图自编码器的起源和应用
©PaperWeekly 原创 · 作者|刘昊东
学校|电子科技大学硕士生
研究方向|推荐系统,表示学习
Kipf 与 Welling 16 年发表的「Variational Graph Auto-Encoders」提出了基于图的(变分)自编码器 Variational Graph Auto-Encoder(VGAE),自此开始,图自编码器凭借其简洁的 encoder-decoder 结构和高效的 encode 能力,在很多领域都派上了用场。
本文将先详尽分析最早提出图自编码器的「Variational Graph Auto-Encoders」这篇论文,将从以下几个角度进行分析:
VGAE 的思想
没有变分阶段的 GAE 的 encoder、decoder 阶段
有变分阶段的 VGAE
如何从确定分布再到从分布中采样
实验效果分析
然后会再介绍两篇关于如何应用图自编码器的文章。
Variational Graph Auto-Encoders
论文标题:Variational Graph Auto-Encoders
论文来源:NIPS 2016
论文链接:https://arxiv.org/abs/1611.07308
1.1 论文概览
先简单描述一下图自编码器的 intention 和用途:获取合适的 embedding 来表示图中的节点不是容易的事,而如果能找到合适的 embedding,就能将它们用在其他任务中。VGAE 通过 encoder-decoder 的结构可以获取到图中节点的 embedding,来支持接下来的任务,如链接预测等。
VGAE 的思想和变分自编码器(VAE)很像:利用隐变量(latent variables),让模型学习出一些分布(distribution),再从这些分布中采样得到 latent representations(或者说 embedding),这个过程是 encode 阶段。
然后再利用得到的 latent representations 重构(reconstruct)出原始的图,这个过程是 decode 阶段。只不过,VGAE 的 encoder 使用了 GCN,decoder 是简单的内积(inner product)形式。
下面具体讲解变分图自编码器(VGAE)。先讲 GAE,即图自编码器(没有变分)。
1.2 图自编码器(GAE)
统一规范,规定几个 notation 如下:
图用 表示,其中 表示节点集合, 表示边集合
: 邻接矩阵
: 度矩阵
: 节点数
: 节点的特征(features)维度
表示节点的特征矩阵
: embedding 维度
: 节点的 embedding
1.2.1 Encoder
GAE 使用 GCN 作为 encoder,来得到节点的 latent representations(或者说 embedding),这个过程可用一行简短的公式表达:
将 GCN 视为一个函数,然后将 和 作为输入,输入到 GCN 这个函数中,输出 , 代表的就是所有节点的 latent representations,或者说 embedding。
如何定义 GCN 这个函数?kipf 在论文中定义如下:
其中,, 和 是待学习的参数。
简言之,这里 GCN 就相当于一个以节点特征和邻接矩阵为输入、以节点 embedding 为输出的函数,目的只是为了得到 embedding。
1.2.2 Decoder
GAE 采用 inner-product 作为 decoder 来重构(reconstruct)原始的图:
上式中, 就是重构(reconstruct)出来的邻接矩阵。
1.2.3 How to learn
一个好的 Z,就应该使重构出的邻接矩阵与原始的邻接矩阵尽可能的相似,因为邻接矩阵决定了图的结构。因此,GAE 在训练过程中,采用交叉熵作为损失函数:
上式中, 代表邻接矩阵 中某个元素的值(0 或 1), 代表重构的邻接矩阵 中相应元素的值(0 到 1 之间)。
从损失函数可以看出来,希望重构的邻接矩阵(或者说重构的图),与原始的邻接矩阵(或者说原始的图)越接近、越相似越好。
1.2.4 小结
图自编码器(GAE)的原理简明、清晰,训练起来不麻烦,因为可训练的参数只有 和 ,kipf 的代码实现中,这两个参数矩阵的维度分别是 和 ,如果 ,也只有 32512 个参数,相当少了。
下面是 VGAE(变分图自编码器)。
1.3 变分图自编码器(VGAE)
在 GAE 中,一旦 GCN 中的 和 确定了,那么 GCN 就是一个确定的函数,给定 和 ,输出的 就是确定的。
而在 VGAE 中, 不再由一个确定的函数得到,而是从一个(多维)高斯分布中采样得到,说得更明确些,就是先通过 GCN 确定一个(多维)高斯分布,再从这个分布中采样得到 。下面简单描述一下这个过程。
