环形链表判断
141. 环形链表
给你一个链表的头节点 head ,判断链表中是否有环。
如果链表中有某个节点,可以通过连续跟踪 next 指针再次到达,则链表中存在环。 为了表示给定链表中的环,评测系统内部使用整数 pos 来表示链表尾连接到链表中的位置(索引从 0 开始)。注意:pos 不作为参数进行传递 。仅仅是为了标识链表的实际情况。
如果链表中存在环 ,则返回 true 。 否则,返回 false 。
示例 1:

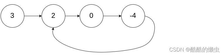
输入:head = [3,2,0,-4], pos = 1
输出:true
解释:链表中有一个环,其尾部连接到第二个节点。
示例 2:

输入:head = [1,2], pos = 0
输出:true
解释:链表中有一个环,其尾部连接到第一个节点。
示例 3:

输入:head = [1], pos = -1
输出:false
解释:链表中没有环。
提示:
链表中节点的数目范围是 [0, 104]
− 1 0 5 < = N o d e . v a l < = 1 0 5 -10^5 <= Node.val <= 10^5 −105<=Node.val<=105
pos 为 -1 或者链表中的一个 有效索引 。
代码(java):
public class link_cycle {public static class ListNode {int val;ListNode next;public ListNode(int x) {val = x;next = null;}}public static void main(String[] args) {// TODO 自动生成的方法存根int [] h = {1};int pos = -1;ListNode head = new ListNode(h[0]);ListNode p = null, q = null;head.val = h[0];p = head;if(pos == 0)q = head;for(int i = 1; i < h.length; i++) {ListNode l = new ListNode(h[i]);p.next = l;if(i == pos)q = l;p = p.next;}p.next = q;System.out.println(hasCycle(head));}public static boolean hasCycle(ListNode head) {if (head == null) {return false;}ListNode l1 = head, l2 = head.next;while (l1 != null && l2 != null && l2.next != null) {if (l1 == l2) {return true;}l1 = l1.next;l2 = l2.next.next;}return false;}}
复杂度分析:
时间复杂度:O(N),其中 N 是链表中的节点数。
当链表中不存在环时,快指针将先于慢指针到达链表尾部,链表中每个节点至多被访问两次。
当链表中存在环时,每一轮移动后,快慢指针的距离将减小一。而初始距离为环的长度,因此至多移动 N轮。
空间复杂度:O(1)。我们只使用了两个指针的额外空间。
进阶:你能用 O(1)(即,常量)内存解决此问题吗?
来源:力扣(LeetCode)
注:仅供学习参考!
本文来自互联网用户投稿,文章观点仅代表作者本人,不代表本站立场,不承担相关法律责任。如若转载,请注明出处。 如若内容造成侵权/违法违规/事实不符,请点击【内容举报】进行投诉反馈!
