基于IndRNN的手机传感器动作识别
近日,来自山东大学和电子科技大学的研究者提出了基于 IndRNN 模型利用手机传感器实现动作识别的网络,该模型解决了现有 RNN 模型的梯度消失和梯度爆炸问题,一定程度上实现了动作识别的用户独立性,同时在 2020 年的 SHL (Sussex-Huawei) 移动挑战赛中取得了亚军。
相比于冠军采用的混合模型和其他团队采用的半监督学习等方法,IndRNN 仅凭借单一模型,在未知数据上预测的标签的准确率位列第二名,展示出了模型的优良性能。
论文标题:
IndRNN Based Long-term Temporal Recognition in the Spatial and Frequency Domain
论文链接:
https://dl.acm.org/doi/10.1145/3410530.3414355
IndRNN
IndRNN 在 2018 年被提出之后,在图像分类、视频编码、基于骨骼节点的动作识别等任务上都表现优异。我们利用 IndRNN 作为基本模型,研究基于手机传感器数据的动作识别,取得同领域较高准确率,再次证明了 IndRNN 模型的性能的优越性。之所以选取 IndRNN,是因为它具有以下优势:
与传统 RNN 或常用的 LSTM 或 GRU 相比,更大程度解决了梯度消失和梯度爆炸问题
可以与非饱和激活函数,如 ReLU 一起工作,并且仍然可以被严格训练
可以构建比现有 RNN 更深层次的网络
减少每步的计算量
比普遍使用的 LSTM 计算速度快 10 倍以上
形式:
简单 RNN:
IndRNN:
可以看到,简单 RNN 和 LSTM 隐藏层计算公式红色的部分是对递归输入进行权值乘法处理。这使得神经元相互依赖或相互纠缠,因此很难解释每个神经元的活动。而 IndRNN 使用 element-wise(按位相乘)处理循环的输入或以前的隐藏状态,使神经元是相互独立。对于第 n 个神经元,对递归输入的处理是一个标量乘法。
下图展示了 RNN 和 IndRNN 之间的区别。在 RNN 中,由于递归权矩阵的存在,神经元相互纠缠,而在 IndRNN 中,神经元仍然是独立的,然后在下一层进行融合。
▲ RNN与IndRNN神经元连接方式的对比,左图为RNN,右图为IndRNN,图片来自于S. Li, W. Li and C. Cook and Y. Gao. 2019. Deep Independently Recurrent Neural Network (IndRNN). arXiv.cs.CV1910.06251.
由于我们的模型可以通过 ReLU 进行鲁棒的训练,可以将它们堆叠在一起构建深层结构的网络或者构建残差神经网络(Residual Neural Network)和密集神经网络(Dense Nerual Network)。可以像在 CNN 中同样地使用批量归一化(Batch Normalization)。它还可以扩展为卷积形式,其中使用卷积操作处理输入。
传统上,RNN 被理解为随时间推移的多层神经网络(MLP),其中参数随时间推移而共享。在这里,IndRNN 展示了一个新的视角,即使用输入权值和循环权值随着时间的推移独立地聚合空间模式。
▲ Longer and Deeper RNN - IndRNN,图片来自于S. Li, W. Li, C. Cook and Y. Gao. 2019. Deep Independently Recurrent Neural Network (IndRNN). arXiv.cs.CV1910.06251.
