也来谈谈RNN的梯度消失/爆炸问题
©PaperWeekly 原创 · 作者|苏剑林
单位|追一科技
研究方向|NLP、神经网络
尽管 Transformer 类的模型已经攻占了 NLP 的多数领域,但诸如 LSTM、GRU 之类的 RNN 模型依然在某些场景下有它的独特价值,所以 RNN 依然是值得我们好好学习的模型。而于 RNN 梯度的相关分析,则是一个从优化角度思考分析模型的优秀例子,值得大家仔细琢磨理解。君不见,诸如“LSTM 为什么能解决梯度消失/爆炸”等问题依然是目前流行的面试题之一。
▲经典的LSTM
关于此类问题,已有不少网友做出过回答,然而笔者查找了一些文章(包括知乎上的部分回答、专栏以及经典的英文博客),发现没有找到比较好的答案:有些推导记号本身就混乱不堪,有些论述过程没有突出重点,整体而言感觉不够清晰自洽。为此,笔者也尝试给出自己的理解,供大家参考。
RNN及其梯度
RNN 的统一定义为:
其中 是每一步的输出,它由当前输入 和前一时刻输出 共同决定,而 则是可训练参数。在做最基本的分析时,我们可以假设 都是一维的,这可以让我们获得最直观的理解,并且其结果对高维情形仍有参考价值。之所以要考虑梯度,是因为我们目前主流的优化器还是梯度下降及其变种,因此要求我们定义的模型有一个比较合理的梯度。我们可以求得:
可以看到,其实 RNN 的梯度也是一个 RNN,当前时刻梯度 是前一时刻梯度 与当前运算梯度 的函数。同时,从上式我们就可以看出,其实梯度消失或者梯度爆炸现象几乎是必然存在的:
当
所以步数多了,梯度消失或爆炸几乎都是不可避免的,我们只能对于有限的步数去缓解这个问题。
消失还是爆炸?
说到这里,我们还没说清楚一个问题:什么是 RNN 的梯度消失/爆炸?梯度爆炸好理解,就是梯度数值发散,甚至慢慢就 NaN 了;那梯度消失就是梯度变成零吗?并不是,我们刚刚说梯度消失是
显然,其实只要 不为 0,那么总梯度为 0 的概率其实是很小的;但是一直迭代下去的话,那么 这一项前面的稀疏就是 t-1 项的连乘 ,如果它们的绝对值都小于 1,那么结果就会趋于 0,这样一来, 几乎就没有包含最初的梯度 的信息了。
这才是 RNN 中梯度消失的含义:距离当前时间步越长,那么其反馈的梯度信号越不显著,最后可能完全没有起作用,这就意味着 RNN 对长距离语义的捕捉能力失效了。
说白了,你优化过程都跟长距离的反馈没关系,怎么能保证学习出来的模型能有效捕捉长距离呢?
几个数学公式
上面的文字都是一般性的分析,接下来我们具体 RNN 具体分析。不过在此之前,我们需要回顾几条数学公式,后面的推导中我们将多次运用到这几条公式:
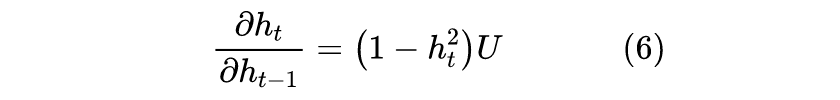
其中 是 sigmoid 函数。这几条公式其实就是说了这么一件事: 和 基本上是等价的,它们的导数均可以用它们自身来表示。
简单RNN分析
首先登场的是比较原始的简单 RNN(有时候我们确实直接称它为 SimpleRNN),它的公式为:
其中 W,U,b 是待优化参数。看到这里很自然就能提出第一个疑问:为什么激活函数用 而不是更流行的 ?这是个好问题,我们很快就会回答它。
从上面的讨论中我们已经知道,梯度消失还是爆炸主要取决于
由于我们无法确定 U 的范围,因此
这样一来,我们就能回答为什么激活函数要用 了,因为激活函数用 后,对应的梯度 是有界的,虽然这个界未必是 1,但一个有界的量不超过 1 的概率总高于无界的量,因此梯度爆炸的风险更低。相比之下,如果用 激活的话,它在正半轴的导数恒为 1,此时 是无界的,梯度爆炸风险更高。
所以,RNN 用 而不是 的主要目的就是缓解梯度爆炸风险。当然,这个缓解是相对的,用了 依然有爆炸的可能性。事实上,处理梯度爆炸的最根本方法是参数裁剪或梯度裁剪,说白了,就是我人为地把 U 给裁剪到 [-1,1] 内,那不就可以保证梯度不爆了吗?
