【迁移学习】迁移学习的干货学习资料 | 干货分享 | 技术解读
一. 了解迁移学习
迁移学习(Transfer Learning)目标是将从一个环境中学到的知识用来帮助新环境中的学习任务。
> The ability of a system to recognize and apply knowledge and skills learned in previous tasks to novel tasks。
入门推荐一篇公认的比较好的 【Survey】: A Survey on Transfer Learning,Sinno JialinPan, Qiang Yang,IEEE Trans
另外,戴文渊的硕士学位论文也可以看一下:基于实例和特征的迁移学习算法研究
Survey 作者归纳了 Transfer Learning 相关的知识域,有必要了解一下这些名词:
● Learning学习 - learning to learn
● 终身学习 - life-long learning
● 知识转移 - knowledge transfer
● 归纳迁移 - inductive transfer
● 多任务学习 - multi-task learning
● 知识的巩固 - knowledge consolidation
● 上下文相关学习 - context sensitive learning
● 基于知识的归纳偏差 - knowledge-based inductive bias
● 元学习 - meta learning
● 增量学习 - and incremental/cumulative learning
另外,进展及 Open Source Toolkit 可以参考:http://www.cse.ust.hk/TL/index.html
二. 迁移学习分类
迁移学习(Transfer Learning)根据 领域 和 任务的相似性,可以这样划分:

我们根据 源Domain和目前Domain 之间的关系,源Task 和 目标Task之间的关系,以及任务方法更详细的整理为下表:
源Domain &
目标Domain
源Task &
目标Task
源Data & 目标Data
任务方法
传统机器学习
相同
相同
有标签 | 有标签
迁移学习
归纳式迁移学习
相同/相关
相关
多任务学习 - 有标签 | 有标签
自我学习 - 无标签 | 有标签
分类回归
直推式迁移学习
相关
相同
有标签 | 无标签
分类回归
无监督迁移学习
相关
相关
无标签 | 无标签
聚类降维
实际上,归纳式迁移学习 是应用最广泛的一种方法,从这点上看,迁移学习更适合 有标签的应用域。
根据技术方法,我们将迁移学习的方法划分为:
说明
归纳式
直推式
无监督
基于样本
的迁移学习
通过调整 源Domain的标签(辅助) 和 目标Domain标签的权重,协同训练得到目标模型。
典型方法:TrAdaBoost
√
√
基于特征
的迁移学习
找到 “好”特征 来减少源Domain和目标Domain之间的不同,能够降低分类、回归误差。
典型方法:Self-taught learning,multi-task structure learning
√
√
√
基于参数
的迁移学习
发现源Domain和目标Domain之间的共享参数或先验关系。
典型方法:Learning to learn,Regularized multi-task learning
√
基于相关性
的迁移学习
建立源Domain和目标Domain之间的相关知识映射。
典型方法:Mapping 方法
√
迁移学习方法虽然在学术有很多研究工作,实际上在应用领域并不算成熟,这本身就是一个很大的命题,关于迁移学习的条件 和 本质也并未形成一套正统的体系来引领研究方向,更多的也是在实验摸索。
迁移学习 目前面临如下几个问题:
1. 哪种情况适合做迁移学习? - What
这里先给个自己的理解:
分类和回归问题是比较适合做迁移学习的场景,有标签的源数据是最好的辅助。
2. 该选择哪种方法? - Which
简单而行之有效的方法是首选,领域在快速发展,也不必拘泥算法本身,改善结果才是硬道理。
3. 如何避免负迁移? - How
迁移学习的目标是改善目标域的 Task效果,这里面 负迁移(Negative Transfer)是很多研究者面临的一个问题,如何得到行之有效的改进,避免负迁移是需要大家去评估和权衡的。
三. 经典算法 TrAdaBoost
TrAdaBoost 算法是基于 样本迁移的 开山之作,由 戴文渊 提出,有着足够的影响力放在第一位来进行讲解。
论文下载:Boosting for Transfer Learning
算法的基本思想是 从源 Domain 数据中 筛选有效数据,过滤掉与目标 Domain 不match的数据,通过 Boosting方法建立一种权重调整机制,增加有效数据权重,降低无效数据权重,下图是 TrAdaBoost 算法的示意图(截图来自于 庄福振 - 迁移学习研究进展):

TrAdaBoost 算法比较简单,用一句话概括就是 从过期数据里面 找出和目标数据最接近的样本数据。
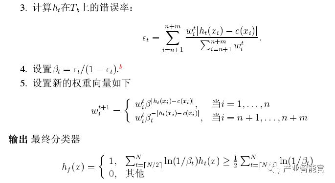
来看 TrAdaBoost 的算法步骤:


