科大奥瑞物理实验——光栅单色仪实验
实验名称:光栅单色仪实验
1. 实验目的:
- 熟悉光栅单色仪的基本结构和原理,掌握光栅单色仪的发展与应用。
- 通过单色仪定标和测量钠光灯、汞灯、氢氘灯光谱,熟悉光栅单色仪实验方法。
- 理解原子能级跃迁规律、能级差和跃迁几率,掌握计算光谱里德伯常数的方法。
2. 实验器材:
钠灯、汞灯
氦氖灯
电源
光栅光谱仪
电脑
3. 实验原理
光栅光谱仪是利用衍射作为色散元件,因此光栅作为分光器件就成为决定光栅光谱仪的性能的主要因素。
1、衍射光栅:
现代衍射光栅的种类非常多,按照工作方式分为反射光栅和透射光栅;按照表面形状可分为平面光栅和球面光栅;按照制造方法可分为刻划光栅、复制光栅和全息光栅;按照刻划形状可分为普通光栅、闪耀光栅和阶梯光栅等。在光谱仪中,多使用各种形式的反射光栅。以下以反射光栅为例作介绍。在一块平整的玻璃或者金属片的表面刻划出一系列平行、等宽、等距离的刻线,就制成了一块透射式或者反射式的衍射光栅,如图1所示反射式衍射光栅:图中b为刻划宽度,d为两相邻刻划线间的距离,称为光栅常数。一般的光栅的刻划密度在每毫米数百线到数千线之间,一块中等尺寸的光栅总的刻划线在104―105左右。

工作原理:单缝衍射和多缝干涉
入射光照射在光栅上时,光栅上每条刻划线都可看成为一宽度极窄的线状发光源。由于衍射效应,这种极窄光源发出的光分布在空间很大的角度范围内(并不遵循光学反射定律)。但是不同刻划线发出的光有一定的相位差,由于干涉效应,使入射光中不同波长成分分别出现在空间不同方向上,也就是说入射光发生了色散。由此可见,衍射光栅的色散实质上是基于单个刻划线对光的衍射(单缝衍射)和不同刻划线衍射光之间的干涉(多缝干涉),并且多缝干涉决定各种波长的出射方向,单缝衍射则决定它们的强度分布。
2)光栅方程
设有一束光以入射角θ。射向一块衍射光栅,则只有满足下式的一些特殊角度θm 下,才有光束衍射出来

上式即为著名的光栅方程,式中θ。为入射角, θm为衍射角,d为光栅常数,m=0,±1,±2 …,称为衍射级次。式中正负号的使用规定是:当θ。 和 θm在光栅法线同侧时,取正号,反之,则取负号。根据光栅方程,可以分析出在单色光、复色光入射的情况下,光栅衍射光的特点:(a)单色光入射时,光栅将在(2m+1)个方向上产生相应级次的衍射光。其中只有m=0的零级衍射光才是符合反射定律的光束方向,其他各级衍射光均对称地分布在零级衍射光的两侧。级数越高的衍射光,离零级衍射越远。(b)复色光入射时,同样产生(2m+1)个级次的衍射光。但是在同一级衍射光中,波长不同的光衍射角又各不相同,长波长的衍射角大。就是说,复色光经光栅衍射后产生的是(2m+1)个级次的光谱。当m=0时,不管什么波长都将在的方向衍射出来,即零级光谱是没有色散的。
图2给出了在复色光入射下,衍射光栅产生各级光谱的情形。从图中下部给出的光栅光谱可以看出,各级光谱之间有一定的重叠。例如波长600 nm的一级衍射光,波长为300 nm的二级衍射光和波长为200 nm的三级衍射光…,都出现在同一衍射方向上。理论上,各级光谱是完全重叠的,即波长为 λ的一级衍射光,将和波长 λ/m为的m级衍射光出现在同一衍射方向上。实际上,由于被测光源的波长和光谱仪及探测器的响应总有一定的范围,因此谱级重叠情况不会像理论预计那样严重。但是实际测量中,确实要注意由于邻近谱级重叠所造成的干扰。

强度分布
光栅方程只说明了各级衍射的衍射方向,下面再来分析一下这些衍射光的强度分布情况,按照多缝衍射的理论,在强度为I。的入射光照射下,光栅衍射光的强度分布为:


式(1-2)中的A为单缝衍射对光强的分布影响,称为单缝衍射因子;B为多缝干涉对光强分布的影响,称为多缝干涉因子。如图3(b)所示,多缝干涉因子决定各级衍射方向。光栅衍射光的实际强度和方向则如图3(c)所示,相当于多缝干涉因子受单缝衍射因子调制的结果。即(1-2)所表示的情况。