1.3.1 确定均值和方差
高斯分布可以唯一地由二阶矩确定。因此,想要确定一个高斯分布,只需要知道均值和方差。VGAE 利用 GCN 来分别计算均值和方差:
这里有两个要注意的地方,第一个是 GCN 的下标, 和 中的 是相同的、共享的,但 是不同的,因此用下标来作区分;第二个是通过 得到的是 ,这样可以方便后续的计算。
1.3.2 采样
既然已经得到了均值和方差(准确来说应该是均值向量和协方差矩阵),就可以通过采样得到 了,但是,采样操作无法提供梯度信息,也就是说,反向传播在采样操作无法计算梯度,也就无法更新 和 。解决办法是重参数化(reparameterization)。
简单说一下重参数化。如果 服从 ,那么 就服从 。因此,可以先从标准高斯中采样一个 ,再通过 计算出 ,这样一来, 的表达式清晰可见,梯度信息也就有了。
VGAE 的 decoder 也是一个简单的 inner-product,与 GAE 的 decoder 没有区别。
1.3.3 How to learn
VGAE 依然希望重构出的图和原始的图尽可能相似,除此之外,还希望 计算出的分布与标准高斯尽可能相似。因此损失函数由交叉熵和 KL 散度两部分构成:
其中, 是 GCN 计算出的分布, 是标准高斯。
不过,论文中的优化目标是这样的:
这是用变分下界写出的优化目标,第一项是期望,第二项是 KL 散度。
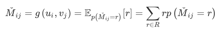
1.4 效果分析
Kipf 和 Welling 在三个数据集上进行了效果分析,任务是链接预测,详情见下表:
可见,(变分)图自编码器在三个数据集上的效果都很好,不过,注意带星号的 GAE* 和 VGAE*,这两个模型是不带 input features 的,就是说节点的 features 就是 one-hot 向量,这种情况下,(变分)图自编码器的效果不仅不比 SC 和 DW 好,甚至还有点差。
不过,Kipf 和 Welling 在论文中指出,SC 和 DW 不支持 input features,因此能够使用 input features 是 VGAE 的特点之一。
以上是对图自编码器的开山论文 Variational Graph Auto-Encoders 的介绍,接下来看看图自编码器在最近两年的一些应用。
Graph Convolution Matrix Completion
论文标题:Graph Convolution Matrix Completion
论文来源:KDD 2018
论文链接:https://www.kdd.org/kdd2018/files/deep-learning-day/DLDay18_paper_32.pdf
2.1 论文概览
这是 Kipf 作为二作的一篇解决推荐系统中 matrix completion 问题的文章,发表在 18 年的 KDD。
这篇文章提出,matrix completion 任务可以视作为 graph 上的链接预测问题,即 users 和 items 构成了一张二部图,图上的边代表相应的 user 与 item 进行了交互,于是 matrix completion 问题就变成了预测这张二部图上的边的问题。
为了解决 users-items 二部图上的链接预测问题,这篇文章提出了基于在二部图上进行 message passing 的图自编码器框架 GCMC,且引入了 side information,还分析了 side information 对于推荐系统中冷启动的影响。
2.2 模型详解
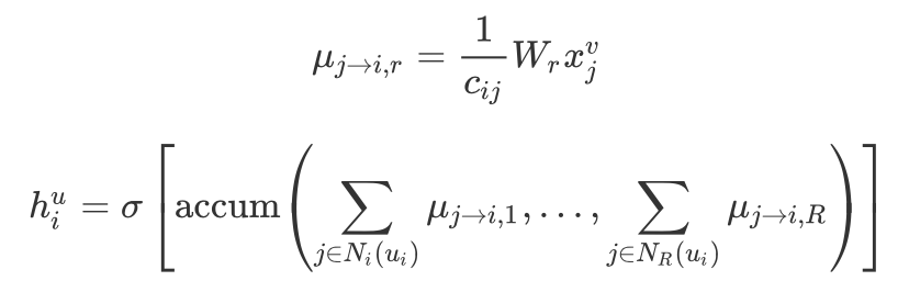
先简要分析一下 GCMC 的整体框架。首先,GCMC 把 users 和 items 的初始 features 和 (one-hot 向量)输入到一个 GCN 层中,得到 users 和 items 的 hidden representations: , ,再将 users 和 items 的 side information 和 输入到一个 Dense 层中,得到 side information 的 hidden representations: , 。
然后将初始 features 和 side information 的 hidden representations 一起输入到一个 Dense 层中,得到 users 和 items 最终的 embeddings: , (以上为 encoder 阶段),最后通过计算内积(decoder 阶段),预测 user 对 item 的喜好程度。