任务描述
近年来随着可穿戴设备的发展,利用其中的传感器数据进行动作识别的领域越来越热门。在最近几年发表的论文中,在现有比较常用的手机传感器数据集上已经实现了较高的准确率。然而在广为人知的数据集中,几乎都将多名用户的数据混合,且忽略了手机在用户身上放置位置对于准确率的影响。
SHL 数据集填充了数据集在上述方面的空白,为利用机器学习从手机传感器中识别用户的移动和运输方式的方向提出了新的研究问题与挑战。
SHL 数据集视频介绍:
https://youtu.be/f-Hhq9z1A2E
首先,我们对 SHL 数据集进行简单介绍,利用 3 名用户(用户 1、用户 2 和用户 3)放在身体四个部位(手、胸前、臀部、背包)的数据安卓手机中的7个传感器提供的 20 轴的数据实现 8 种动作分类问题(静止、走、跑、骑自行车、乘坐公交车、乘坐汽车、乘坐火车及乘坐地铁,分别标记为 1-8),其中不仅有人自发的运动,还包含了机械驱动的运动,为识别增添了挑战。
传感器类别及介绍如下:
加速度计(Accelerometer): x, y, z in m/s2
陀螺仪(Gyroscope): x, y, z in rad/s
磁力计(Magnetometer): x, y, z in μT
四分仪(Orientation): quaternions in the form of w, x, y, z vector
重力计(Gravity): x, y, z in m/s2
线性加速度计(Linear acceleration): x, y, z in m/s2
压力计(Pressure):Ambient pressure in hPa
该研究主要侧重于实现利用手机传感器实现动作识别过程中的用户独立性。数据集分为训练集、验证集及测试集,分别包含 59 天、6 天和 40 天的数据(由数据集大小可以看出提供的每天的数据的时间长度不同)。所有数据被分割为 5s 的窗口,采样率为 100Hz。
为了探索实现用户独立性的方法,在集合的用户分配上,训练集和验证集仅包含了用户 1 的四个位置数据,验证集包含用户 2 和 3 的四个位置的数据,而测试集仅包含用户 2 和 3 四个位置之一的数据(位置未知)。此外,为了实现分类的实时性,窗口被打乱,且保证了相邻两帧在时间上不连续。
尽管在利用手机传感器数据进行动作识别的领域已经取得了不错的成果,该任务提出了在实际生活场景中进一步细化的问题-如何实现用户的独立性,即在利用与预测数据来源不匹配的数据训练模型,如何在预测数据上获得更高的准确率?该任务的难点可以解释为以下问题:
1. 不同用户的影响:不同用户由于运动量与生活习惯存在差异,放置在其身上的手机收集到的传感器数据也会有所不同。训练集来源于用户 1,而测试集和验证集的数据来源于用户 2 和 3 的混合数据,如何尽量消除差异,使预测时的准确率与训练时的准确率尽量接近?
▲ 三名用户的数据标签组成,可以看出有明显差异,图片来自H. Gjoreski, M. Ciliberto, L. Wang, F. J. O. Morales, S. Mekki, S. Valentin, D. Roggen. “The University of Sussex-Huawei Locomotion and Transportation Dataset for Multimodal Analytics with Mobile Devices.” IEEE Access 6 (2018): 42592-42604.
2. 位置的影响:由提供的数据集可知,测试集来源于用户 3 的一个未知的位置,而训练集和验证集都包含了所有的位置。因此,应如何对于训练集和验证集数据进行选取?
▲ 手机放置的位置及数据收集的界面,图片来自H. Gjoreski, M. Ciliberto, L. Wang, F. J. O. Morales, S. Mekki, S. Valentin, D. Roggen. “The University of Sussex-Huawei Locomotion and Transportation Dataset for Multimodal Analytics with Mobile Devices.” IEEE Access 6 (2018): 42592-42604.
