必须要手动加锁和手动释放锁!(unlock()方法释放锁,否则容易造成线程死锁;)
- 4、用synchronized关键字的两个线程1和线程2,如果当前线程1获得锁,线程2线程等待。如果线程1阻塞,线程2则会一直等待下去, lock就不一定会一直等待下去,lock会有一个trylock去尝试获取锁,不会造成长久的等待,如果尝试获取不到锁,线程可以不用一直等待就结束了;
- 5、Synchronized 是可重入锁,不可以中断的,默认就是非公平的;Lock,可重入的,可以判断锁,可以自己设置公平锁和非公平锁(默认是非公平的,如果创建可重入锁时加了true就是获得公平锁);
- 6、Synchronized 适合锁少量的代码同步问题,Lock适合锁大量的同步代码;
7.生产者与消费者问题(线程通信)
- 线程之间的通信问题:生产者与消费者问题
7.1传统版本,用Synchronized实现的
package com.wlw.producerandconsumer;/*** 线程之间的通信问题:生产者与消费者问题* 两个线程交替执行,操作同一变量,一开始为0,A B 一个执行+1 另一个执行-1*/
public class demo01_synchronized {public static void main(String[] args) {Data data = new Data();new Thread(()->{for (int i = 0; i < 10; i++) {try {data.increment();} catch (InterruptedException e) {e.printStackTrace();}}},"A").start();new Thread(()->{for (int i = 0; i < 10; i++) {try {data.decrement();} catch (InterruptedException e) {e.printStackTrace();}}},"B").start();}
}//资源类
//写一个生产者与消费者问题,只有三步:1.判断等待、2.业务、3.唤醒通知
class Data{private int number = 0;//+1public synchronized void increment() throws InterruptedException {//1.判断是否需要等待if(number != 0){this.wait();}//2.业务number++;System.out.println(Thread.currentThread().getName()+"==>"+number);//3.唤醒通知 ,通知线程我+1完毕了this.notifyAll();}//-1public synchronized void decrement() throws InterruptedException {//1.判断是否需要等待if(number == 0){this.wait();}//2.业务number--;System.out.println(Thread.currentThread().getName()+"==>"+number);//3.唤醒通知 ,通知线程我-1完毕了this.notifyAll();}
}
7.1.1存在的问题(虚假唤醒),线程不只两个时
-
上面的案例中只有两个线程,不会出现问题,假如有四个线程就会出现问题 (虚假唤醒问题)
-
造成虚假唤醒的根本原因是notify唤醒线程和被唤醒的线程获取锁不是原子操作。在线程被唤醒过程中,如果锁被其他线程抢占执行,等持锁线程执行完后,被唤醒线程获得锁执行,就有可能造成临界资源为0的情况下被过度消费为负数的现象(在生产者消费者模式中)。
-
whlie循环在wait后再进行一次临界资源的判断,如果临界资源不满足要求继续设置线程为等待状态,避免了以上过度消费的问题出现。

-
虚假唤醒问题解决:将if 换成 while 判断 (if只会判断一次,while会一直判断)
package com.wlw.producerandconsumer;/*** 线程之间的通信问题:生产者与消费者问题* 四个线程*/
public class demo01_synchronized{public static void main(String[] args) {Data data = new Data();new Thread(()->{for (int i = 0; i < 10; i++) {try {data.increment();} catch (InterruptedException e) {e.printStackTrace();}}},"A").start();new Thread(()->{for (int i = 0; i < 10; i++) {try {data.decrement();} catch (InterruptedException e) {e.printStackTrace();}}},"B").start();new Thread(()->{for (int i = 0; i < 10; i++) {try {data.increment();} catch (InterruptedException e) {e.printStackTrace();}}},"C").start();new Thread(()->{for (int i = 0; i < 10; i++) {try {data.decrement();} catch (InterruptedException e) {e.printStackTrace();}}},"D").start();}
}//资源类
//写一个生产者与消费者问题,只有三步:1.判断等待、2.业务、3.唤醒通知
class Data{private int number = 0;//+1public synchronized void increment() throws InterruptedException {//1.判断是否需要等待while (number != 0){this.wait();}//2.业务number++;System.out.println(Thread.currentThread().getName()+"==>"+number);//3.唤醒通知 ,通知线程我+1完毕了this.notifyAll();}//-1public synchronized void decrement() throws InterruptedException {//1.判断是否需要等待while (number == 0){this.wait();}//2.业务number--;System.out.println(Thread.currentThread().getName()+"==>"+number);//3.唤醒通知 ,通知线程我-1完毕了this.notifyAll();}
}
7.2juc版(lock锁)的生产者与消费者问题
- 对比一下Synchronized,它有三个关键点:Synchronized加锁,wait等待,notify(notifyAll)唤醒,而juc版的三个关键点:lock加锁,await等待,signal(signalAll)唤醒 (jdk帮助文档中写道:在Lock取代synchronized方法和语句的使用,一个Condition取代对象 监视器的使用方法。)

-
await与,signal(signalAll)的使用要通过Condition,而Contidion是通过lock锁来获取的 (方法为:newContidion() 返回一个新的Condition实例绑定到该Lock实例。)

