Matlab——基础操作用法
文章目录
- 数组操作
- 查看数组详情
- 1.创建一维向量
- (1)一维向量操作
- (2)创建高维矩阵
- (3)基于原有矩阵构建新的矩阵
- 2.创建特殊矩阵
- (1)magic
- (2)rand
- (3)zeros
- (4)eyes
- (5)ones
- (6)hild
- (7) compan
- 等差数列
- 等比数列
- 符号运算
- ^ 运算
- .^运算
- >、<比较运算
- 逻辑运算
- 求解线性方程
- 图像处理
- 基本的二维图形绘制
- 直角坐标系绘图
- (1)
- (2)
- (3)
- 用不同的线型和颜色绘图
- 同一个界面生成多个图
- 基本的三维曲线绘图
- 编程
- if语句
数组操作
查看数组详情

1.创建一维向量
创建一个1-9的一维向量
起始值:终值
a = 1 : 9
创建一个一维向量
起始值:步长:终止值
c = 10 : 2 : 30

步长可以为负数或者小数。
d = 10:-1:0

(1)一维向量操作
d(3)

d(3:7)

d(3:2:7)

(2)创建高维矩阵
A = [1 2 3; 4 5 6; 7 8 9]

选取A矩阵的第一行和第二行,选取第三列
(选取行,选取列)
B = A(1:2, 3)

index是竖着从左往右数的,先上下,再左右。

(3)基于原有矩阵构建新的矩阵
(选取行作为新的矩阵的行,选取列)
A([2, 2], :)
其中,例如,选取第2行并组成新的矩阵的行,有几个数就有几行




2.创建特殊矩阵
(1)magic
magic是一种函数,用于产生魔方矩阵,它的每行、列以及对角线的数之和相等。该和的值为1+2+3+…+n^2的和再除以n,n必须为大于或等于3的整数。
magic(3)

(2)rand
产生一个随机矩阵
方阵:

矩阵:

(3)zeros
全0阵

(4)eyes

(5)ones
全1阵

(6)hild
病态矩阵

(7) compan

只保留整数部分:
fix()

向下取整:
floor

向上取整:
ceil(A)

四舍五入取整
round

等差数列
linspace(first, last, num)
0-8,共4个数

等比数列
logspace(0,1,11) % 10^a 10^b 个数

符号运算


^ 运算
求矩阵的平方或两个相同的矩阵相乘

.^运算
两个矩阵中的对应元素求平方

示例:

必须要用.^


>、<比较运算
返回是布尔量,0或1

逻辑运算

求解线性方程
- 右除:
/ - 左除:
\


图像处理
基本的二维图形绘制
直角坐标系绘图
(1)
plot(x) %此时的x对应y值
-
x = [1;2;3;4;5]

-
x = [1 6;2 7;3 10;4 48;5 12]

-
x = [1+0.5i 2;3+2i 4;5 6+5i]

x轴是实部,y轴是虚部
(2)
plot(x, y)
- x = [1;2;3;4;5];
y = [0;25;3;1.5;2];

- x = -10:0.5:10;
y= x.^ 2;

(3)

t = 0:0.001:4*pi
x = cos(t) + t.*sin(t);
y = sin(t) - t.*cos(t);
plot(x, y)

2.

y1 = 0.2*exp(-0.5*x).*cos(4*pi*x);
y2 = 1.5*exp(-0.5*x).*cos(pi*x);
plot(x,y1,x,y2)
% 一条线一条线生成
plot(x,y1);
hold on;
plot(x, y2);

用不同的线型和颜色绘图
Matlab画图线型、符号及颜色汇总
xlabel("x");
ylabel("y")';
title('sine and cosine curves')
同一个界面生成多个图
x = linspace(0,2*pi,30);
y = sin(x);
z = cos(x);
u = 2*
subplot(m,n,i)

x=[-1:0.02:2];
y=1.1*sign(x).*(abs(x)>1.1)+x.*(abs(x)<=1.1);
plot(x,y)
基本的三维曲线绘图
plot(x,y,z)
编程
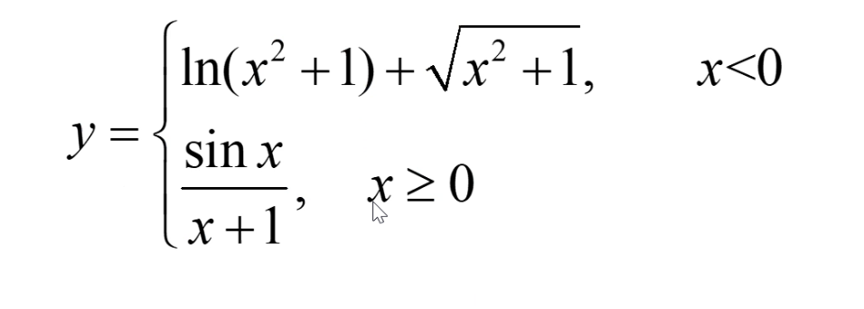
if语句

x = input("x");
if x < 0y = log(x^2 + 1) + sqrt(x^2 + 1);
elsey = sin(x)/(x+1);
end
注意:

本文来自互联网用户投稿,文章观点仅代表作者本人,不代表本站立场,不承担相关法律责任。如若转载,请注明出处。 如若内容造成侵权/违法违规/事实不符,请点击【内容举报】进行投诉反馈!