当然,又有读者会问,既然裁剪可以解决问题,那么是不是可以用 了?确实是这样子,配合良好的初始化方法和参数/梯度裁剪方案, 版的 RNN 也可以训练好,但是我们还是愿意用 ,这还是因为它对应的 有界,要裁剪也不用裁剪得太厉害,模型的拟合能力可能会更好。
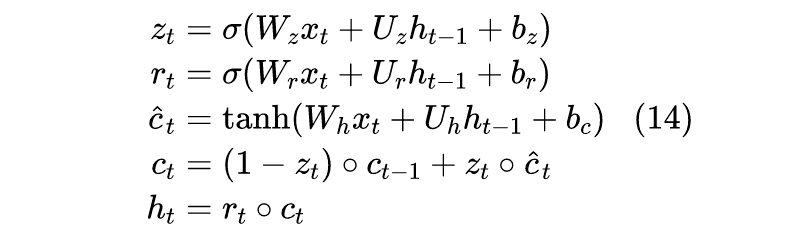
LSTM的结果
当然,裁剪的方式虽然也能 work,但终究是无奈之举,况且裁剪也只能解决梯度爆炸问题,解决不了梯度消失,如果能从模型设计上解决这个问题,那么自然是最好的。传说中的 LSTM 就是这样的一种设计,真相是否如此?我们马上来分析一下。
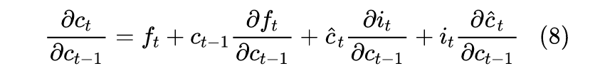
LSTM 的更新公式比较复杂,它是:
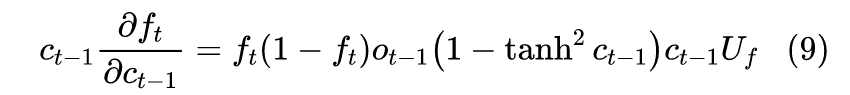
我们可以像上面一样计算 ,但从 可以看出分析 就等价于分析 ,而计算 显得更加简单一些,因此我们往这个方向走。
同样地,我们先只关心 1 维的情形,这时候根据求导公式,我们有:
右端第一项 ,也就是我们所说的“遗忘门”,从下面的论述我们可以知道一般情况下其余三项都是次要项,因此 是“主项”,由于 在 0~1 之间,因此就意味着梯度爆炸的风险将会很小,至于会不会梯度消失,取决于 是否接近于 1。
但非常碰巧的是,这里有个相当自洽的结论:如果我们的任务比较依赖于历史信息,那么 就会接近于 1,这时候历史的梯度信息也正好不容易消失;如果 很接近于 0,那么就说明我们的任务不依赖于历史信息,这时候就算梯度消失也无妨了。
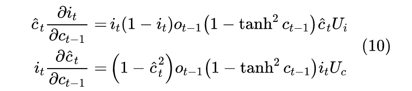
所以,现在的关键就是看“其余三项都是次要项”这个结论能否成立。后面的三项都是“一项乘以另一项的偏导”的形式,而且求偏导的项都是 或 激活,前面在回顾数学公式的时候说了 和 基本上是等价的,因此后面三项是类似的,分析了其中一项就相当于分析了其余两项。以第二项为例,代入 ,可以算得:
注意到 ,都是在 0~1 之间,也可以证明
跟简单 RNN 的梯度(6)相比,它也多出了 3 个门,说直观一点那就是:1 个门我压不垮你,多来几个门还不行么?