-
生产者与消费者 代码
package com.wlw.producerandconsumer;import java.util.concurrent.locks.Condition;
import java.util.concurrent.locks.Lock;
import java.util.concurrent.locks.ReentrantLock;public class demo02_Lock {public static void main(String[] args) {Data2 data = new Data2();new Thread(()->{for (int i = 0; i < 10; i++) {data.increment();}},"A").start();new Thread(()->{for (int i = 0; i < 10; i++) {data.decrement();}},"B").start();new Thread(()->{for (int i = 0; i < 10; i++) {data.increment();}},"C").start();new Thread(()->{for (int i = 0; i < 10; i++) {data.decrement();}},"D").start();}
}//资源类
//写一个生产者与消费者问题,只有三步:1.判断等待、2.业务、3.唤醒通知
class Data2{private int number = 0;Lock lock = new ReentrantLock(); //创建锁Condition condition = lock.newCondition();//返回一个新的Condition实例绑定到该Lock实例。//+1public void increment(){lock.lock();//加锁try {//1.判断是否需要等待while (number != 0){condition.await();}//2.业务number++;System.out.println(Thread.currentThread().getName()+"==>"+number);//3.唤醒通知 ,通知线程我+1完毕了condition.signalAll(); //全部唤醒} catch (Exception e) {e.printStackTrace();} finally {lock.unlock(); //解锁}}//-1public void decrement() {lock.lock();try {//1.判断是否需要等待while (number == 0){condition.await();}//2.业务number--;System.out.println(Thread.currentThread().getName()+"==>"+number);//3.唤醒通知 ,通知线程我-1完毕了condition.signalAll();} catch (Exception e) {e.printStackTrace();} finally {lock.unlock();}}
}
7.2.1 Condition有什么用呢?
- 任何一个新的技术,绝对不仅仅只是覆盖了原来的技术,它一定有着自己的优势与补充
- Condition的优势:精准的通知和唤醒的线程!
package com.wlw.producerandconsumer;import java.util.concurrent.locks.Condition;
import java.util.concurrent.locks.Lock;
import java.util.concurrent.locks.ReentrantLock;/*** Condition 实现精准的通知和唤醒的线程!* A执行完调用B B行完调用C C执行完调用A*/
public class demo03_Condition {public static void main(String[] args) {Data3 data3 = new Data3();new Thread(()->{for (int i = 0; i < 10; i++) {data3.printA();}},"A").start();new Thread(()->{for (int i = 0; i < 10; i++) {data3.printB();}},"B").start();new Thread(()->{for (int i = 0; i < 10; i++) {data3.printC();}},"C").start();}
}class Data3{private Lock lock = new ReentrantLock();private Condition condition1 = lock.newCondition();private Condition condition2 = lock.newCondition();private Condition condition3 = lock.newCondition();private int number = 1; //number = 1时执行A,2B 3Cpublic void printA(){lock.lock();try {// 判断等待,业务,唤醒while(number != 1){condition1.await(); //等待}System.out.println(Thread.currentThread().getName()+"==>AAAAAAAAAAAA"); //业务number = 2;// 唤醒指定的人(线程)Bcondition2.signal();//唤醒}catch (Exception e){e.printStackTrace();}finally {lock.unlock();}}public void printB(){lock.lock();try {// 判断等待,业务,唤醒while (number != 2){condition2.await();}System.out.println(Thread.currentThread().getName()+"==>BBBBBBBB"); //业务number = 3;// 唤醒指定的人(线程)Bcondition3.signal();//唤醒}catch (Exception e){e.printStackTrace();}finally {lock.unlock();}}public void printC(){lock.lock();try {// 判断等待,业务,唤醒while (number != 3){condition3.await();}System.out.println(Thread.currentThread().getName()+"==>CCCCCCC"); //业务number = 1;// 唤醒指定的人(线程)Bcondition1.signal();//唤醒}catch (Exception e){e.printStackTrace();}finally {lock.unlock();}}}
8、八锁现象
- 锁是什么,如何判断锁的是谁?
- 8锁,就是关于锁的8个问题
8.1 问题1与问题2
- 问题一:标准情况下,下面的AB两个线程哪个先执行? 发消息? or 打电话?
- 问题一答:总是先执行 发消息send() 再执行打电话call()。(为什么? 如果你认为是顺序在前? 这个答案是错误的!)
- 问题二:让send() 方法休眠4s,此时AB两个线程哪个先执行?
- 问题二答:还是先执行 发消息send() 再执行打电话call()
- 为什么:
- 因为,使用synchronized加锁,synchronized 锁的对象是方法的调用者! 两个方法用的是同一个锁, 谁先拿到谁执行,AB两个线程里面的方法是同一个对象调用的(这也是synchronized锁的特性,两个线程,线程A和线程B,如果当前线程A获得锁,线程B线程等待。如果线程A阻塞,线程B则会一直等待下去)
package com.wlw.lock8;import java.util.concurrent.TimeUnit;/*** 8锁,就是关于锁的8个问题* 问题1.标准情况下,下面的AB两个线程哪个先执行? 发消息? or 打电话?*/
public class Test1 {public static void main(String[] args) {Phone phone = new Phone();new Thread(()->{phone.send();},"A").start();//休息1stry {TimeUnit.SECONDS.sleep(1);} catch (InterruptedException e) {e.printStackTrace();}new Thread(()->{phone.call();},"B").start();}
}
class Phone{public synchronized void send(){System.out.println("发消息");}public synchronized void call(){System.out.println("打电话");}
}
package com.wlw.lock8;import java.util.concurrent.TimeUnit;/*** 8锁,就是关于锁的8个问题* 问题1.标准情况下,下面的AB两个线程哪个先执行? 发消息? or 打电话?* 问题2:让send() 方法休眠4s,此时AB两个线程哪个先执行?*/
public class Test1 {public static void main(String[] args) {Phone phone = new Phone();new Thread(()->{phone.send();},"A").start();//休息1stry {TimeUnit.SECONDS.sleep(1);} catch (InterruptedException e) {e.printStackTrace();}new Thread(()->{phone.call();},"B").start();}
}class Phone{//synchronized 锁的对象是方法的调用者! .//两个方法用的是同一个锁, 谁先拿到谁执行。public synchronized void send(){//休眠4stry {TimeUnit.SECONDS.sleep(4);} catch (InterruptedException e) {e.printStackTrace();}System.out.println("发消息");}public synchronized void call(){System.out.println("打电话");}
}
8.2 问题3与问题4
- 问题3:增加了一个普通方法后! 先执行发短信还是Hello? (调用方法的对象是同一个)
- 问题三回答:先执行普通方法
- 为什么:
- 因为,hello是一个普通方法,不受synchronized锁的影响
- 问题4:两个对象,两个同步方法,分两个线程执行,发短信还是 打电话?
- 问题四答:先打电话,(发短信的休眠了4秒,如果没有休眠,应该是看代码执行顺序)
- 为什么:
- 先打电话,后发短信。原因:在发短信方法中延迟了4s,又因为synchronized锁的是对象,但是我们这使用的是两个对象,所以每个对象都有一把锁,所以不会造成锁的等待。正常执行
package com.wlw.lock8;import java.util.concurrent.TimeUnit;/*** 问题3:加一个不带synchronized的普通的hello()方法,谁先执行*/
public class Test2 {public static void main(String[] args) {Phone2 phone = new Phone2();new Thread(()->{phone.send();},"A").start();//休息1stry {TimeUnit.SECONDS.sleep(1);} catch (InterruptedException e) {e.printStackTrace();}new Thread(()->{phone.hello();},"B").start();}}class Phone2{//synchronized 锁的对象是方法的调用者!//两个方法用的是同一个锁, 谁先拿到谁执行。public synchronized void send(){//休眠4stry {TimeUnit.SECONDS.sleep(4);} catch (InterruptedException e) {e.printStackTrace();}System.out.println("发消息");}public synchronized void call(){System.out.println("打电话");}//hello是一个普通方法,不受synchronized锁的影响public void hello(){System.out.println("hello");}
}
package com.wlw.lock8;import java.util.concurrent.TimeUnit;/*** 问题3:加一个不带synchronized的普通的hello()方法,谁先执行* 问题4:两个对象,两个同步方法,发短信还是 打电话? //先打电话,后发短信。原因:在发短信方法中延迟了4s,又因为synchronized锁的是对象,但是我们这使用的是两个对象,所以每个对象都有一把锁,所以不会造成锁的等待。正常执行*/
public class Test2 {public static void main(String[] args) {//两个对象,两个方法的调用者,两把锁Phone2 phone1 = new Phone2();Phone2 phone2 = new Phone2();new Thread(()->{phone1.send();},"A").start();//休息1stry {TimeUnit.SECONDS.sleep(1);} catch (InterruptedException e) {e.printStackTrace();}new Thread(()->{phone2.call();},"B").start();}}class Phone2{//synchronized 锁的对象是方法的调用者!//两个方法用的是同一个锁, 谁先拿到谁执行。public synchronized void send(){//休眠4stry {TimeUnit.SECONDS.sleep(4);} catch (InterruptedException e) {e.printStackTrace();}System.out.println("发消息");}public synchronized void call(){System.out.println("打电话");}//hello是一个普通方法,不受synchronized锁的影响public void hello(){System.out.println("hello");}
}
8.3 问题5与问题6
- 如果我们把synchronized的方法加上static变成静态方法!那么顺序又是怎么样的呢?
- 问题5:我们先来使用一个对象调用两个方法!
- 问题5答:先发短信,后打电话
- 问题6:如果我们使用两个对象调用两个方法!
- 问题6答:还是先发短信,后打电话
- 为什么:为什么加了static就始终前面一个对象先执行呢!为什么后面会等待呢?
- 原因是:对于static静态方法来说,对于整个类Class来说只有一份,对于不同的对象使用的是同一份方法,相当于这个方法是属于这个类的,如果静态static方法使用synchronized锁定,那么这个synchronized锁会锁住整个类!不管这个类多少个实例对象,对于静态的锁都只有一把锁,谁先拿到这个锁就先执行,其他的进程都需要等待!
package com.wlw.lock8;import java.util.concurrent.TimeUnit;/***如果我们把synchronized的方法加上static变成静态方法!那么顺序又是怎么样的呢?* 问题5:我们先来使用一个对象调用两个方法! 答:先发短信,后打电话*/
public class Test3 {public static void main(String[] args) {Phone3 phone = new Phone3();new Thread(()->{phone.send();},"A").start();//休息1stry {TimeUnit.SECONDS.sleep(1);} catch (InterruptedException e) {e.printStackTrace();}new Thread(()->{phone.call();},"B").start();}
}//Phone3 这个类 只有一个唯一的 Class 对象
class Phone3{// synchronized 锁的对象是方法的调用者!// static 静态方法//类一加载就有了! 此时锁的是CLasspublic static synchronized void send(){//休眠4stry {TimeUnit.SECONDS.sleep(4);} catch (InterruptedException e) {e.printStackTrace();}System.out.println("发消息");}public static synchronized void call(){System.out.println("打电话");}
}
package com.wlw.lock8;import java.util.concurrent.TimeUnit;/***如果我们把synchronized的方法加上static变成静态方法!那么顺序又是怎么样的呢?* 问题5:我们先来使用一个对象调用两个方法! 答:先发短信,后打电话* 问题6:如果我们使用两个对象调用两个方法!答:还是先发短信,后打电话*/
public class Test3 {public static void main(String[] args) {//两个对象的Class类只有一个,因为加了static,锁的是Class(而不是具体的对象)Phone3 phone1 = new Phone3();Phone3 phone2 = new Phone3();new Thread(()->{phone1.send();},"A").start();//休息1stry {TimeUnit.SECONDS.sleep(1);} catch (InterruptedException e) {e.printStackTrace();}new Thread(()->{phone2.call();},"B").start();}
}//Phone3 这个类 只有一个唯一的 Class 对象
class Phone3{// synchronized 锁的对象是方法的调用者!// static 静态方法//类一加载就有了! 此时锁的是CLasspublic static synchronized void send(){//休眠4stry {TimeUnit.SECONDS.sleep(4);} catch (InterruptedException e) {e.printStackTrace();}System.out.println("发消息");}public static synchronized void call(){System.out.println("打电话");}
}
8.4问题7与问题8
- 问题7:如果我们使用一个静态同步方法(加static)、一个同步方法(不加static)、一个对象调用顺序是什么?
- 问题7答:先打电话,后发短信了。
- 为什么:
- 原因:因为一个锁的是Class类模板,一个锁的是对象调用者。后面那个打电话不需要等待发短信,直接运行就可以了。(有两把锁,和问题四类似)
- 问题8:如果我们使用一个静态同步方法、一个同步方法、两个对象调用顺序是什么呢?
- 问题8答:先打电话、后发短信!
- 为什么:
- 原因:因为两个对象,一样的原因,两把锁锁的不是同一个东西,所以后面的第二个对象不需要等待第一个对象的执行。
package com.wlw.lock8;import java.util.concurrent.TimeUnit;/*** 问题7:如果我们使用一个静态同步方法(加static)、一个同步方法(不加static)、一个对象调用顺序是什么?* 先打电话,后发短信了。*/
public class Test4 {public static void main(String[] args) {Phone4 phone = new Phone4();new Thread(()->{phone.send();},"A").start();//休息1stry {TimeUnit.SECONDS.sleep(1);} catch (InterruptedException e) {e.printStackTrace();}new Thread(()->{phone.call();},"B").start();}}//Phone3 这个类 只有一个唯一的 Class 对象
class Phone4{// synchronized 锁的对象是方法的调用者!// static 静态方法//类一加载就有了! 此时锁的是Class模板 (只有一个)public static synchronized void send(){//休眠4stry {TimeUnit.SECONDS.sleep(4);} catch (InterruptedException e) {e.printStackTrace();}System.out.println("发消息");}//普通的同步方法,锁的是 具体的类的实例对象public synchronized void call(){System.out.println("打电话");}}
package com.wlw.lock8;import java.util.concurrent.TimeUnit;/*** 问题7:如果我们使用一个静态同步方法(加static)、一个同步方法(不加static)、一个对象调用顺序是什么?* 先打电话,后发短信了。*问题8:如果我们使用一个静态同步方法、一个同步方法、两个对象调用顺序是什么呢?* 先打电话,后发短信了。*/
public class Test4 {public static void main(String[] args) {Phone4 phone1 = new Phone4();Phone4 phone2 = new Phone4();new Thread(()->{phone1.send();},"A").start();//休息1stry {TimeUnit.SECONDS.sleep(1);} catch (InterruptedException e) {e.printStackTrace();}new Thread(()->{phone2.call();},"B").start();}}//Phone3 这个类 只有一个唯一的 Class 对象
class Phone4{// synchronized 锁的对象是方法的调用者!// static 静态方法//类一加载就有了! 此时锁的是Class模板 (只有一个)public static synchronized void send(){//休眠4stry {TimeUnit.SECONDS.sleep(4);} catch (InterruptedException e) {e.printStackTrace();}System.out.println("发消息");}//普通的同步方法,锁的是 具体的类的实例对象public synchronized void call(){System.out.println("打电话");}}
8.5小结
- 锁的是什么东西?
- 只加synchronized的同步方法,锁的是 new出来的实例对象
- 加了static的synchronized同步方法。锁的是一个类的Class类模板
9.线程安全与不安全的集合
此部分 查看 https://blog.csdn.net/wang_luwei/article/details/107490131
9.1List中的不安全 (ArrayList 是不安全的)
package com.wlw.unsafe;import java.util.ArrayList;
import java.util.UUID;//Exception in thread "3" java.util.ConcurrentModificationException 并发修改异常
public class ListTest {public static void main(String[] args) {ArrayList<String> arrayList = new ArrayList<String>();for (int i = 0; i < 10; i++) {new Thread(()->{arrayList.add(UUID.randomUUID().toString().substring(0,5));System.out.println(arrayList);},String.valueOf(i)).start();}}
}
- 解决方案
package com.wlw.unsafe;import java.util.*;
import java.util.concurrent.CopyOnWriteArrayList;
import java.util.concurrent.locks.Condition;//Exception in thread "3" java.util.ConcurrentModificationException 并发修改异常/*** 解决方案:* 1. List List = new Vector<>();* 2.List List = Collections.synchronizedList(new ArrayList<>());* 3. List list = new CopyOnWriteArrayList();(这是juc包下的)* * CopyonWrite 写入时复制 cow 计算机程序设计领域的一种优化策略* 多个线程调用的时候,list是唯一的,在读取的时候是固定的,在写入的时候(可能存在覆盖操作),这种覆盖操作怎么解决?* 就是在写入的时候复制一份,复制完给调用者,调用者写完之后再放入原本的集合中* 就是在写入的时候避免覆盖,造成数据问题!* 读写分离的思想* CopyonWriteArrayList比vector 优秀在哪里? Vector底层是使用synchronized关键字来实现的:效率特别低下。 CopyOnWriteArrayList使用的是Lock锁,效率会更加高效!*/
public class ListTest {public static void main(String[] args) {//List List = new ArrayList(); List list = new CopyOnWriteArrayList<String>();for (int i = 0; i < 10; i++) {new Thread(()->{list.add(UUID.randomUUID().toString().substring(0,5));System.out.println(list);},String.valueOf(i)).start();}}
}
9.2 set 中的不安全
package com.wlw.unsafe;import java.util.Collections;
import java.util.HashSet;
import java.util.Set;
import java.util.UUID;
import java.util.concurrent.CopyOnWriteArraySet;/***和List一样 并发修改异常 Exception in thread "18" java.util.ConcurrentModificationException*解决方案:* 1.Set set = Collections.synchronizedSet(new HashSet<>());* 2.Set set = new CopyOnWriteArraySet<>(); (juc包下的类)*/
public class SetTest {public static void main(String[] args) {//Set set = new HashSet<>(); //Set set = Collections.synchronizedSet(new HashSet<>()); Set<String> set = new CopyOnWriteArraySet<>();for (int i = 0; i < 30; i++) {new Thread(()->{set.add(UUID.randomUUID().toString().substring(0,6));System.out.println(set);},String.valueOf(i)).start();}}
}
9.3 map中的不安全
package com.wlw.unsafe;import java.util.Collections;
import java.util.HashMap;
import java.util.Map;
import java.util.UUID;
import java.util.concurrent.ConcurrentHashMap;/*** 多线程使用HashMap()也会 造成 java.util.ConcurrentModificationException (并发修改异常)* 解决方案:* 1.Map map = Collections.synchronizedMap( new HashMap<>());* 2. Map map = new ConcurrentHashMap<>(); (juc包下的类)*/
public class MapTest {public static void main(String[] args) {//map 是这样用的吗? 不是,工作中不使用 HashMap()//默认等价什么? new HashMap<>(16,0.75);加载因子为0.75、初始化容量16//Map map = new HashMap<>(); //Map map = Collections.synchronizedMap( new HashMap<>()); Map<String, String> map = new ConcurrentHashMap<>();for (int i = 1; i <30; i++) {new Thread(()->{map.put(Thread.currentThread().getName(),UUID.randomUUID().toString().substring(0,5));System.out.println(map);},String.valueOf(i)).start();}}
}
9.4阻塞队列(BlockingQueue接口)