2、光栅的色散和分辨本领
(1)光栅的角色散:
从光栅方程可以得到光栅的角色散为:



小时,光栅的反射作用加强。因此只有在提高N的同时也增大光栅宽度W,才是提高光栅分辨率的有效方法。
3、闪耀光栅
闪耀光栅是以磨光的金属板或镀上金属膜的玻璃板为坯子,用劈形钻石尖刀在其上面刻画出一系列锯齿状的槽面形成的光栅(注1:由于光栅的机械加工要求很高,所以一般使用的光栅是由该光栅复制的光栅)。其槽面和光栅平面之间的有一倾角称为闪耀角。如图5所示。通过调整倾角和选择适当的入射条件,它可以将单缝衍射因子的中央主极大调整到多缝干涉因子的较高级位置上去,即我们所需要的级次上去。因为多缝干涉因子的高级项(零级无色散)是有色散的,而单缝衍射因子的中央主极大集中了光的大部分能量,这样做可以大大提高光栅的衍射效率,从而提高了测量的信噪比。

当入射光与光栅面的法线n 的方向的夹角为j(见图2)时,光栅的闪耀角为q b,取一级衍射项时,对于入射角为j,而衍射角为q时,光栅方程式为:

因此当光栅位于某一个角度时(j、q 一定),波长l与d成正比。本次实验所用光栅(每毫米1200条刻痕,一级光谱范围为200 nm—900 nm, 刻划尺寸为64´64 mm2)。当光栅面与入射平行光垂直时,闪耀波长为570 nm。 由此可以求出此光栅的闪耀角为21.58°。当光栅在步进电机的带动下旋转时可以让不同波长以现对最强的光强进入出射狭缝,从而测出该光波的波长和强度值。(注意计算时角度的符号规定和几何光学方向为闪耀波长的方向)
图6即为将衍射极大从零级(图6(a))调整到一级(图6(b))的情况。从这种意义上看,普通光栅也是一种闪耀光栅,只不过闪耀发生在没有色散的零级上。此外闪耀也是多级次的,即对应于一级的闪耀,必然对二级的,三级的闪耀。发生闪耀的波长称为闪耀波长,用表示。由此可知,闪耀波长和光栅常数和入射条件均有关。

4、吸收曲线测量原理:
当一束光入射到有一定厚度的介质平板上时,有一部分光被反射,另一部分光被介质吸收,剩下的光从介质板透射出来。设有一束波长为l,入射光强为I0的单色平行光垂直入射到一块厚度为d的介质平板上,如图7所示。如果从界面1射回的反射光的光强为IR,从界面1向介质内透射的光的光强I1,入射到界面2的光的光强为I2,从界面2出射的透射光的光强为IT,则定义介质板的光谱外透射率T和介质的光谱透射率Ii分别为

这里的IR,I1,I2和IT都应该是光在界面1和界面2上以及介质中多次反射和透射的总效果。

通常,介质对光的反射,折射和吸收不但与介质有关,而且与入射光的波长有关。这里为简单起见,对以上及以后的各个与波长有关的量都忽略波长标记,但都应将它们理解为光谱量。光谱透射率Ti与波长l的关系曲线称为透射曲线。在介质内部(假定介质内部无散射),光谱透射Ti与介质厚度d有如下关系:

式中,a 称为介质的线性吸收系数,一般也称为吸收系数。吸收系数不仅与介质有关,而且与入射光的波长有关。吸收系数a与波长l的关系曲线称为吸收曲线。
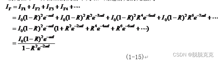
设光在单一界面上的反射率为R,则透射光的光强为

式中,IT1, IT2,…分别表示光从界面2第一次透射,第二次透射,…的光的光强。
所以

通常,介质的光谱透射率Ti和吸收系数a是通过测量同一材料加工成的(对于同一波长a相同),表面性质相同(R相同)但厚度不同的两块试样的光谱外透射率后计算得到的。设两块试样的厚度分别为 和 , > ,光谱外透射率分别为 和 。由(1-16)式可得

在合适的条件下,单色仪测量输出的数值与照射到它上的光的强度成正比。所以读出测量的强度就可由下式计算光谱透射率和吸收系数:

