学习人工智能day-1
高数复习!!
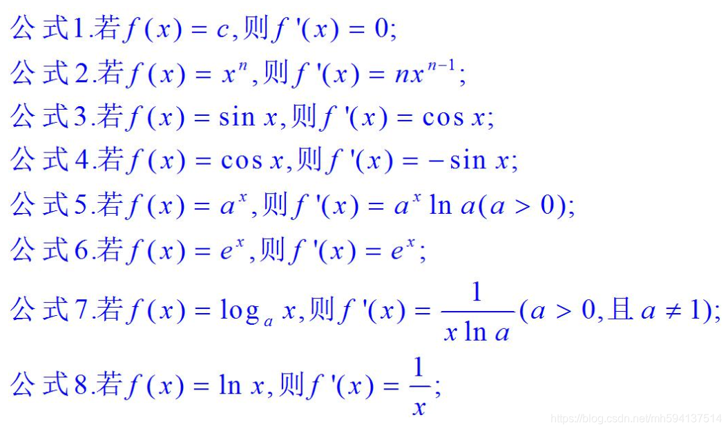
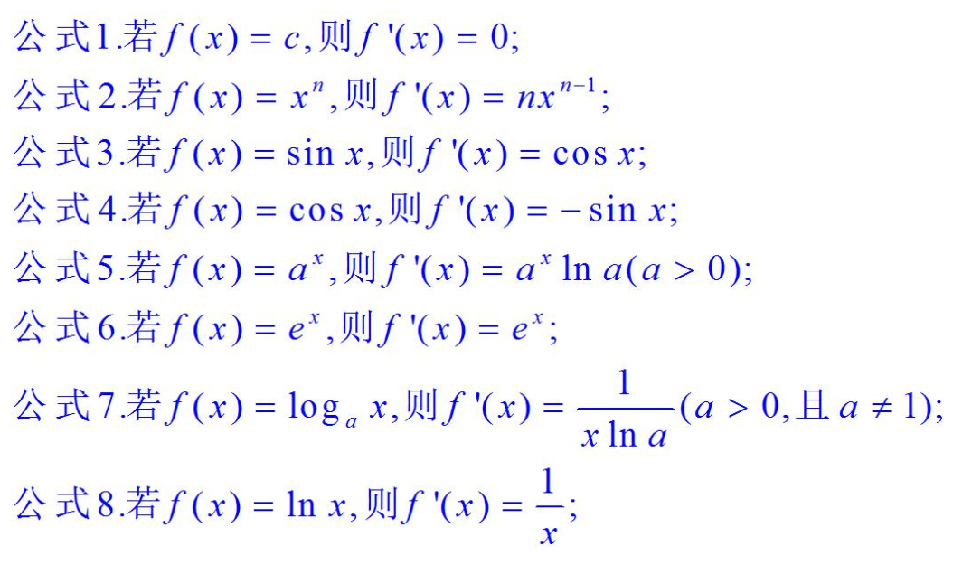
1.常用导数
2.导数运算法则,除法的记不住了!
3.多元复合函数求导

注意例题中,求出导数的零点并不意味着就是极小值点,F(X)的导数t'=t*(lnx+1),可以看出,t在x>0时始终大于0,导数在x=1/e左侧为负,右侧为正,所以零点就为极小值点。
4.方向导数

沿l方向的单位向量为e(cosα,cosβ)
在这里注意函数必须可微分!可微分的条件需要复习

三元的函数方向导数需要学习
5.向量
向量的内积(点乘)
定义
概括地说,向量的内积(点乘/数量积)。对两个向量执行点乘运算,就是对这两个向量对应位一一相乘之后求和的操作,如下所示,对于向量a和向量b:
a和b的点积公式为:
这里要求一维向量a和向量b的行列数相同。注意:点乘的结果是一个标量(数量而不是向量)
定义:两个向量a与b的内积为 a·b = |a||b|cos∠(a, b),特别地,0·a =a·0 = 0;若a,b是非零向量,则a与b****正交的充要条件是a·b = 0。
向量内积的性质:
- a^2 ≥ 0;当a^2 = 0时,必有a = 0. (正定性)
- a·b = b·a. (对称性)
- (λa + μb)·c = λa·c + μb·c,对任意实数λ, μ成立. (线性)
- cos∠(a,b) =a·b/(|a||b|).
- |a·b| ≤ |a||b|,等号只在a与b共线时成立.
向量内积的几何意义
内积(点乘)的几何意义包括:
- 表征或计算两个向量之间的夹角
- b向量在a向量方向上的投影
有公式:
推导过程如下,首先看一下向量组成:
定义向量c:
根据三角形余弦定理(这里a、b、c均为向量,下同)有:
根据关系c=a-b有:
即:
a∙b=|a||b|cos(θ)
向量a,b的长度都是可以计算的已知量,从而有a和b间的夹角θ:
θ=arccos(a∙b|a||b|)
进而可以进一步判断两个向量是否同一方向或正交(即垂直)等方向关系,具体对应关系为:
a∙b>0→方向基本相同,夹角在0°到90°之间
a∙b=0→ 正交,相互垂直
a∙b<0→ 方向基本相反,夹角在90°到180°之间
一个向量a在另一个向量b方向上的投影是:
这个投影表示的向量跟向量b是共线向量的数值大小,是一个标量,可以把它的数量乘上b方向的单位向量后变成b方向的向量:
注意,那个分式分子分母上的向量b不能约去。
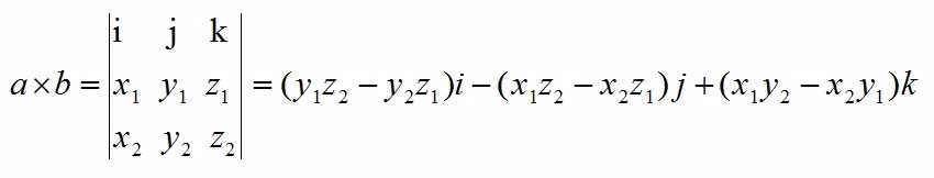
向量的外积(叉乘)
定义
概括地说,两个向量的外积,又叫叉乘、叉积向量积,其运算结果是一个向量而不是一个标量。并且两个向量的外积与这两个向量组成的坐标平面垂直。
定义:向量a与b的外积a×b是一个向量,其长度等于|a×b| = |a||b|sin∠(a,b),其方向正交于a与b。并且,(a,b,a×b)构成右手系。
特别地,0×a = a×0 = 0.此外,对任意向量a,a×a=0。
对于向量a和向量b:
a和b的外积公式为:
其中:
根据i、j、k间关系,有:
向量外积的性质
- a × b = -b × a. (反称性)
- (λa + μb) × c = λ(a ×c) + μ(b ×c). (线性)
向量外积的几何意义
在三维几何中,向量a和向量b的外积结果是一个向量,有个更通俗易懂的叫法是法向量,该向量垂直于a和b向量构成的平面。
在3D图像学中,外积的概念非常有用,可以通过两个向量的外积,生成第三个垂直于a,b的法向量,从而构建X、Y、Z坐标系。如下图所示:
在二维空间中,外积还有另外一个几何意义就是:|a×b|在数值上等于由向量a和向量b构成的平行四边形的面积。
6.梯度

本文来自互联网用户投稿,文章观点仅代表作者本人,不代表本站立场,不承担相关法律责任。如若转载,请注明出处。 如若内容造成侵权/违法违规/事实不符,请点击【内容举报】进行投诉反馈!