-
什么情况我们会使用 阻塞队列呢? 多线程并发处理、线程池!
-
操作:添加、移除 (四组API)
| 方式 | 抛出异常 | 不会抛出异常,有返回值 | 阻塞 等待 | 超时 等待 |
|---|---|---|---|---|
| 添加 | add | offer | put | offer(e,timenum,timeUnit) |
| 移除 | remove | poll | take | poll(timenum,timeUnit) |
| 判断队列首 | element | peek | - | - |
package com.wlw.BQ;import java.util.concurrent.ArrayBlockingQueue;
import java.util.concurrent.TimeUnit;public class Test {public static void main(String[] args) throws InterruptedException {test1();test2();test3();test4();}//会直接在控制台抛出异常的方法//抛异常,有返回值public static void test1(){ArrayBlockingQueue arrayBlockingQueue = new ArrayBlockingQueue<>(3);System.out.println(arrayBlockingQueue.add("a"));System.out.println(arrayBlockingQueue.add("b"));System.out.println(arrayBlockingQueue.add("c"));//最多就能放3个,java.lang.IllegalStateException: Queue full//System.out.println(arrayBlockingQueue.add("d"));System.out.println(arrayBlockingQueue.remove());System.out.println(arrayBlockingQueue.remove());System.out.println(arrayBlockingQueue.remove());//队列空的时候,再移除就报异常 java.util.NoSuchElementExceptionSystem.out.println(arrayBlockingQueue.remove());}/*** 不抛出异常,有返回值*/public static void test2(){ArrayBlockingQueue blockingQueue = new ArrayBlockingQueue<>(3);System.out.println(blockingQueue.offer("a"));System.out.println(blockingQueue.offer("b"));System.out.println(blockingQueue.offer("c"));//添加 一个不能添加的元素 使用offer只会返回false 不会抛出异常System.out.println(blockingQueue.offer("d"));System.out.println(blockingQueue.poll());System.out.println(blockingQueue.poll());System.out.println(blockingQueue.poll());//弹出 如果没有元素 只会返回null 不会抛出异常System.out.println(blockingQueue.poll());}/*** 等待 一直阻塞*/public static void test3() throws InterruptedException {ArrayBlockingQueue blockingQueue = new ArrayBlockingQueue<>(3);//一直阻塞 不会返回blockingQueue.put("a");blockingQueue.put("b");blockingQueue.put("c");//如果队列已经满了, 再进去一个元素 这种情况会一直等待这个队列 什么时候有了位置再进去,程序不会停止//blockingQueue.put("d");System.out.println(blockingQueue.take()); //有返回值System.out.println(blockingQueue.take());System.out.println(blockingQueue.take());//如果我们再来一个 这种情况也会等待,程序会一直运行 阻塞System.out.println(blockingQueue.take());}/*** 等待 超时阻塞* 这种情况也会等待队列有位置 或者有产品 但是会超时结束**/public static void test4() throws InterruptedException {ArrayBlockingQueue blockingQueue = new ArrayBlockingQueue<>(3);blockingQueue.offer("a");blockingQueue.offer("b");blockingQueue.offer("c");System.out.println("开始等待");blockingQueue.offer("d",2, TimeUnit.SECONDS); //超时时间2s 等待如果超过2s就结束等待System.out.println("结束等待");System.out.println("===========取值==================");System.out.println(blockingQueue.poll());System.out.println(blockingQueue.poll());System.out.println(blockingQueue.poll());System.out.println("开始等待");blockingQueue.poll(2,TimeUnit.SECONDS); //超过两秒 我们就不要等待了System.out.println("结束等待");}
}
9.4.1SynchronousQueue同步队列
-
同步队列 没有容量,也可以视为容量为1的队列;
-
进去一个元素,必须等待取出来之后,才能再往里面放入一个元素;
-
put方法 和 take方法;
-
SynchronousQueue 和 其他的BlockingQueue 不一样 它不存储元素;
-
put了一个元素,就必须从里面先take出来,否则不能再put进去值!
package com.wlw.BQ;import java.util.concurrent.SynchronousQueue;
import java.util.concurrent.TimeUnit;/*** 同步队列和其他的BlockingQueue不一样,* SynchronousQueue不存储元素* put了一个元素,必须从里面先take取出来,否则不能再put进去值!*/
public class SynchronousQueueDemo {public static void main(String[] args) {SynchronousQueue<String> stringSynchronousQueue = new SynchronousQueue<>();new Thread(()->{try {System.out.println(Thread.currentThread().getName()+"put a");stringSynchronousQueue.put("a");System.out.println(Thread.currentThread().getName()+"put b");stringSynchronousQueue.put("b");System.out.println(Thread.currentThread().getName()+"put c");stringSynchronousQueue.put("c");} catch (InterruptedException e) {e.printStackTrace();}},"T1").start();new Thread(()->{try {TimeUnit.SECONDS.sleep(3);System.out.println(Thread.currentThread().getName()+"take a");stringSynchronousQueue.take();TimeUnit.SECONDS.sleep(3);System.out.println(Thread.currentThread().getName()+"take b");stringSynchronousQueue.take();TimeUnit.SECONDS.sleep(3);System.out.println(Thread.currentThread().getName()+"take c");stringSynchronousQueue.take();} catch (InterruptedException e) {e.printStackTrace();}},"T2").start();}
}
10.Callable(简单)
- 此部分可以参考https://blog.csdn.net/wang_luwei/article/details/107490047

- 创建线程的第三种方式
- Callable :可以有返回值;可以抛出异常;与Runnable中的方法不同,run()/call()
- 两个细节:有缓存、结果需要等待(会阻塞)
package com.wlw.callable;import java.util.concurrent.Callable;
import java.util.concurrent.ExecutionException;
import java.util.concurrent.FutureTask;public class CallableTest {public static void main(String[] args) throws ExecutionException, InterruptedException {//Callable怎么放入到Thread里面呢?//对于Thread运行,只能传入Runnable类型的参数; 我们这是Callable 怎么办呢?//在Runnable里面有一个叫做FutureTask的实现类,FutureTask中可以接受Callable参数;//这样我们就可以先把Callable 放入到FutureTask中, 再把FutureTask 放入到Thread就可以了。//new Thread(new Runnable()).start();//new Thread(new FutureTask<>( Callable)).start();MyThread myThread = new MyThread();FutureTask futureTask = new FutureTask(myThread);new Thread(futureTask,"A").start();new Thread(futureTask,"B").start(); //这两个线程只输出了一个call,结果会被缓存,效率高Integer o = (Integer)futureTask.get(); //这个get方法可能会被阻塞,如果在cal1方法中是一个耗时的方法,所以一般情况我们会把这个放在最后,或者使用异步通信System.out.println(o);}
}class MyThread implements Callable<Integer>{@Overridepublic Integer call() throws Exception {System.out.println("call");return 1024;}
}
11.常用的辅助类
11.1 CountDownLatch

- 其实就是一个减法计数器,对于计数器归零之后再进行后面的操作,这是一个计数器!
package com.wlw.add;import java.util.concurrent.CountDownLatch;//减法计数器
//有必须要在一些任务完成之后才能执行的任务(注意顺序),再使用这个类
public class CountDownLatchDemo {public static void main(String[] args) throws InterruptedException {/*** 案例: 教室里有6个学生,只有当6个学生全都走了,才能关门*/CountDownLatch countDownLatch = new CountDownLatch(6); //总数为6for (int i = 1; i <= 6; i++) {new Thread(()->{System.out.println(Thread.currentThread().getName()+"GO OUT");countDownLatch.countDown(); // 执行-1 (学生出去)},String.valueOf(i)).start();}countDownLatch.await(); //等待计数器归零,然后再往下走 (等待6个学生全都走了,再执关门,如果没这一句关门这个操作可能会在任意时候执行)System.out.println("Close Door");}
}
- 原理:
- countDownLatch. countDown(); 数量-1
- countDownLatch. await(); /等待计数器归零,然后再向下执行
- 每次有线程调用countDown()数量-1 ,假设计数器变为0 , countDownLatch.await()就会被唤醒,继续执行!
11.2 CyclicBarrier