式中,I2和I1分别表示试样厚度分别为d1和d2时单色仪测量的强度值。
4. 实验内容与步骤
1、 光栅单色仪的定标及汞灯光谱线测量
(1)阅读光栅光谱仪使用说明书,理解光谱仪的工作原理和工作界面中“参数设置”、“光谱扫描”、“读取数据”、“波长线性校正”、“检索”等功能键的意义,掌握获得光谱、读取光谱数据及保存光谱数据的方法。
(2)谱线的定标和测量;
适当选取上述实验参数,如“负高压”、“增益”等,点燃钠灯,以钠灯589.0nm和589.6nm谱线为基准,运行软件进行波长修正;
(3)选择合适的实验参数,获得钠灯光谱;
选取“工作方式”、“工作范围”、工作状态“中的相关参数,运行软件,获取钠双线完全分离的光谱曲线(谱线波长在490nm~620nm),测量钠光谱线四个线系的波长值,计算里德伯常数;
(4)测量汞光灯光谱曲线,获取高压汞灯的各个分离峰的光谱曲线和幅值;
使用汞灯作为光源,运行软件,选取“工作方式”、“工作范围”、工作状态“中的相关参数,进行测量,获得Hg光谱曲线(谱线波长在360nm~585nm);
2、光栅单色仪的定标及氢氘灯光谱线测量
(1)阅读光栅光谱仪使用说明书,理解光谱仪的工作原理和工作界面中“参数设置”、“光谱扫描”、“读取数据”、“波长线性校正”、“检索”等功能键的意义,掌握获得光谱、读取光谱数据及保存光谱数据的方法。
(2)谱线的定标和测量;
适当选取上述实验参数,如“负高压”、“增益”等,点燃钠灯,以汞灯435.84nm谱线为基准,运行软件进行波长修正;
(3)测量氢氘灯光谱曲线;
使用氢氘灯作为光源,运行软件,选取“工作方式”、“工作范围”、工作状态“中的相关参数,进行测量,获得氢氘巴尔末线系在可见光范围内的4对谱线(谱线波长在400nm-660nm 之间);测量氢氘巴尔末线系可见光区各波长值;计算氢氘里德伯常数值。
5. 实验记录



6. 数据处理及误差分析
根据里德伯常数计算公式:

代入数据计算里德伯常数得:

进一步,就算相对误差得:

7. 思考题及实验小结
- 解释光电倍增管的工作原理,为什么随着副高压的绝对值越大,采集的灵敏度会显著提高?
答:光电倍增管的工作原理:入射光透过光窗照射到光电阴极上,引起阴极发射光电子,光电子在电子光学输入系统和第–倍增极加速电压作用下加速、聚焦并打上第一倍增极,产生几倍于入射光电子的二次电子,二次电子在相邻倍增极间的电场作用下,依次加速、聚焦,打上后一极倍增极,产生第二极二次电子,第三极二次电离等等,直到末极倍增极的二次电子被阳极所收集,输出被放大数万倍的电流,使原来十分微弱的光信号得到数倍增强。副高压越大,起始光电子越多,故灵敏度提高。
2.解释钠灯、氢氘灯和汞灯的光谱的区别和道理?
答:钠灯的光谱特征:钠在被激发放电时,其辐射的谱线主要集中在钠原子的特征谱线589nm到589. 6nm附近,是可见光的黄光波段。汞灯的光谱特征:汞的气压越高,发射的光也由线状光谱向带状光谱过度。氢氘灯光谱特征:连续的紫外光谱。三种灯的发光机理都大致相同,都是通过原子的激发,但是由于原子的结构不同,其各个能级的能量也就不同,发出的光的波长也就会不同。
3.解释光栅单色仪工作原理;
答:单色仪是一种分光仪器,它通过色散元件的分光作用,把复色光分解成它的单色组成。根据采用色散元件的不同,可分为棱镜单色仪和光栅单色仪两大类,其应用的光谱区很广,从紫外、可见、近红外一直到远红外。对不同的光谱区域,一般需换用不同的棱镜或光栅。
平面光栅单色仪的工作原理是光源发出的光均匀地照亮在入射狭缝S1上,S1位于离轴抛物镜的焦面上。光经过M1平行照射到光栅上,并经过光栅的衍射回到M1,经M1反射的光经过M2会聚到S2出射狭缝上。由于光栅的衍射作用,从出射狭缝出来的光线为单色光。当光栅转动时,从出射狭缝里出来的光由短波到长波依次出现。

本文来自互联网用户投稿,文章观点仅代表作者本人,不代表本站立场,不承担相关法律责任。如若转载,请注明出处。 如若内容造成侵权/违法违规/事实不符,请点击【内容举报】进行投诉反馈!