这里需要说明的一点就是 权重的更新方式,对于辅助样本来讲,预测值和标签越接近,权重越大;而对于目标数据则是相反,预测值和标签差异越大,权重越大。这种策略狠容易理解,我们想找到辅助样本中 和 目标数据分布最接近的样本,同时放大目标样本Loss的影响,那么理想的结果就是:
目标样本预测值与标签尽量匹配(不放过一个没匹配好的数据),辅助样本在前面的基础上筛选出最 match(权重大的) 的部分。
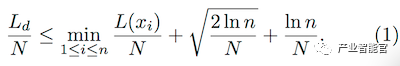
作者在后面给出了理论证明,这里有两个公式(来证明算法收敛):

因篇幅问题,这里就不再展开了(和作者说的一样),有兴趣可以参考原Paper,看下实验结果:

实验发现,当 同分布数据(目标数据)占比当低于0.1时,算法效果明显,当比例超过 0.1时,TrBoost 退化为 SVM 的效果。
这又是一个显而易见的结论,我们认为大于0.1时,仅仅依靠 目前数据就足够完成样本训练,这种情况下,辅助样本的贡献可以忽略。
另外,当 目标数据 和 辅助数据 差别比较大时,该方法是不 Work的,印证了最初的假设,这里不再展开证明。
最后,给出网友提供的C代码:【下载地址】
四. 多任务学习
多任务学习(Multi-Task Learning, MTL)是一种同时学习多个任务的机器学习方法,该方法由来已久,和深度学习没什么关系。
如果非要把它 和深度学习加上一个 link,我们可以这样来表示:
input1 -> Hidden1-> H1-> Out1 input1 -> Out1
input2 -> Hidden2-> H2-> Out2 ==> input2 -> Hidden123 -> H123 -> Out2
input3 -> Hidden3-> H3-> Out3 input3 -> Out3
也比较好理解,相当于把多个 Task网络进行合并,同时训练多个任务,这种情况并不鲜见,比如以下2个方向:
1)目标检测 - 复合多任务
目标检测是 分类问题+回归问题的组合,这是一个典型的 Multi-Task,比如:
Detection=Classification+Location
Mask RCNN = Classification+Location+Segmentation
检测问题前面描述的比较多了,这里就不再贴图了。
2)特征提取
多任务特征提取,多个输出,这一类问题代表就是 数据结构化,特征识别。
下图是港中文 汤晓鸥组发表的TCDCN(Facial Landmark Detection by Deep Multi-task Learning),很多讲 Multi-Task的软文都拿出来说,我们也借用一下。
在这里 Multi-Task 被同时用作 人脸关键点定位、姿态估计和属性预测(比如性别、年龄、人种、微笑?戴眼镜?)
多任务学习适用于这样的情况:
1)多个任务之间存在关联,比如行人和车辆检测,对于深度网络也可以理解为有部分共同的网络结构;
2)每个独立任务的训练数据比较少,单独训练无法有效收敛;
3)多个任务之间存在相关性信息,单独训练时无法有效挖掘;
可以看一下这篇 Tutorial:www.public.asu.edu/~jye02/Software/MALSAR/MTL-SDM12.pdf
关于多任务学习的应用,比如 分类任务下的二级分类,人脸识别等,大家可以更进一步了解。