- 加法计数器
package com.wlw.add;import java.util.concurrent.BrokenBarrierException;
import java.util.concurrent.CyclicBarrier;//加法计数器
public class CyclicBarrierDemo {public static void main(String[] args) {/*** 案例:集齐7颗龙珠,召唤神龙*///设定计数器要累计的条件,还有达到条件后要执行的任务CyclicBarrier cyclicBarrier = new CyclicBarrier(7, new Runnable() {@Overridepublic void run() {System.out.println("召唤神龙,噢噢噢噢哦哦哦~~~~~~");}});for (int i = 1; i <= 7; i++) {final int temp = i;new Thread(()->{System.out.println(Thread.currentThread().getName()+"收集了第"+temp+"颗龙珠");try {cyclicBarrier.await(); // 等待计数器达到设定的条件,再执行后续操作 (即等待收集7颗龙珠后,才能召唤神龙)} catch (InterruptedException e) {e.printStackTrace();} catch (BrokenBarrierException e) {e.printStackTrace();}}).start();}}
}
11.3 Semaphore

- Semaphore:信号量
package com.wlw.add;import java.util.concurrent.Semaphore;
import java.util.concurrent.TimeUnit;public class SemaphoreDemo {public static void main(String[] args) {//案例:6辆车,只有3个车位 , Semaphore来定义线程数量(可用于限流)Semaphore semaphore = new Semaphore(3);for (int i = 1; i <= 6; i++) {new Thread(()->{try {semaphore.acquire();//获取一个许可证 (抢到一个车位)System.out.println(Thread.currentThread().getName()+"抢到车位");TimeUnit.SECONDS.sleep(2);System.out.println(Thread.currentThread().getName()+"离开车位");} catch (InterruptedException e) {e.printStackTrace();}finally {semaphore.release();//释放许可证 (离开了 车位就要被释放)}},String.valueOf(i)).start();}}
}
-
原理:
- semaphore.acquire()获得资源,如果资源已经使用完了,就等待资源释放后再进行使用!(信号量-1)
- semaphore.release()释放,会将当前的信号量释放+1,然后唤醒等待的线程!
-
作用: 多个共享资源互斥的使用! 并发限流,控制最大的线程数!
12.读写锁ReadWritelock
此部分可以参考https://blog.csdn.net/wang_luwei/article/details/107490047
-
ReadWriteLock它只是一个接口, ReentrantReadWriteLock是ReadWriteLock的实现类
-
互斥规则:
- ReadwriteLock
读-读 可以共存!
读-写 不能共存!
写-写 不能共存! - 独占锁(写锁) 一次只能被一个线程占有
- 共享锁(读锁) 多个线程可以同时占有
- ReadwriteLock
-
ReentrantReadWriteLock 中有两个方法:
- writeLock() 获取到写锁 (writeLock()方法返回用于写入操作的锁。类型是ReentrantReadWriteLock.WriteLock,它实现了Lock接口)
- readLock() 获取到读锁 (readLock()方法返回用于读取操作的锁。类型是ReentrantReadWriteLock.ReadLock,它实现了Lock接口)
-
Lock也是一个接口,它的实现类有ReentrantLock(最常用), ReentrantReadWriteLock.ReadLock, ReentrantReadWriteLock.WriteLock

package com.wlw.rw;import java.util.HashMap;
import java.util.Map;
import java.util.concurrent.locks.Lock;
import java.util.concurrent.locks.ReadWriteLock;
import java.util.concurrent.locks.ReentrantLock;
import java.util.concurrent.locks.ReentrantReadWriteLock;public class ReadWriteLockDemo {public static void main(String[] args) {//MyCache myCache = new MyCache();MyCacheReadWriteLock myCache = new MyCacheReadWriteLock();//多个线程写入for (int i = 1; i <= 5; i++) {final int temp = i;new Thread(()->{myCache.put(temp+"",temp+"");}).start();}//多个线程读取for (int i = 1; i <= 5; i++) {final int temp = i;new Thread(()->{myCache.get(temp+"");}).start();}}
}//我们想要实现 写入的时候只能一个线程同时写入,读取可以线程同时读取
//我们也可以采用synchronized这种重量锁和轻量锁 lock去保证数据的可靠。
//但是这次我们采用更细粒度的锁:ReadWriteLock 读写锁来保证
class MyCacheReadWriteLock {//读写锁 ReadWriteLock它只是一个接口, ReentrantReadWriteLock是ReadWriteLock的实现类private ReadWriteLock readWriteLock = new ReentrantReadWriteLock();private Lock lock = new ReentrantLock(); //这只是一个普通的锁private volatile Map<String,String> map=new HashMap<>();//写入 (这是一个原子操作)只希望同时只有一个线程写public void put(String key,String value){// readWriteLock.writeLock() 获取到写锁 (writeLock()方法返回用于写入操作的锁。类型是ReentrantReadWriteLock.WriteLock,它实现了Lock接口)//lock() 上锁readWriteLock.writeLock().lock();try {//写入System.out.println(Thread.currentThread().getName()+" 线程 开始写入");map.put(key, value);System.out.println(Thread.currentThread().getName()+" 线程 写入OK");}catch (Exception e){e.printStackTrace();}finally {readWriteLock.writeLock().unlock(); //解锁}}//读取,所有都可以读public void get(String key) {// readWriteLock.readLock() 获取到读锁 (readLock()方法返回用于读取操作的锁。类型是ReentrantReadWriteLock.ReadLock,它实现了Lock接口)readWriteLock.readLock().lock(); //上锁try {//获取System.out.println(Thread.currentThread().getName() + " 线程 开始读取");String o = map.get(key);System.out.println(Thread.currentThread().getName() + " 线程 读取OK");} catch (Exception e) {e.printStackTrace();} finally {readWriteLock.readLock().unlock();//解锁}}}//不加锁 ,多线程的读写会造成数据不可靠的问题。
class MyCache{private volatile Map<String,String> map=new HashMap<>();public void put(String key,String value){//写入System.out.println(Thread.currentThread().getName()+" 线程 开始写入");map.put(key, value);System.out.println(Thread.currentThread().getName()+" 线程 写入OK");}public void get(String key){//获取System.out.println(Thread.currentThread().getName()+" 线程 开始读取");String o = map.get(key);System.out.println(Thread.currentThread().getName()+" 线程 读取OK");}
}
13.线程池
此部分可以参考https://blog.csdn.net/wang_luwei/article/details/107490047
-
线程池:三大方法、7大参数、4种拒绝策略
-
池化技术
- 程序的运行,本质:占用系统的资源!我们需要去优化资源的使用 ===> 池化技术
- 线程池、JDBC的连接池、内存池、对象池 等等。。。。
- 资源的创建、销毁十分消耗资源
- 池化技术:事先准备好一些资源,如果有人要用,就来我这里拿,用完之后还给我,以此来提高效率。
-
线程池的好处:
- 1、降低资源的消耗;
- 2、提高响应的速度;
- 3、方便管理;
-
线程池的作用:线程复用、可以控制最大并发数、管理线程;
13.1三大方法
- ExecutorService threadPool = Executors.newSingleThreadExecutor();//单个线程
- ExecutorService threadPool2 = Executors.newFixedThreadPool(5); //创建一个固定的线程池的大小
- ExecutorService threadPool3 = Executors.newCachedThreadPool(); //可伸缩的
package com.wlw.pool;import java.util.concurrent.ExecutorService;
import java.util.concurrent.Executors;public class Demo01 {public static void main(String[] args) {//ExecutorService threadPool = Executors.newSingleThreadExecutor();//单个线程//ExecutorService threadPool = Executors.newFixedThreadPool(5);//创建一个固定大小的线程池ExecutorService threadPool = Executors.newCachedThreadPool(); //可伸缩的try {for (int i = 0; i < 20; i++) {//使用线程池来创建线程threadPool.execute(new Runnable() {@Overridepublic void run() {System.out.println(Thread.currentThread().getName()+"ok");}});}} catch (Exception e) {e.printStackTrace();} finally {//线程池用完必须要关闭线程池threadPool.shutdown();}}
}
13.2七大参数
- 源码分析
public static ExecutorService newSingleThreadExecutor() {return new FinalizableDelegatedExecutorService(new ThreadPoolExecutor(1, 1,0L, TimeUnit.MILLISECONDS,new LinkedBlockingQueue<Runnable>()));
}
public static ExecutorService newFixedThreadPool(int nThreads) {return new ThreadPoolExecutor(nThreads, nThreads,0L, TimeUnit.MILLISECONDS,new LinkedBlockingQueue<Runnable>());
}
public static ExecutorService newCachedThreadPool() {return new ThreadPoolExecutor(0, Integer.MAX_VALUE, //21亿60L, TimeUnit.SECONDS,new SynchronousQueue<Runnable>());
}
- 本质:三种方法都是开启的ThreadPoolExecutor
public ThreadPoolExecutor(int corePoolSize, //核心线程池大小int maximumPoolSize, //最大的线程池大小long keepAliveTime, //超时了没有人调用就会释放TimeUnit unit, //超时单位BlockingQueue<Runnable> workQueue, //阻塞队列ThreadFactory threadFactory, //线程工厂 创建线程的 一般不用动RejectedExecutionHandler handler //拒绝策略) {if (corePoolSize < 0 ||maximumPoolSize <= 0 ||maximumPoolSize < corePoolSize ||keepAliveTime < 0)throw new IllegalArgumentException();if (workQueue == null || threadFactory == null || handler == null)throw new NullPointerException();this.corePoolSize = corePoolSize;this.maximumPoolSize = maximumPoolSize;this.workQueue = workQueue;this.keepAliveTime = unit.toNanos(keepAliveTime);this.threadFactory = threadFactory;this.handler = handler;
}
- 阿里巴巴的Java操作手册中明确说明:对于Integer.MAX_VALUE初始值较大,所以一般情况我们要使用底层的ThreadPoolExecutor来创建线程池。