技术方案
预处理
数据分割(Segmentation)
首先,为了使我们的模型充分学习到长时和短时特征,我们对所给窗口进行了进一步的分割。将 5s 的窗口分割为 21 个 1s 的窗口,重叠率为 80%。
▲ 分割图示,图片来源于L. Zheng, S. Li, Y. Gao, “Application of IndRNN for Human Activity Recognition-The Sussex-Huawei Locomotion-Transportation Challenge”
去旋转化(De-rotation)
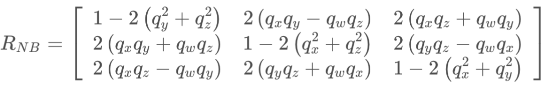
鉴于数据采集于手机传感器,采用的坐标为手机自身的三轴坐标系,不仅包含了用户运动造成的数据变化,还包括了手机自身翻转等运动造成的数据变化。因此,把手机坐标系中的数据转移到地球坐标系是很有必要的。
经过调研,加速度计和陀螺仪受影响较大,参考了安卓手机转换坐标系常用方法,我们这两个坐标系中的数据转换到北天东(NED)坐标系。具体操作为利用四分仪构建转换矩阵,将待转换的三轴坐标系于矩阵 相乘,得到转换后的坐标。
特征提取(Feature Extraction)
在将数据输入网络学习特征前,我们手动提取了一些重要的时域特征,如下表所示。由于智能手机传感器采集的信号具有很强的周期性,FFT 幅度谱是提取这些信号一般短时特征的合适选择。由于幅度谱的对称性,FFT 变化之后的信号只需保留一半。
▲ 提取FFT幅度谱,图片来源于L. Zheng, S. Li, Y. Gao, “Application of IndRNN for Human Activity Recognition-The Sussex-Huawei Locomotion-Transportation Challenge”
然而,通过观察不同标签的 FFT 幅度谱,我们发现还是有些差异,于是又提取了 FFT 幅度谱的一些统计特征。
特征提取的整体流程图如下:
最终,我们选取了其中在预训练中表现较好的特征(表中加粗标记),将其拼接确定为正式训练所用的特征。
位置识别(Location Recognition)
为了消除测试集位置未知对结果的影响,我们提出了在训练前事先训练位置的想法,即根据位置赋予数据全新的标 -Bag 标记为 1,Hips 标记为 2,Torso 标记为 3,Hand 标记为 4,将提取到的特征输入我们的网络(下文讲解)先构建一个位置预测模型。混淆矩阵如下。
虽然不能完全将四种位置分辨清楚,但有趣的是,若将 Bag 和 Hand 结合,Hips 和 Torso 结合,可以得到准确率大于 99% 的混淆矩阵。
我们用得到的模型去预测测试集的数据,得到的结果显示测试集属于 Hips+Torso 的组合。后续位置预测实验中,我们观察到特定位置的数据作为训练集时没有所有位置作为训练集表现好,且不论用 Torso 还是 Hips 验证,对于最终得到的模型没有区别,所以即使没有确定具体位置,并不影响训练结果。
Dense IndRNN模型
针对上述具体任务,我们使用的是 Dense IndRNN 结构。训练流程图如下
训练中具体的参数可参考我们的比赛论文。
后处理
因为训练集由用户1的数据构成,而测试集由用户 2 和 3 的数据构成,为了尽可能实现用户独立性,我们引入了迁移学习(Transfer Learning),即将一部分验证集的数据输入先前的网络继续训练对模型进行微调,另一部分用来验证。常用的迁移学习将数据一分为二,一半用作训练,另一半验证。
在实验中,我们发现验证集的标签有分布不均的问题。参考了数据集构建者的描述,受限制于验证集的大小,数据收集的过程会造成此问题。
因此,我们首先将按照标签将数据进行分组,在相同比例的位置进行切割,再将数据进行拼接。然而,受限制于验证集的大小,当我们分别用前一半或后一半数据训练,另一半数据验证的时候,准确率相差较大。
为了平衡准确率,也为了充分利用验证集数据,于是我们提出了构建两个迁移学习的模型,在最终预测测试集数据时将两个模型进行融合,得到最终预测结果。
结果
在迁移学习之前,我们的模型在验证集上达到了 81.58% 的准确率。由表可看出,与 CNN 类似,Dense 结构比直接每层相连表现更好。
迁移学习和模型融合之后,模型的准确率上升了超过 5% 的准确率,证明用户的迁移学习对于消除利用手机传感器数据进行动作识别任务中的用户依赖性有作用。
UbiComp SHL Challenge 2020 的结果在 6 月 25 日截止提交,根据评价指标 F1-score 排名。比赛的前三名于 9 月举行的 UbiComp 2020 的 HASCA workshop 揭晓。IndRNN 在测试集上 F1-score 达到 79.0%,摘得挑战赛亚军,展示出了所构建模型的优良性能。
挑战赛官网:
http://www.shl-dataset.org/activity-recognition-challenge-2020/
思考
一个容易被忽视的问题:学习率过小导致的过拟合