下面给出每一步的详细计算方法。
首先,GCN 层的计算方式如下:
其中, 是 item j 传递给 user i 的信息,下标 r 指定了 user i 给 item j 的评分是 r(由于用户的评分类别不止一种,因此使用不同的 r 来区分,即 )。
是参数矩阵, 是归一化因子,可以是 或者 ,其中 表示 user i 的邻居数。accum 也有两种选择:stack 或者 sum。 表示激活函数,可以是 sigmoid、ReLU 等。
得到了 user i 的初始 feature 的 hidden representation 后,再将 side information 的 hidden representation 与 一起输入进一个 Dense 层即可得到 user i 的最终 embedding:
其中,右式表示得到 side information 的 hidden representation 的 Dense 层,左式表示得到最终 embedding 的 Dense 层。
在得到 users 和 items 的 embeddings 后,通过下式来预测 user i 对 item j 的评分属于 r 的概率:
最终,GCMC 对 user i 对 item j 的评分的预测为:
2.3 效果分析
作者使用了 6 个数据集,可以分为 3 类:
对比的方法只利用 users 或 items 一方的 features:ml-100k
GCMC 和 对比的方法都不使用 side information:ml-1m,ml-10m
Users 和 items 的 side information 以 graph 的形式呈现:Flixster,Douban,YahooMusic
实验结果:
实验结果表明,在有 side information 时,GCMC 的效果好于其他方法,尤其是当 side information 以 graph 的形式存在时,GCMC 的效果优势更加明显。而当没有 side information 时,GCMC 也表现出了 competitive results。
作者还分析了 side information 对冷启动的影响,文中以 ml-100k 为例,将一些用户的评分数量人为减少,然后对比了 GCMC 分别在使用和不使用 side information 时的效果。
从上图可以看出,使用 side information 的 GCMC 效果更好,而且随着冷启动用户的人数增多,引入 side information 带来的效果提升更加明显。
2.4 小结
该篇论文将推荐系统中的 matrix completion 任务视作 graph 上的链接预测任务来处理,并使用图自编码器,引入 side information,在一些 benchmark 数据集上超过了一些 SOTA 方法,而且还分析了 side information 给冷启动带来的帮助。
GraphCAR
论文标题:GraphCAR: Content-aware Multimedia Recommendation with Graph Autoencoder
论文来源:SIGIR 2018
论文链接:https://dl.acm.org/doi/10.1145/3209978.3210117
3.1 论文概览
上一篇论文中,GCMC 的目标是解决 matrix completion 问题,即预测 user 对 item 的评分是多少。这篇文章要解决的问题可以归类为推荐系统中 top-n 推荐问题,即给用户推荐 n 个 ta 可能最感兴趣的 items。
这篇文章指出,用户在选择图片或者视频时,图片或视频本身的 multimedia content 是最重要的因素,但已有的一些方法没能对 multimedia content 给予足够的重视,
因此,基于 GAE 的思想,该文章提出了 GraphCAR 模型,除了 users 和 items 之间的交互数据,该模型还利用了 users 的 attributes 和 items 的 multimedia content。
3.2 模型详解
GraphCAR 的整体框架基本遵循着 GAE 的框架,即先使用 GCN 获取 users 和 items 的 embeddings,然后使用内积来预测 user 对 item 的偏好评分。
首先,在 GCN 阶段(即 encoder 阶段),为了获取 users 的 embedding,GCN 使用 user-item 的交互矩阵 和 users 的 attributes 矩阵 作为输入,然后输出 users 的 embeddings 矩阵 :