- 七个参数的说明
- 要说明的是当银行人满了的时候,就会执行拒绝策略,不再让顾客入内
- 非核心(Core)线程,如果超过设定的时间还没有被使用,就会关闭

13.3四种拒绝策略
- 这是七大参数中最后一个参数:拒绝策略的类型

13.3.1 new ThreadPoolExecutor.AbortPolicy()
- 该拒绝策略为:整个线程池满了,还有线程进来,不处理这个想进来的线程,并抛出异常
- 而判断线程池满? 线程池的最大承载量为 :阻塞队列+最大的线程池大小 ,超过报java.util.concurrent.RejectedExecutionException
13.3.2 new ThreadPoolExecutor.CallerRunsPolicy()
- 该拒绝策略为:哪来的去哪里 ,让 main线程去进行处理多余的线程
13.3.3 new ThreadPoolExecutor.DiscardPolicy()
- 该拒绝策略为:队列满了,把多余的线程(任务)丢掉,不会抛出异常。
13.3.4 new ThreadPoolExecutor.DiscardOldestPolicy():
- 该拒绝策略为:队列满了,尝试去和最早的进程竞争,不会抛出异常
13.4手动创建线程池
package com.wlw.pool;import java.util.concurrent.*;public class Demo01 {public static void main(String[] args) {//ExecutorService threadPool = Executors.newSingleThreadExecutor();//单个线程//ExecutorService threadPool = Executors.newFixedThreadPool(5);//创建一个固定大小的线程池//ExecutorService threadPool = Executors.newCachedThreadPool(); //可伸缩的ExecutorService threadPool = new ThreadPoolExecutor(2,5,3,TimeUnit.SECONDS,new LinkedBlockingQueue<>(3),Executors.defaultThreadFactory(),new ThreadPoolExecutor.AbortPolicy()); //该拒绝策略为:银行满了,还有人进来,不处理这个人的,并抛出异常//该线程池最大承载量为: maximumPoolSize + BlockingQueue = 5+3 = 8try {for (int i = 0; i < 8; i++) {//使用线程池来创建线程threadPool.execute(new Runnable() {@Overridepublic void run() {System.out.println(Thread.currentThread().getName()+"==>ok");}});}} catch (Exception e) {e.printStackTrace();} finally {//线程池用完必须要关闭线程池threadPool.shutdown();}}
}
13.5小结和拓展(CPU密集型和IO密集型!)
-
如何去设置线程池的最大大小( maximumPoolSize)如何去设置?
-
利用CPU密集型和IO密集型!:
- CPU密集型:电脑的核数是几核就选择几;这个大小就是maximunPoolSize的大小
- Runtime.getRuntime().availableProcessors() 获取cpu的核数
- I/O密集型:在程序中有15个大型任务,io十分占用资源;I/O密集型就是判断我们程序中十分耗I/O的线程数量,然后将maximunPoolSize设置成大约是最大I/O数的一倍到两倍之间。
- CPU密集型:电脑的核数是几核就选择几;这个大小就是maximunPoolSize的大小
package com.wlw.pool;
import java.util.concurrent.*;public class Demo01 {public static void main(String[] args) {ExecutorService threadPool = new ThreadPoolExecutor(2,Runtime.getRuntime().availableProcessors(),3,TimeUnit.SECONDS,new LinkedBlockingQueue<>(3),Executors.defaultThreadFactory(),new ThreadPoolExecutor.AbortPolicy()); //该拒绝策略为:银行满了,还有人进来,不处理这个人的,并抛出异常//该线程池最大承载量为: maximumPoolSize + BlockingQueue = 5+3 = 8try {for (int i = 0; i < 8; i++) {//使用线程池来创建线程threadPool.execute(new Runnable() {@Overridepublic void run() {System.out.println(Thread.currentThread().getName()+"==>ok");}});}} catch (Exception e) {e.printStackTrace();} finally {//线程池用完必须要关闭线程池threadPool.shutdown();}}
}
14 .四大函数式接口(必需掌握)
可参考 https://blog.csdn.net/wang_luwei/article/details/107600028
https://blog.csdn.net/wang_luwei/article/details/107600001
新时代的程序员:lambda表达式、链式编程、函数式接口、Stream流式计算
-
函数式接口:只有一个方法的接口,例如
@FunctionalInterface public interface Runnable {public abstract void run(); }//Java中 超级多的@FunctionalInterface //简化编程模型,在新版本的框架底层大量应用 //foreach()的参数也是一个函数式接口,消费者类的函数式接口
| 函数式接口 | 参数类型 | 返回类型 | 说明 |
|---|---|---|---|
| Consumer 消费型接口 | T | void | void accept(T t); 对类型为T的对象应用操作 |
| Supplier 供给型接口 | 无 | T | T get(); 返回类型为T的对象 |
| Function | T | R | R apply(T t); 对类型为T的对象应用操作,并返回类型为R类型的对象。 |
| Predicate 断言型接口 | T | boolean | boolean test(T t); 确定类型为T的对象是否满足条件,并返回boolean类型。 |
14.1 Function 函数型接口

package com.wlw.function;import java.util.function.Function;
//Function函数型接口,有一个输入参数,有一个方法返回值类型
public class Demo1 {public static void main(String[] args) {/*Function function = new Function() {@Overridepublic String apply(String s) {return s;}};*/ //lambada表达式简化Function<String,String> function = (s)->{return s;};System.out.println(function.apply("abc"));}
}
14.2Predicate断言型接口

package com.wlw.function;import com.sun.xml.internal.ws.api.model.wsdl.WSDLOutput;
import org.w3c.dom.ls.LSOutput;import java.util.function.Predicate;
// 断定型接口:有一个输入参数,返回值只能是布尔值!
public class Demo02 {public static void main(String[] args) {//判断字符串是否为空
/*Predicate predicate = new Predicate() {@Overridepublic boolean test(String s) {return s.isEmpty();}};
*/ Predicate<String> predicate = (s)->{return s.isEmpty();};System.out.println(predicate.test(""));}
}
14.3Consummer 消费型接口

package com.wlw.function;import java.util.function.Consumer;
//消费型接口:只有输入,没有返回值
public class Demo03 {public static void main(String[] args) {/* Consumer consumer = new Consumer() {@Overridepublic void accept(String o) {System.out.println(o);}};*/ Consumer<String> consumer = (o)->{ System.out.println(o);};consumer.accept("asda");}
}
14.4Supplier供给型接口

package com.wlw.function;import java.util.function.Supplier;
// 供给型接口, 没有参数,只有返回值
public class Demo04 {public static void main(String[] args) {/*Supplier supplier = new Supplier() {@Overridepublic Integer get() {return 1024;}};*/ Supplier supplier = ()->{return 1024;};System.out.println(supplier.get());}
}
15.Stream流式计算
可参考https://blog.csdn.net/wang_luwei/article/details/107600053
https://blog.csdn.net/wang_luwei/article/details/107600041
- 什么是Stream流式计算?
- 存储+计算!
- 存储:集合、MySQL
- 计算:流式计算~
package com.wlw.stream;
import lombok.AllArgsConstructor;
import lombok.Data;
import lombok.NoArgsConstructor;@Data
@AllArgsConstructor
@NoArgsConstructor
public class User {private int id;private String name;private int age;
}
package com.wlw.stream;import java.util.Arrays;
import java.util.List;
/**题目要求:一分钟内完成此题,只能用一行代码实现 !* 现在有5个用户!筛选:* 1、ID必须是偶数* 2.年龄必须大于23岁* 3、用户名转为大写字母* 4.用户名字创者排序* 5、只输出一个用户!*/
public class Test {public static void main(String[] args) {User user1 = new User(1,"a",21);User user2 = new User(2,"b",22);User user3 = new User(3,"c",23);User user4 = new User(4,"d",24);User user5 = new User(5,"e",25);User user6 = new User(6,"f",26);//集合就是存储List<User> list = Arrays.asList(user1, user2, user3, user4, user5, user6);//计算交给Stream流//链式编程list.stream().filter((user)->{return user.getId()%2==0;}).filter((user)->{return user.getAge()>23;}).map((user)->{return user.getName().toUpperCase();}).sorted((u1,u2)->{return u2.compareTo(u1);}).limit(1).forEach(System.out::println);//.forEach((user)->{System.out.println(user);});}
}
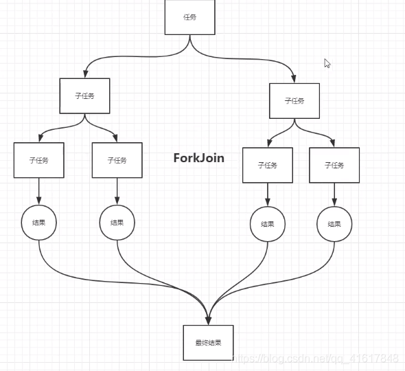
16.ForkJoin
-
什么是ForkJoin? (分支合并)
- ForkJoin 在JDK1.7,并行执行任务!提高效率~。在大数据量速率会更快!
- 大数据中:MapReduce 核心思想->把大任务拆分为小任务!

-
ForkJoin 的特点:工作窃取!
-
实现原理是:双端队列!从上面和下面都可以去拿到任务进行执行!

-
16.1如何使用ForkJoin?
-
通过ForkJoinPool来执行
-
计算任务forkjoinPool. execute(ForkJoinTask task)

package com.wlw.forkjoin;import java.util.concurrent.RecursiveTask;public class ForkJoinDemo extends RecursiveTask<Long> {private Long start;private Long end;//临界值private Long temp = 10000L;public ForkJoinDemo(Long start, Long end) {this.start = start;this.end = end;}//计算方法@Overrideprotected Long compute() {if((end - start) < temp){Long sum = 0L;for (Long i = start;i <= end ; i++){sum = sum + i;}return sum;}else {//使用forkjoin 分而治之 计算Long middle = (start+end)/2;//拆分任务,把线程任务压入线程队列ForkJoinDemo forkJoinDemoTask1 = new ForkJoinDemo(start, middle);forkJoinDemoTask1.fork();//拆分任务,把线程任务压入线程队列ForkJoinDemo forkJoinDemoTask2 = new ForkJoinDemo(middle+1, end);forkJoinDemoTask2.fork();//获取结果Long sum = forkJoinDemoTask1.join() + forkJoinDemoTask2.join();return sum;}}
}
package com.wlw.forkjoin;import java.util.OptionalLong;
import java.util.concurrent.ExecutionException;
import java.util.concurrent.ForkJoinPool;
import java.util.concurrent.ForkJoinTask;
import java.util.stream.LongStream;public class Test {public static void main(String[] args) throws ExecutionException, InterruptedException {//test1(); //sum=500000000500000000,时间:8598//test2(); //sum=500000000500000000,时间:4835test3(); //sum=500000000500000000时间:512}public static void test1(){Long start = System.currentTimeMillis();Long sum = 0L;for (Long i = 0L;i <= 10_0000_0000L; i++){sum = sum + i;}Long end = System.currentTimeMillis();System.out.println("sum="+sum+",时间:"+(end-start));}public static void test2() throws ExecutionException, InterruptedException {Long start = System.currentTimeMillis();ForkJoinPool forkJoinPool = new ForkJoinPool();ForkJoinDemo forkJoinDemoTask = new ForkJoinDemo(0L,10_0000_0000L);ForkJoinTask<Long> submit = forkJoinPool.submit(forkJoinDemoTask);Long aLong = submit.get();Long end = System.currentTimeMillis();System.out.println("sum="+aLong+",时间:"+(end-start));}public static void test3(){Long start = System.currentTimeMillis();//使用StreamLong sum = LongStream.rangeClosed(0L, 10_0000_0000L).parallel().reduce(0,(x,y)->{return x+y;});Long end = System.currentTimeMillis();System.out.println("sum="+sum+"时间:"+(end-start));}
}
17.异步回调
-
Future 设计的初衷:对将来的某个事件结果进行建模!
-
异步回调,我们可以想到 ajax(前端 --> 发送ajax异步请求给后端)
-
看一下jdk文档