剩下两项的结论也是类似的:
所以,后面三项的梯度带有更多的“门”,一般而言乘起来后会被压缩的更厉害,因此占主导的项还是 , 在 0~1 之间这个特性决定了它梯度爆炸的风险很小,同时 表明了模型对历史信息的依赖性,也正好是历史梯度的保留程度,两者相互自洽,所以 LSTM 也能较好地缓解梯度消失问题。
因此,LSTM 同时较好地缓解了梯度消失/爆炸问题,现在我们训练 LSTM 时,多数情况下只需要直接调用 Adam 等自适应学习率优化器,不需要人为对梯度做什么调整了。
当然,这些结果都是“概论”,你非要构造一个会梯度消失/爆炸的 LSTM 来,那也是能构造出来的。此外,就算 LSTM 能缓解这两个问题,也是在一定步数内,如果你的序列很长,比如几千上万步,那么该消失的还会消失。毕竟单靠一个向量,也缓存不了那么多信息啊~
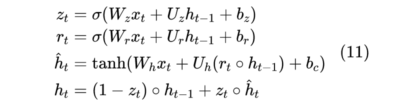
顺便看看GRU
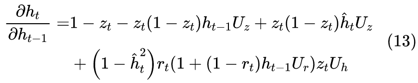
在文章结束之前,我们顺便对 LSTM 的强力竞争对手 GRU 也做一个分析。GRU 的运算过程为:
还有个更极端的版本是将 合成一个:
不管是哪一个,我们发现它在算 的时候, 都是先乘个 变成 ,不知道读者是否困惑过这一点?直接用 不是更简洁更符合直觉吗?
首先我们观察到,而 一般全零初始化, 则因为 激活,因此结果必然在 -1~1 之间,所以作为 与 的加权平均的 也一直保持在 -1~1 之间,因此 本身就有类似门的作用。这跟LSTM的 不一样,理论上 是有可能发散的。了解到这一点后,我们再去求导:
其实结果跟 LSTM 的类似,主导项应该是 ,但剩下的项比 LSTM 对应的项少了 1 个门,因此它们的量级可能更大,相对于 LSTM 的梯度其实更不稳定,特别是 这步操作,虽然给最后一项引入了多一个门 ,但也同时引入了多一项 ,是好是歹很难说。总体相对而言,感觉 GRU 应该会更不稳定,比 LSTM 更依赖于好的初始化方式。
针对上述分析结果,个人认为如果沿用 GRU 的思想,又需要简化 LSTM 并且保持 LSTM 对梯度的友好性,更好的做法是把 放到最后:
当然,这样需要多缓存一个变量,带来额外的显存消耗了。
文章总结概述
本文讨论了 RNN 的梯度消失/爆炸问题,主要是从梯度函数的有界性、门控数目的多少来较为明确地讨论 RNN、LSTM、GRU 等模型的梯度流情况,以确定其中梯度消失/爆炸风险的大小。本文属于闭门造车之作,如有错漏,请读者海涵并斧正。
更多阅读
#投 稿 通 道#
让你的论文被更多人看到
如何才能让更多的优质内容以更短路径到达读者群体,缩短读者寻找优质内容的成本呢?答案就是:你不认识的人。
总有一些你不认识的人,知道你想知道的东西。PaperWeekly 或许可以成为一座桥梁,促使不同背景、不同方向的学者和学术灵感相互碰撞,迸发出更多的可能性。
PaperWeekly 鼓励高校实验室或个人,在我们的平台上分享各类优质内容,可以是最新论文解读,也可以是学习心得或技术干货。我们的目的只有一个,让知识真正流动起来。
???? 来稿标准:
• 稿件确系个人原创作品,来稿需注明作者个人信息(姓名+学校/工作单位+学历/职位+研究方向)
• 如果文章并非首发,请在投稿时提醒并附上所有已发布链接
• PaperWeekly 默认每篇文章都是首发,均会添加“原创”标志
???? 投稿邮箱:
• 投稿邮箱:hr@paperweekly.site
• 所有文章配图,请单独在附件中发送
• 请留下即时联系方式(微信或手机),以便我们在编辑发布时和作者沟通
????
现在,在「知乎」也能找到我们了
进入知乎首页搜索「PaperWeekly」
点击「关注」订阅我们的专栏吧
关于PaperWeekly
PaperWeekly 是一个推荐、解读、讨论、报道人工智能前沿论文成果的学术平台。如果你研究或从事 AI 领域,欢迎在公众号后台点击「交流群」,小助手将把你带入 PaperWeekly 的交流群里。
本文来自互联网用户投稿,文章观点仅代表作者本人,不代表本站立场,不承担相关法律责任。如若转载,请注明出处。 如若内容造成侵权/违法违规/事实不符,请点击【内容举报】进行投诉反馈!