最终结果显示我们的模型表现出了过拟合,我们猜想是选取的学习率过小,导致在训练集和验证集上显示的准确率高于测试集。一般人们认为学习率只是在梯度下降过程中训练模型的参数,与过拟合没有必然的联系。
而一般来说学习率足够小的话,所得到的结果都是类似的。网络上一些博客提出的防止过拟合的建议也主要集中在:
数据增强
提前停止(Early stopping)
增加噪声
简化网络结构
Dropout
贝叶斯方法
然而,很少有人提及控制学习率的问题。猜想这是由于大部分现有文章的数据集是研究者进行划分,在训练后,可以通过观察最终在测试集上面预测结果选取最优学习率。然而,真正遇到现实中的问题,即测试集没有标签时,模型还是有可能出现过拟合的问题,需要研究者多积累经验,选取更加适合的学习率。
▲ 学习率的选取对模型Loss的影响
总结
来自电子科技大学和山东大学的团队利用比现有 RNN 更加长且更深层次的网络 -IndRNN 进行基于手机传感器数据的动作识别的任务。该模型在训练过程中表现优良,结合迁移学习和模型融合的后处理,一定程度上实现了利用手机传感器数据进行动作识别的用户独立性。
同时,IndRNN 团队摘得 UbiComp SHL Challenge 2020 的亚军,再度体现 IndRNN 性能的优越性,希望该方案对大家有参考价值。
作者及团队介绍
赵贝頔,电子科技大学,格拉斯哥学院,学生。
目前本科生在读,研究方向为应用机器学习,基于手机传感器的动作识别。目前已在ubiComp会议HASCA workshop发表一篇论文并做口头报告。
李帅,山东大学,控制科学与工程学院,教授,齐鲁青年学者。
致力于高效视频编码及分析、计算机视觉及人工智能的研究,已发表国际期刊及会议论文30余篇,包括11篇JCR Q1论文。近五年荣获2次国际学术会议最佳论文奖,并荣获IEEE Transactions on Broadcasting最佳论文奖提名。2篇论文入选ESI Highly Cited Paper(高被引论文),2篇论文连续数月入选为IEEE Popular Articles。现为多个IEEE及Elsevier期刊的审稿人及多个国际会议的审稿人。已提交国际及国家视频编码标准技术提案3项并全部被国际和国家标准组织采纳,且被集成到相关视频编码标准的参考软件中。已申请专利17项,其中14项已授权,1项已转让;并获得一项软件著作权。主持一项国家自然科学基金青年科学基金及一项国家重点研发计划(战略性国际科技创新合作重点专项)课题,并参与多项国家自然科学基金。代表性工作独立循环神经网络(IndRNN)获得谷歌及国际多位知名专家引文的肯定,并被集成到多个深度学习软件库中包括TensorFlow。
高艳博,山东大学,软件学院,副研究员。
博士毕业于电子科技大学信号与信息处理专业,目前就职于山东大学软件学院。研究方向包括图像/视频智能编码及分析、三维视频信号处理。已在相关领域发表学术论文17篇,其中1篇SCI 1区,5篇SCI 2区(中科院分区),发表在包括IEEE Transactions on Image Processing(TIP)、IEEE Transactions on Circuits and Systems for Video Technology(TCSVT)等顶级SCI上,11篇EI国际会议论文包括IEEE Conference on Computer Vision and Pattern Recognition(CVPR)、IEEE International Symposium on Circuits and Systems (ISCAS)等国际会议。申请人在视频编码TOP期刊IEEE TCSVT上发表的一作论文入选ESI Highly Cited Papers(高被引论文),荣获国际会议International Symposium on Broadband Multimedia Systems and Broadcasting (BMSB)最佳学生会议论文奖。已采纳(或部分采纳)国际国内视频编码标准提案5项,其中国际IVC提案1项,国内AVS提案4项。已申请专利11项,其中10项已授权、1项已转让。主持一项国家自然科学基金青年科学基金(在研),参与2项国家重点级项目(在研)。
参考文献
[1] B. Zhao, S. Li, and Y. Gao. 2020. IndRNN based long-term temporal recognition in the spatial and frequency domain. In Adjunct Proceedings of the 2020 ACM International Joint Conference on Pervasive and Ubiquitous Computing and Proceedings of the 2020 ACM International Symposium on Wearable Computers (UbiComp-ISWC '20). Association for Computing Machinery, New York, NY, USA, 368–372.