17.1没有返回值的 runAsync() 异步回调
package com.wlw.future;import java.util.concurrent.CompletableFuture;
import java.util.concurrent.ExecutionException;
import java.util.concurrent.TimeUnit;/***异步调用: CompletableFuture* 异步执行.* 成功回调* 失败回调*/public class Demo01 {public static void main(String[] args) throws ExecutionException, InterruptedException {//发送一个请求,采用的是无返回值的 runAsync() 异步回调CompletableFuture<Void> completableFuture = CompletableFuture.runAsync(()->{try {TimeUnit.SECONDS.sleep(2);} catch (InterruptedException e) {e.printStackTrace();}System.out.println(Thread.currentThread().getName()+"==>runAsync 无返回值的异步回调 void");});System.out.println("1111111111111111");completableFuture.get(); //阻塞 的获取等待结果 ,它会等待发送请求之后的执行结果,但是并不影响其他代码的执行}
}
17.1有返回值的supplyAsync() 异步回调
package com.wlw.future;import java.util.concurrent.CompletableFuture;
import java.util.concurrent.ExecutionException;public class Demo02 {public static void main(String[] args) throws ExecutionException, InterruptedException {//有返回值的supplyAsync() 异步回调//分为成功和失败的回调CompletableFuture<Integer> completableFuture = CompletableFuture.supplyAsync(()->{System.out.println(Thread.currentThread().getName()+"==>supplyAsync 有返回值的异步回调 Integer");int a = 10/0;return 1024;});System.out.println(completableFuture.whenComplete((t, u) -> {System.out.println("t==>" + t); //成功回调,得到的正常的返回结果System.out.println("u==>" + u); // 抛出异常的 输出的错误信息 u==>java.util.concurrent.CompletionException: java.lang.ArithmeticException: / by zero}).exceptionally((e) -> {System.out.println(e.getMessage());return 233; //获取到错误的返回结果}).get());}
}
18.JMM
- JMM (java memory model) 即为JAVA 内存模型 ,不存在的东西,是一个概念,也是一个约定!
- 关于JMM的一些同步的约定:
- 1、线程解锁前,必须把共享变量立刻刷回主存;
- 2、线程加锁前,必须读取主存中的最新值到工作内存中;
- 3、加锁和解锁是同一把锁;
18.1什么是JMM
- JMM即为JAVA 内存模型(java memory model)。因为在不同的硬件生产商和不同的操作系统下,内存的访问逻辑有一定的差异,结果就是当你的代码在某个系统环境下运行良好,并且线程安全,但是换了个系统就出现各种问题。Java内存模型,就是为了屏蔽系统和硬件的差异,让一套代码在不同平台下能到达相同的访问结果。JMM从java 5开始的JSR-133发布后,已经成熟和完善起来。
18.2内存划分
- JMM规定了内存主要划分为主内存和工作内存两种。此处的主内存和工作内存跟JVM内存划分(堆、栈、方法区)是在不同的层次上进行的,如果非要对应起来,主内存对应的是Java堆中的对象实例部分,工作内存对应的是栈中的部分区域,从更底层的来说,主内存对应的是硬件的物理内存,工作内存对应的是寄存器和高速缓存。

- JVM在设计时候考虑到,如果JAVA线程每次读取和写入变量都直接操作主内存,对性能影响比较大,所以每条线程拥有各自的工作内存,工作内存中的变量是主内存中的一份拷贝,线程对变量的读取和写入,直接在工作内存中操作,而不能直接去操作主内存中的变量。但是这样就会出现一个问题,当一个线程修改了自己工作内存中变量,对其他线程是不可见的,会导致线程不安全的问题。因为JMM制定了一套标准来保证开发者在编写多线程程序的时候,能够控制什么时候内存会被同步给其他线程。

遇到问题:程序不知道主存中的值已经被修改过了!;
18.3内存交互操作
- 内存交互操作有8种,虚拟机实现必须保证每一个操作都是原子的,不可在分的(对于double和long类型的变量来说,load、store、read和write操作在某些平台上允许例外)
- lock(锁定):作用于主内存的变量,把一个变量标识为线程独占状态
- unlock(解锁):作用于主内存的变量,它把一个处于锁定状态的变量释放出来,释放后的变量才可以被其他线程锁定
- read(读取):作用于主内存变量,它把一个变量的值从主内存传输到线程的工作内存中,以便随后的load动作使用
- load(载入):作用于工作内存的变量,它把read操作从主存中变量放入工作内存中
- use(使用):作用于工作内存中的变量,它把工作内存中的变量传输给执行引擎,每当虚拟机遇到一个需要使用到变量的值,就会使用到这个指令
- assign(赋值):作用于工作内存中的变量,它把一个从执行引擎中接受到的值放入工作内存的变量副本中
- store(存储):作用于主内存中的变量,它把一个从工作内存中一个变量的值传送到主内存中,以便后续的write使用
- write(写入):作用于主内存中的变量,它把store操作从工作内存中得到的变量的值放入主内存的变量中
- JMM对这八种指令的使用,制定了如下规则:
- 不允许read和load、store和write操作之一单独出现。即使用了read必须load,使用了store必须write
- 不允许线程丢弃他最近的assign操作,即工作变量的数据改变了之后,必须告知主存
- 不允许一个线程将没有assign的数据从工作内存同步回主内存
- 一个新的变量必须在主内存中诞生,不允许工作内存直接使用一个未被初始化的变量。就是怼变量实施use、store操作之前,必须经过assign和load操作
- 一个变量同一时间只有一个线程能对其进行lock。多次lock后,必须执行相同次数的unlock才能解锁
- 如果对一个变量进行lock操作,会清空所有工作内存中此变量的值,在执行引擎使用这个变量前,必须重新load或assign操作初始化变量的值
- 如果一个变量没有被lock,就不能对其进行unlock操作。也不能unlock一个被其他线程锁住的变量
- 对一个变量进行unlock操作之前,必须把此变量同步回主内存
19.Volatile
-
Volatile 是 Java 虚拟机提供 轻量级的同步机制,他的三大特性:
- 1、保证可见性 (这就要涉及JMM)
- 2、不保证原子性
- 3、禁止指令重排
-
下面我们来验证三个特性
19.1 验证 保证可见性
package com.wlw.Test_Volatile;
import java.util.concurrent.TimeUnit;public class JMMDemo {/*** 这个程序一共有两个线程: main线程 与 我们自己写的一个A线程* A线程中对变量num 进行判断,如果为0,就一直循环,而main线程中将num 赋值为1,此时我们没有对变量num加volatile关键字,A线程一直循环下去** 如果我们对变量num加volatile关键字,就保证了可见性:当main线程中对num进行修改,A线程可以看见修改后的值,进而进行相关操作*/private volatile static int num = 0;public static void main(String[] args) {new Thread(()->{while (num == 0){}},"A").start();try {TimeUnit.SECONDS.sleep(1);} catch (InterruptedException e) {e.printStackTrace();}num = 1;System.out.println(num);}
}
19.2 验证 不保证原子性
-
原子性:不可分割;
-
线程A在执行任务的时候,不能被打扰的,也不能被分割的,要么同时成功,要么同时失败。
package com.wlw.Test_Volatile;//volatile 不保证原子性/*** 一共20个线程,每个线程调用1000次add()方法,理论上num最后为20000* 但是多线程操作,会出现同一时刻多个线程对num进行操作(因为在字节码文件中num++ 这个操作被分为三步才执行完,不是原子操作),所以最后的值小于2万** ,加上volatile关键字之后,最后num结果依然小于20000,所以验证了 volatile 不保证原子性。* 但是如果我们对add()方法 加上synchronized 或者 lock锁,是一定可以保证结果为2万的,* 但是问题是如果不加lock和synchronized (更耗费资源) ,怎么样保证原子性?*/
public class VolatileDemo02 {private volatile static int num = 0;public static void add(){num++;}public static void main(String[] args) {// 一共20个线程,每个线程调用1000次add()方法,理论上num最后为20000for (int i = 1; i <= 20; i++) {new Thread(()->{for (int j = 1; j < 1000; j++) {add();}add();}).start();}while (Thread.activeCount() > 2){Thread.yield();}System.out.println(Thread.currentThread().getName() + "==>" + num);}
}
-
问题:如果我们对add()方法 加上synchronized 或者 lock锁,是一定可以保证结果为2万的,但是问题是如果不加lock和synchronized (更耗费资源) ,怎么样保证原子性?
-
解决:使用 java.util.concurrent.atomic(原子包) 包下的原子类
- 这些类的底层都直接和操作系统挂钩!是在内存中修改值。需要用到Unsafe类,而Unsafe类是一个很特殊的存在;(在21.CAS中介绍)

package com.wlw.Test_Volatile;//volatile 不保证原子性import java.util.concurrent.atomic.AtomicInteger;/*** 一共20个线程,每个线程调用1000次add()方法,理论上num最后为20000* 但是多线程操作,会出现同一时刻多个线程对num进行操作(因为在字节码文件中num++ 这个操作被分为三步才执行完,不是原子操作),所以最后的值小于2万* ,加上volatile关键字之后,最后num结果依然小于20000,所以 验证了 volatile 不保证原子性。* 但是如果我们对add()方法 加上synchronized 或者 lock锁,是一定可以保证结果为2万的,* 但是问题是如果不加lock和synchronized (更耗费资源) ,怎么样保证原子性?* 解决办法:使用 java.util.concurrent.atomic(原子包) 包下的原子类*/
public class VolatileDemo02 {//private static int num = 0;//使用原子类AtomicInteger 替换intprivate volatile static AtomicInteger num = new AtomicInteger();public static void add(){//num++;num.getAndIncrement();//原子类的加1操作 , 里面是调用的是native方法, 用的是底层的CAS(cpu的并发原语,效率极高)}public static void main(String[] args) {// 一共20个线程,每个线程调用1000次add()方法,理论上num最后为20000for (int i = 1; i <= 20; i++) {new Thread(()->{for (int j = 1; j < 1000; j++) {add();}add();}).start();}while (Thread.activeCount() > 2){Thread.yield();}System.out.println(Thread.currentThread().getName() + "==>" + num);}
}
19.3 验证 禁止指令重排
-
什么是指令重排?
- 我们写的程序,计算机并不是按照我们自己写的那样去执行的
- 源代码–>编译器优化重排–>指令并行也可能会重排–>内存系统也会重排–>执行
-
系统处理器在进行指令重排的时候,会考虑数据之间的依赖性!并不会随意地去排
int x=1; //1
int y=2; //2
x=x+5; //3
y=x*x; //4//我们期望的执行顺序是 1_2_3_4 指令重排后,可能执行的顺序会变成2134 1324
//可不可能是 4123? 不可能的
-
看一个例子:
可能造成的影响结果:前提:a b x y这四个值 默认都是0
| 线程A | 线程B |
|---|---|
| x=a | y=b |
| b=1 | a=2 |
我们期望的 正常的结果: x = 0; y =0;
| 线程A | 线程B |
|---|---|
| b=1 | a=2 |
| x=a | y=b |
可能在线程A中会出现,先执行b=1,然后再执行x=a;
在B线程中可能会出现,先执行a=2,然后执行y=b;
那么就有可能结果如下:x=2; y=1
-
volatile可以避免指令重排: 是因为volatile中会加一道内存的屏障,这个内存屏障可以保证在这个屏障中的指令顺序。
- 内存屏障,是CPU指令。作用:
- 1、保证特定的操作的执行顺序;
- 2、可以保证某些变量的内存可见性(利用这些特性,就可以保证volatile实现的可见性)