人工智能赛博物理操作系统
AI-CPS OS
“人工智能赛博物理操作系统”(新一代技术+商业操作系统“AI-CPS OS”:云计算+大数据+物联网+区块链+人工智能)分支用来的今天,企业领导者必须了解如何将“技术”全面渗入整个公司、产品等“商业”场景中,利用AI-CPS OS形成数字化+智能化力量,实现行业的重新布局、企业的重新构建和自我的焕然新生。
AI-CPS OS的真正价值并不来自构成技术或功能,而是要以一种传递独特竞争优势的方式将自动化+信息化、智造+产品+服务和数据+分析一体化,这种整合方式能够释放新的业务和运营模式。如果不能实现跨功能的更大规模融合,没有颠覆现状的意愿,这些将不可能实现。
领导者无法依靠某种单一战略方法来应对多维度的数字化变革。面对新一代技术+商业操作系统AI-CPS OS颠覆性的数字化+智能化力量,领导者必须在行业、企业与个人这三个层面都保持领先地位:
重新行业布局:你的世界观要怎样改变才算足够?你必须对行业典范进行怎样的反思?
重新构建企业:你的企业需要做出什么样的变化?你准备如何重新定义你的公司?
重新打造自己:你需要成为怎样的人?要重塑自己并在数字化+智能化时代保有领先地位,你必须如何去做?
AI-CPS OS是数字化智能化创新平台,设计思路是将大数据、物联网、区块链和人工智能等无缝整合在云端,可以帮助企业将创新成果融入自身业务体系,实现各个前沿技术在云端的优势协同。AI-CPS OS形成的数字化+智能化力量与行业、企业及个人三个层面的交叉,形成了领导力模式,使数字化融入到领导者所在企业与领导方式的核心位置:
精细:这种力量能够使人在更加真实、细致的层面观察与感知现实世界和数字化世界正在发生的一切,进而理解和更加精细地进行产品个性化控制、微观业务场景事件和结果控制。
智能:模型随着时间(数据)的变化而变化,整个系统就具备了智能(自学习)的能力。
高效:企业需要建立实时或者准实时的数据采集传输、模型预测和响应决策能力,这样智能就从批量性、阶段性的行为变成一个可以实时触达的行为。
不确定性:数字化变更颠覆和改变了领导者曾经仰仗的思维方式、结构和实践经验,其结果就是形成了复合不确定性这种颠覆性力量。主要的不确定性蕴含于三个领域:技术、文化、制度。
边界模糊:数字世界与现实世界的不断融合成CPS不仅让人们所知行业的核心产品、经济学定理和可能性都产生了变化,还模糊了不同行业间的界限。这种效应正在向生态系统、企业、客户、产品快速蔓延。
AI-CPS OS形成的数字化+智能化力量通过三个方式激发经济增长:
创造虚拟劳动力,承担需要适应性和敏捷性的复杂任务,即“智能自动化”,以区别于传统的自动化解决方案;
对现有劳动力和实物资产进行有利的补充和提升,提高资本效率;
人工智能的普及,将推动多行业的相关创新,开辟崭新的经济增长空间。
给决策制定者和商业领袖的建议:
超越自动化,开启新创新模式:利用具有自主学习和自我控制能力的动态机器智能,为企业创造新商机;
迎接新一代信息技术,迎接人工智能:无缝整合人类智慧与机器智能,重新
评估未来的知识和技能类型;
制定道德规范:切实为人工智能生态系统制定道德准则,并在智能机器的开
发过程中确定更加明晰的标准和最佳实践;
重视再分配效应:对人工智能可能带来的冲击做好准备,制定战略帮助面临
较高失业风险的人群;
开发数字化+智能化企业所需新能力:员工团队需要积极掌握判断、沟通及想象力和创造力等人类所特有的重要能力。对于中国企业来说,创造兼具包容性和多样性的文化也非常重要。
子曰:“君子和而不同,小人同而不和。” 《论语·子路》云计算、大数据、物联网、区块链和 人工智能,像君子一般融合,一起体现科技就是生产力。
如果说上一次哥伦布地理大发现,拓展的是人类的物理空间。那么这一次地理大发现,拓展的就是人们的数字空间。在数学空间,建立新的商业文明,从而发现新的创富模式,为人类社会带来新的财富空间。云计算,大数据、物联网和区块链,是进入这个数字空间的船,而人工智能就是那船上的帆,哥伦布之帆!
新一代技术+商业的人工智能赛博物理操作系统AI-CPS OS作为新一轮产业变革的核心驱动力,将进一步释放历次科技革命和产业变革积蓄的巨大能量,并创造新的强大引擎。重构生产、分配、交换、消费等经济活动各环节,形成从宏观到微观各领域的智能化新需求,催生新技术、新产品、新产业、新业态、新模式。引发经济结构重大变革,深刻改变人类生产生活方式和思维模式,实现社会生产力的整体跃升。
产业智能官 AI-CPS
用“人工智能赛博物理操作系统”(新一代技术+商业操作系统“AI-CPS OS”:云计算+大数据+物联网+区块链+人工智能),在场景中构建状态感知-实时分析-自主决策-精准执行-学习提升的认知计算和机器智能;实现产业转型升级、DT驱动业务、价值创新创造的产业互联生态链。


长按上方二维码关注微信公众号: AI-CPS,更多信息回复:
新技术:“云计算”、“大数据”、“物联网”、“区块链”、“人工智能”;新产业:“智能制造”、“智能农业”、“智能金融”、“智能零售”、“智能城市”、“智能驾驶”;新模式:“财富空间”、“数据科学家”、“赛博物理”、“供应链金融”。
官方网站:AI-CPS.NET
本文系“产业智能官”(公众号ID:AI-CPS)收集整理,转载请注明出处!
版权声明:由产业智能官(公众号ID:AI-CPS)推荐的文章,除非确实无法确认,我们都会注明作者和来源。部分文章推送时未能与原作者取得联系。若涉及版权问题,烦请原作者联系我们,与您共同协商解决。联系、投稿邮箱:erp_vip@hotmail.com
本文来自互联网用户投稿,文章观点仅代表作者本人,不代表本站立场,不承担相关法律责任。如若转载,请注明出处。 如若内容造成侵权/违法违规/事实不符,请点击【内容举报】进行投诉反馈!