其中 是参数矩阵。对于 items 的 embeddings,只需要将 users attributes 矩阵换成 items 的 feature 矩阵 即可( 即为 multimedia content):
得到 embeddings 之后,便可利用内积形式的 decoder 计算出预测的 preferences: 。
由于 GraphCAR 要解决的是 top-n 推荐问题,因此目标函数选择了 BPR pairwise 目标,即:
和 GCMC 的不同之处在于,GraphCAR 直接对 users 和 items 的 interactions 和 side information 一起建模,而不是像 GCMC 中那样,先分别得到初始 features(one-hot 向量)和 side information 的 hidden representations,然后再得到最终的 embeddings。
对比下来,GraphCAR 的方式更直接,但貌似这种方法只能在有 users 和 items 的 side information 的情况下才能生效。
3.3 效果分析
论文在 Amazon 和 Vine 两个数据集上进行了实验,其中 Amazon 提供了 image features,Vine 提供了 video features。实验结果如下:
另外,作者还分析了 users 交互过的 items 的数量对 GraphCAR 的影响:
从图中可以看出,GraphCAR 对于交互数量较少的 users 的效果优势并不明显,而当 users 的交互数量增多时,效果优势开始慢慢明显起来。
3.4 小结
这篇论文要解决的问题是推荐系统中 top-n 推荐的问题,在分析发现以往的方法并没有充分利用 items 本身的 multimedia content 后,该论文采取了直接用 GCN 对 user-item interactions 和 side information 建模的方式来得到 embeddings,随之而来的问题是,如果不存在 users attributes 或 items multimedia content 可利用,GraphCAR 可能需要改变一些处理的方式。
总结
图自编码器最开始是以变分图自编码器的形式提出的,但近两年基本上都应用的是没有变分阶段的图自编码器。
GAE 的形式很简洁,首先通过 GCN 得到图中节点的 embeddings(encoder 阶段),然后再根据具体任务重构出原始的图的特点(decoder 阶段)。
从以上三篇文章可以看出,decoder 阶段都采取的是两层 GCN 结构,而 decoder 阶段都采取的是 inner-product 结构,可以看出,也许结构上还有改进的空间,而不是仅限于两层 GCN 或者简单的内积形式。
点击以下标题查看更多往期内容:
变分自编码器VAE:原来是这么一回事
图神经网络三剑客:GCN、GAT与GraphSAGE
深度学习预训练模型可解释性概览
ICLR 2020:从去噪自编码器到生成模型
#投 稿 通 道#
让你的论文被更多人看到
如何才能让更多的优质内容以更短路径到达读者群体,缩短读者寻找优质内容的成本呢?答案就是:你不认识的人。
总有一些你不认识的人,知道你想知道的东西。PaperWeekly 或许可以成为一座桥梁,促使不同背景、不同方向的学者和学术灵感相互碰撞,迸发出更多的可能性。
PaperWeekly 鼓励高校实验室或个人,在我们的平台上分享各类优质内容,可以是最新论文解读,也可以是学习心得或技术干货。我们的目的只有一个,让知识真正流动起来。
???? 来稿标准:
• 稿件确系个人原创作品,来稿需注明作者个人信息(姓名+学校/工作单位+学历/职位+研究方向)
• 如果文章并非首发,请在投稿时提醒并附上所有已发布链接
• PaperWeekly 默认每篇文章都是首发,均会添加“原创”标志
???? 投稿邮箱:
• 投稿邮箱:hr@paperweekly.site
• 所有文章配图,请单独在附件中发送
• 请留下即时联系方式(微信或手机),以便我们在编辑发布时和作者沟通
????
现在,在「知乎」也能找到我们了
进入知乎首页搜索「PaperWeekly」
点击「关注」订阅我们的专栏吧
关于PaperWeekly
PaperWeekly 是一个推荐、解读、讨论、报道人工智能前沿论文成果的学术平台。如果你研究或从事 AI 领域,欢迎在公众号后台点击「交流群」,小助手将把你带入 PaperWeekly 的交流群里。
本文来自互联网用户投稿,文章观点仅代表作者本人,不代表本站立场,不承担相关法律责任。如若转载,请注明出处。 如若内容造成侵权/违法违规/事实不符,请点击【内容举报】进行投诉反馈!