- 内存屏障,是CPU指令。作用:
19.4小结
- Volatile是可以保证可见性,不能保证原子性,由于内存屏障,可以保证避免指令重排的现象产生!
- Volatile 内存屏障在哪使用最多:在单例模式中使用最多(饿汉式,DCL懒汉式中用到了Volatile)
20.单例模式
- 单例模式最重要一点,构造方法私有
20.1 饿汉式
package com.wlw.single;
/*** 饿汉式* 类加载时创建,天生线程安全,但是 声明周期太长,浪费空间*/
public class Hungry {//饿汉式单例,类加载时就创建,如果有下面类似的代码,就会浪费空间private byte[] data1 = new byte[1024*1024];private byte[] data2 = new byte[1024*1024];private byte[] data3 = new byte[1024*1024];private byte[] data4 = new byte[1024*1024];private Hungry(){}private static final Hungry hungry = new Hungry();public static Hungry getInstance(){return hungry;}
}
20.1懒汉式
20.1.1普通懒汉式
package com.wlw.single;/*** 懒汉式单例* 使用时创建,声明周期短,节省空间 ,但线程不安全,(可通过同步方法与同步代码块来改善)*/
public class Lazy {private Lazy(){System.out.println(Thread.currentThread().getName()+"==> ok");}private static Lazy lazy ;//提供公共的获取方法,因为不是在类加载时就创建对象,因此存在线程安全问题,使用synchronized关键字保证线程安全,效率降低public static synchronized Lazy getInstance(){if(lazy == null){lazy = new Lazy();}return lazy;}//多线程操作,单例模式,就是只会有一个实例,而此时却有不定个,所以需要对getInstance方法加锁处理public static void main(String[] args) {for (int i = 0; i < 10; i++) {new Thread(()->{Lazy.getInstance();}).start();}}
}
20.1.2DCL懒汉式(双重检测锁模式)
package com.wlw.single;/*** 懒汉式单例* 使用时创建,声明周期短,节省空间 ,但线程不安全,(可通过同步方法与同步代码块来改善)*/
public class Lazy {private Lazy(){System.out.println(Thread.currentThread().getName()+"==> ok");}private volatile static Lazy lazy ;
/*//提供公共的获取方法,因为不是在类加载时就创建对象,因此存在线程安全问题,使用synchronized关键字保证线程安全,效率降低public static synchronized Lazy getInstance(){if(lazy == null){lazy = new Lazy();}return lazy;}*///双重检索锁模式的 懒汉式单例, DCL懒汉式//同样是在类加载时只提供一个引用,不会直接创建单例对象,不需要对整个方法进行同步,缩小了锁的范围,只有第一次会进入创建对象的方法,提高了效率public static Lazy getInstance(){if(lazy == null){ //这一句是为了提高执行效率,不用每次都判断锁synchronized (Lazy.class){ // 这个锁只有一个,因为Lazy.class只有一个if(lazy == null){lazy = new Lazy(); //new 操作不是一个原子操作/*** 1. 分配内存空间* 2、执行构造方法,初始化对象* 3、把这个对象指向这个空间** 我们希望是按照 123 走* 但是可能出现 按照 132* 假如线程A进来按照132走,走到3时,线程B进来发现已经有一个对象指向了一个空间,就认为此时lazy!=null,* 所以,B就会直接走 return lazy; 而此时线程A中的Lazy还没有完成构造,就会出错。* 这样的问题是有指令重排造成的,所以我们可以加上 Volatile 来禁止指令重排*/}}}return lazy;}//多线程操作,单例模式,就是只会有一个实例,而此时却有不定个,所以需要对getInstance方法加锁处理public static void main(String[] args) {for (int i = 0; i < 10; i++) {new Thread(()->{Lazy.getInstance();}).start();}}
}
20.1.3 静态内部类懒汉式
package com.wlw.single;//静态内部类懒汉式
//使用静态内部类解决了线程安全问题,并实现了延时加载
public class Holder {private Holder(){}//不会在外部类初始化时就直接加载,只有当调用了getInstance方法时才会静态加载,线程安全,final保证了在内存中只有一份private static class InnerClass{private static final Holder hodler = new Holder();}public static Holder getInstance(){return InnerClass.hodler;}
}
20.1.4枚举单例
- 以上的单例模式是不安全的,可以用反射来破坏


-
我们怎么解决呢?我们来看一下反射中的newInstance()方法 (枚举不能使用反射来破坏)

-
枚举单例
package com.wlw.single;import java.lang.reflect.Constructor;
import java.lang.reflect.InvocationTargetException;//enum 是什么? enum本身就是一个Class 类
//枚举方式实现单例模式
public enum EnumSingle {INSTANCE;public EnumSingle getInstance(){return INSTANCE;}
}class Test{public static void main(String[] args) throws IllegalAccessException, InstantiationException, NoSuchMethodException, InvocationTargetException {EnumSingle instance = EnumSingle.INSTANCE;Constructor<EnumSingle> declaredConstructors = EnumSingle.class.getDeclaredConstructor(null);//报错 Exception in thread "main" java.lang.NoSuchMethodException: com.wlw.single.EnumSingle.() 没有空参方法 //如果我们看idea 编译后的文件:会发现idea骗了我们,居然告诉我们是有无参构造的,我们使用jad进行反编译。declaredConstructors.setAccessible(true); //破坏私有权限EnumSingle instance2 = declaredConstructors.newInstance();System.out.println(instance);System.out.println(instance2);}
}
-
如果我们看idea 编译后的文件:会发现idea骗了我们,居然告诉我们是有无参构造的,我们使用jad进行反编译。

package com.wlw.single;import java.lang.reflect.Constructor;
import java.lang.reflect.InvocationTargetException;//enum 是什么? enum本身就是一个Class 类
//枚举方式实现单例模式
public enum EnumSingle {INSTANCE;public EnumSingle getInstance(){return INSTANCE;}
}class Test{public static void main(String[] args) throws IllegalAccessException, InstantiationException, NoSuchMethodException, InvocationTargetException {EnumSingle instance = EnumSingle.INSTANCE;//Constructor declaredConstructors = EnumSingle.class.getDeclaredConstructor(null); //报错 Exception in thread "main" java.lang.NoSuchMethodException: com.wlw.single.EnumSingle.() 没有空参方法 //如果我们看idea 编译后的文件:会发现idea骗了我们,居然告诉我们是有无参构造的,我们使用jad进行反编译。//反编译之后,我们看见一个 有参构造 ,两个参数为 String ,int 类型Constructor<EnumSingle> declaredConstructors = EnumSingle.class.getDeclaredConstructor(String.class,int.class);// 此时报的错是:Exception in thread "main" java.lang.IllegalArgumentException: Cannot reflectively create enum objects// 提醒我们不能用反射破坏枚举declaredConstructors.setAccessible(true); //破坏私有权限EnumSingle instance2 = declaredConstructors.newInstance();System.out.println(instance);System.out.println(instance2);}
}
21.CAS
21.1java层面的CAS
-
CAS:Compare and Swap,即比较再交换。
-
jdk5增加了并发包java.util.concurrent.*,其下面的类使用CAS算法实现了区别于synchronouse同步锁的一种乐观锁。JDK 5之前Java语言是靠synchronized关键字保证同步的,这是一种独占锁,也是是悲观锁。
-
对CAS的理解,CAS是一种无锁算法,CAS有3个操作数,内存值V,旧的预期值A,要修改的新值B。当且仅当预期值A和内存值V相同时,将内存值V修改为B,否则什么都不做。
-
CAS比较与交换的伪代码可以表示为:
do{ 备份旧数据; 基于旧数据构造新数据; }while(!CAS( 内存地址,备份的旧数据,新数据 )) -
CAS(比较并交换)是CPU指令级的操作,只有一步原子操作,所以非常快
package com.wlw.cas;import java.util.concurrent.atomic.AtomicInteger;public class CASDemo {//CAS :compareAndSet() 这个方法的缩写 比较并交换!public static void main(String[] args) {//原子类的底层运用了CASAtomicInteger atomicInteger = new AtomicInteger(2020);// public final boolean compareAndSet(int expect, int update)//如果我期望的值达到了,那么就更新,否则,就不更新,CAS是CPU的并发原语!System.out.println(atomicInteger.compareAndSet(2020, 2021)); //trueSystem.out.println(atomicInteger.get()); //2021 ,atomicInteger的值更新到了2021System.out.println(atomicInteger.compareAndSet(2020, 2021)); //falseSystem.out.println(atomicInteger.get()); //2021,此时atomicInteger的值是2021,不更新}
}
- 我们来看一下compareAndSet() 方法的源码 (AtomicInteger.java文件中)
public final boolean compareAndSet(int expect, int update) {return unsafe.compareAndSwapInt(this, valueOffset, expect, update);
}
- 再往里走,看一下 unsafe.compareAndSwapInt() 方法 (这是底层的CAS ,Unsafe.class中 )
public final native boolean compareAndSwapInt(Object var1, long var2, int var4, int var5);
21.2unsafe类
-
来理解一下在19.2提到的原子类中说到的 unsafe 类
-
AtomicInteger中有个执行+1操作的方法 getAndIncrement() ,它的源码如下:
public final int getAndIncrement() {return unsafe.getAndAddInt(this, valueOffset, 1);
}
- 这里有一个unsafe ,ctrl+左键,点击一下,到 AtomicInteger.java文件中

-
然后我们看一下unsafe.getAndAddInt(this, valueOffset, 1); 这个方法 (点一下到的是C:\Program Files\Java\jdk1.8.0_144\jre\lib\rt.jar!\sun\misc\Unsafe.class中)
-
this就是当前对象赋值给var1,valueoffset是内存地址偏移值赋值给var2,1就是要加的值赋值给var4,通过var1和var2获取当前对象在内存中的值赋值给var5,然后通过compareAndSwapInt (CAS比较并交换,这是一个用native修饰的方法)这个方法来判断当前对象的内存地址偏移值中对应的值如果还是var5 (我期望的值),就执行加1。
-
public final int getAndAddInt(Object var1, long var2, int var4) {int var5;do {var5 = this.getIntVolatile(var1, var2);} while(!this.compareAndSwapInt(var1, var2, var5, var5 + var4));return var5; }public final native boolean compareAndSwapLong(Object var1, long var2, long var4, long var6);
-