[2] S. Li, W. Li, C. Cook, C. Zhu, and Y. Gao. 2018. Independently Recurrent Neural Network (IndRNN): Building a Longer and Deeper Rnn. In Proceedings of the IEEE Conference on Computer Vision and Pattern Recognition. 5457–5466.
[3] S. Li, W. Li and C. Cook and Y. Gao. 2019. Deep Independently Recurrent Neural Network (IndRNN). arXiv.cs.CV1910.06251.
[4] L. Zheng, S. Li, C. Zhu, and Y. Gao. 2019. Application of IndRNN for human activity recognition: the Sussex-Huawei locomotion-transportation challenge. In Adjunct Proceedings of the 2019 ACM International Joint Conference on Pervasive and Ubiquitous Computing and Proceedings of the 2019 ACM International Symposium on Wearable Computers (UbiComp/ISWC '19 Adjunct). Association for Computing Machinery, New York, NY, USA, 869–872.
[5] L. Wang, H. Gjoreski, M. Ciliberto, P. Lago, K. Murao, T. Okita,and D. Roggen. “Summary of the Sussex-Huawei locomotion-transportation recognition challenge 2020”, Proceedings of the 2020 ACM International Joint Conference and 2020 International Symposium on Pervasive and Ubiquitous Computing and Wearable Computers, 2020.
[6] H. Gjoreski, M. Ciliberto, L. Wang, F. J. O. Morales, S. Mekki, S. Valentin, D. Roggen. “The University of Sussex-Huawei Locomotion and Transportation Dataset for Multimodal Analytics with Mobile Devices.” IEEE Access 6 (2018): 42592-42604.
更多阅读
#投 稿 通 道#
让你的论文被更多人看到
如何才能让更多的优质内容以更短路径到达读者群体,缩短读者寻找优质内容的成本呢?答案就是:你不认识的人。
总有一些你不认识的人,知道你想知道的东西。PaperWeekly 或许可以成为一座桥梁,促使不同背景、不同方向的学者和学术灵感相互碰撞,迸发出更多的可能性。
PaperWeekly 鼓励高校实验室或个人,在我们的平台上分享各类优质内容,可以是最新论文解读,也可以是学习心得或技术干货。我们的目的只有一个,让知识真正流动起来。
???? 来稿标准:
• 稿件确系个人原创作品,来稿需注明作者个人信息(姓名+学校/工作单位+学历/职位+研究方向)
• 如果文章并非首发,请在投稿时提醒并附上所有已发布链接
• PaperWeekly 默认每篇文章都是首发,均会添加“原创”标志
???? 投稿邮箱:
• 投稿邮箱:hr@paperweekly.site
• 所有文章配图,请单独在附件中发送
• 请留下即时联系方式(微信或手机),以便我们在编辑发布时和作者沟通
????
现在,在「知乎」也能找到我们了
进入知乎首页搜索「PaperWeekly」
点击「关注」订阅我们的专栏吧
关于PaperWeekly
PaperWeekly 是一个推荐、解读、讨论、报道人工智能前沿论文成果的学术平台。如果你研究或从事 AI 领域,欢迎在公众号后台点击「交流群」,小助手将把你带入 PaperWeekly 的交流群里。
本文来自互联网用户投稿,文章观点仅代表作者本人,不代表本站立场,不承担相关法律责任。如若转载,请注明出处。 如若内容造成侵权/违法违规/事实不符,请点击【内容举报】进行投诉反馈!
