状态空间分析方法(控制理论学习笔记)
状态空间方程的建立
基本概念:
状态:动力学系统的状态定义为信息的集合
状态变量:确定动力学系统状态的最小一组变量
状态向量:由n个状态变量组成的向量
状态空间:以状态变量位坐标构成的空间
状态方程:描述状态变量之间及其和输入之间的函数关系的一阶微分方程。
输出方程:描述系统输入变量和状态变量(有时包括输入)之间幻术关系的代数方程。
状态空间表达式:状态方程与输出方程的组合。
状态空间方程的建立
对于一个单输入单输出的线性定常系统
选取状态变量:
根据这个加上原式又可以得到
写成矩阵的形式就可以构建两个方程,即:
其中:
在下面也会提到,这里的矩阵A也叫做可控标准型。
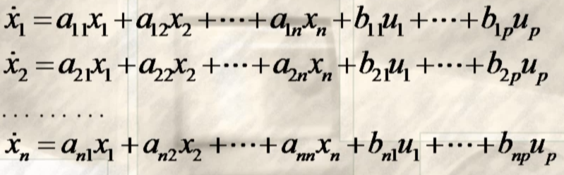
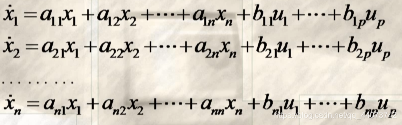
对于一个多输入-多输出的系统
有:





本文来自互联网用户投稿,文章观点仅代表作者本人,不代表本站立场,不承担相关法律责任。如若转载,请注明出处。 如若内容造成侵权/违法违规/事实不符,请点击【内容举报】进行投诉反馈!