- 同时,对于Unsafe类中的getAndAddInt这个方法

21.3小结
-
CAS:比较当前工作内存中的值 和 主内存中的值,如果这个值是期望的,那么则执行操作!如果不是就一直循环,使用的是自旋锁。
-
CAS优点:自带原子性
-
CAS缺点:
- 由于使用了自旋锁,循环会耗时;
- 一次性只能保证一个共享变量的原子性;
- 它会存在ABA问题
-
说起CAS,就要提ABA问题(狸猫换太子)
22.原子引用解决ABA问题
22.1ABA问题
在CAS算法中,需要取出内存中某时刻的数据(由用户完成),在下一时刻比较并交换(CPU保证原子操作),这个时间差会导致数据的变化。 假设有以下顺序事件: > 1、线程1从内存位置V中取出A > 2、线程2从内存位置V中取出A > 3、线程2进行了写操作,将B写入内存位置V > 4、线程2将A再次写入内存位置V > 5、线程1进行CAS操作,发现V中仍然是A,交换成功
尽管线程1的CAS操作成功,但线程1并不知道内存位置V的数据发生过改变
-
线程1:期望值是1,要把1变成2;
-
而线程2:进行了两个操作:
- 1、对变量A,进行了cas操作,期望值是1,变成3
- 2、之后又进行了一次cas操作,期望是3,变成1
-
所以对于线程1来说,A的值还是1,所以就出现了问题,骗过了线程1;

public class casDemo {//CAS : compareAndSet 比较并交换public static void main(String[] args) {AtomicInteger atomicInteger = new AtomicInteger(2020);//boolean compareAndSet(int expect, int update)//期望值、更新值//如果实际值 和 我的期望值相同,那么就更新//如果实际值 和 我的期望值不同,那么就不更新//===================捣乱的线程=================System.out.println(atomicInteger.compareAndSet(2020, 2021));System.out.println(atomicInteger.get());System.out.println(atomicInteger.compareAndSet(2021, 2020));System.out.println(atomicInteger.get());//===================期望的线程=================System.out.println(atomicInteger.compareAndSet(2020, 2021));System.out.println(atomicInteger.get());}
}
22.2原子引用解决ABA问题
- 解决ABA问题,对应的思想:就是使用了 乐观锁
- java.util.concurrent.atomic 包下有个类 AtomicReference (原子引用类),它有带版本号的 原子操作!,在进行cas操作时,除了比较期望的值以外,还会比较期望的版本号,如果版本号不同,则修改失败
package com.wlw.cas;import java.util.concurrent.TimeUnit;
import java.util.concurrent.atomic.AtomicStampedReference;public class CASDemo02 {public static void main(String[] args) {AtomicStampedReference<Integer> atomicInteger = new AtomicStampedReference<Integer>(1,1);new Thread(()->{int stamp = atomicInteger.getStamp(); //获取版本号System.out.println("a1=>"+stamp);try {TimeUnit.SECONDS.sleep(1);} catch (InterruptedException e) {e.printStackTrace();}System.out.println(atomicInteger.compareAndSet(1, 2, atomicInteger.getStamp(), atomicInteger.getStamp() + 1));System.out.println("a2=>"+atomicInteger.getStamp());System.out.println(atomicInteger.compareAndSet(2, 1, atomicInteger.getStamp(), atomicInteger.getStamp() + 1));System.out.println("a3=>"+atomicInteger.getStamp());},"A").start();//乐观锁的原理new Thread(()->{int stamp = atomicInteger.getStamp(); //获取版本号System.out.println("b1=>"+stamp);try {TimeUnit.SECONDS.sleep(2);} catch (InterruptedException e) {e.printStackTrace();}System.out.println(atomicInteger.compareAndSet(1, 6,stamp, atomicInteger.getStamp() + 1)); //输出false,因为版本号不一致System.out.println("b2=>"+atomicInteger.getStamp());},"B").start();}
}
/*
a1=>1
b1=>1
true
a2=>2
true
a3=>3
false
b2=>3
*/
21.各种锁
21.1公平锁与非公平锁
- 公平锁:非常公平;不能插队的,必须先来后到;
- 非公平锁:非常不公平,允许插队的,可以改变顺序。(ReentrantLock 与 Synchronized 默认都是非公平锁)
/*** Creates an instance of {@code ReentrantLock}.* This is equivalent to using {@code ReentrantLock(false)}.*/
public ReentrantLock() {sync = new NonfairSync();
}/*** Creates an instance of {@code ReentrantLock} with the* given fairness policy.** @param fair {@code true} if this lock should use a fair ordering policy*/
public ReentrantLock(boolean fair) {sync = fair ? new FairSync() : new NonfairSync();
}
21.2可重入锁
- 可重入锁(递归锁)
- 什么是 “可重入”,可重入就是说某个线程已经获得某个锁,可以再次获取相同的锁而不会出现死锁。
- synchronized和ReentrantLock都是可重入的
- 使用ReentrantLock的注意点 : synchronized是自己释放锁的,ReentrantLock 和 synchronized 不一样,需要手动释放锁,所以使用 ReentrantLock的时候一定要手动释放锁,并且加锁次数和释放次数要一样 (否则就导致死锁)
- synchronized
package com.wlw.allLock;public class Demo01 {public static void main(String[] args) {Phone phone = new Phone();new Thread(()->{phone.send();},"A").start();new Thread(()->{phone.send();},"B").start();}
}
class Phone{public synchronized void send(){System.out.println(Thread.currentThread().getName()+"===》 send message");call();}public synchronized void call(){System.out.println(Thread.currentThread().getName()+"===》 call");}
}/*
A===》 send message
A===》 call
B===》 send message
B===》 call
*/
- ReentrantLock
package com.wlw.allLock;import java.util.concurrent.locks.Lock;
import java.util.concurrent.locks.ReentrantLock;public class Demo02{public static void main(String[] args) {Phone2 phone = new Phone2();new Thread(()->{phone.send();},"A").start();new Thread(()->{phone.send();},"B").start();}
}
class Phone2{Lock lock = new ReentrantLock();public void send(){lock.lock();try {System.out.println(Thread.currentThread().getName()+"===》 send message");call();}catch (Exception e){e.printStackTrace();}finally {lock.unlock();}}public void call(){lock.lock();try {System.out.println(Thread.currentThread().getName()+"===》 call");}catch (Exception e){e.printStackTrace();}finally {lock.unlock();}}
}
/*
A===》 send message
A===》 call
B===》 send message
B===》 call
*/
21.3自旋锁
-
spinlock自旋锁:不断的循环,不断的迭代,不断的尝试,知道成功为止
-
之前在原子类 (AtomicInteger.getAndIncrement->unsafe.getAndAddInt)中见过自旋锁
public final int getAndAddInt(Object var1, long var2, int var4) {int var5;do {var5 = this.getIntVolatile(var1, var2);} while(!this.compareAndSwapInt(var1, var2, var5, var5 + var4));return var5;
}
- 自己利用CAS写一个自旋锁
package com.wlw.allLock;import java.util.concurrent.atomic.AtomicReference;
//自旋锁
public class SpinLockDemo {AtomicReference atomicReference = new AtomicReference();//加锁public void mylock(){Thread thread = Thread.currentThread();System.out.println(Thread.currentThread().getName()+"===> mylock");//自旋锁 第一个线程执行mylock方法,不会进入循环,第二线程才会进入while (!atomicReference.compareAndSet(null,thread)){}}//解锁public void myunlock(){Thread thread = Thread.currentThread();System.out.println(Thread.currentThread().getName()+"===> myunlock");//设置为null,解锁atomicReference.compareAndSet(thread,null);}
}
package com.wlw.allLock;import java.util.concurrent.TimeUnit;//测试自旋锁
public class TestSpinLock {public static void main(String[] args) throws InterruptedException {SpinLockDemo spinLockDemo = new SpinLockDemo();new Thread(()->{spinLockDemo.mylock();try {TimeUnit.SECONDS.sleep(5);}catch (Exception e){e.printStackTrace();}finally {spinLockDemo.myunlock();}},"T1").start();TimeUnit.SECONDS.sleep(1);new Thread(()->{spinLockDemo.mylock();try {TimeUnit.SECONDS.sleep(5);}catch (Exception e){e.printStackTrace();}finally {spinLockDemo.myunlock();}},"T2").start();}
}
/*
T1===> mylock
T2===> mylock
T1===> myunlock
T2===> myunlock
T2进程必须等待T1进程Unlock后,才能Unlock,在这之前进行自旋等待。。。。
*/
21.4死锁
-
什么是死锁?
- 如果一组进程中的每一个进程都在等待仅有改组进程中的其他进程才能引发的事件,那么改组进程是死锁的
- 简单点来说,第一个线程拥有A对象锁标记,并等待B对象锁标记,同时第二个线程拥有B对象锁标记,并等待A对象锁标记时,产生死锁。(或者来说,两个进程都在等待对方释放持有的资源,而自己却不释放资源)

-
产生死锁的必要条件:
- 互斥条件:资源是互斥使用的
- 请求和保持条件:该线程保持自己持有的资源,去请求其他进程已经占有的资源
- 不可抢占条件:进程已获得的资源在未使用完之前不能被抢占
- 循环等待条件:发生死锁时,必然存在着一个 进程——资源 的循环链
package com.wlw.allLock;public class DeadLockDemo {public static void main(String[] args) {String lockA = "lockA";String lockB = "lockB";new Thread(new MyThread(lockA,lockB),"t1").start();new Thread(new MyThread(lockB,lockA),"t2").start();}
}class MyThread implements Runnable{private String lockA;private String lockB;public MyThread(String lockA, String lockB) {this.lockA = lockA;this.lockB = lockB;}@Overridepublic void run() {synchronized (lockA){System.out.println(Thread.currentThread().getName()+"持有"+lockA+",想要"+lockB);synchronized (lockB){System.out.println(Thread.currentThread().getName()+"持有"+lockB+",想要"+lockA);}}}
}
/*
t1持有lockA,想要lockB
t2持有lockB,想要lockA
程序就这样一直持续下去....................
*/
-
怎么解决死锁呢?
- 当我们发现程序出现死锁时,可以使用jdk中bin目录下有一个jps工具来定位死锁
-
1、使用jps定位进程号,命令 jps -l

-
2、使用
jstack进程号找到死锁信息
-
排查问题!:1、日志 , 2、堆栈信息
本文来自互联网用户投稿,文章观点仅代表作者本人,不代表本站立场,不承担相关法律责任。如若转载,请注明出处。 如若内容造成侵权/违法违规/事实不符,请点击【内容举报】进行投诉反馈!
