【数据结构与算法】数据结构算法--广度优先算法搜索(Python实现)
数据结构算法--广度优先算法搜索
- 广度优先搜索(breadth - firsr search ,BFS)
- 最短距离:
- 图
- 广度优先搜索:
- 广度优先搜索的解决思路(一)含有路径:
- 广度优先搜索的解决思路(二)最短路径:
- 队列:
- 散列表:
- 散列表顺序:
- 有向图和无向图:
- 实现算法:
- 创建队列
- 遍历队列
- 查找代码:
- 注意事项:
广度优先搜索(breadth - firsr search ,BFS)
参考书籍:算法图解

最短距离:
广度优先搜索让你能找够两样东西之间的最短距离,但是最短距离的含义有很多 :
- 编写象棋计算算法,计算最少走多少步就可以获胜。
- 编写拼写检查,计算最少编辑多少个地方就可以将错拼单词改写成正确的单词
- 根据你的人际关系网络找到最有可能的单身异性
图
- 图是由结点和边构成,一个结点可能和众多的节点直接相连,这些结点被称为邻居
- 图用于模拟不同东西如何相互连接
广度优先搜索:
- 广度优先搜索是一种用于图的查找算法:
针对两类问题:
1. 从节点A出发,有前往结点B的路径吗?
2. 从节点A出发,前往结点B那条路径最短?
广度优先搜索的解决思路(一)含有路径:
假如你正在寻找一个富婆当女朋友,需要寻找一个单身富婆的联系方式,为此你可以在你的朋友圈中寻找:
1. 首先你先创建一个朋友名单
2. 依次检查出名单每个人,看是否单身有钱且异性
3. 假若没有朋友是符合富婆判定条件,则必须在你朋友中寻找
4. 将朋友的朋友加入名单
5. 依次检查出朋友名单每个人,看是否单身有钱且异性
这种算法将搜遍你整个人际关系网络,这就是广度优先算法
广度优先搜索的解决思路(二)最短路径:
那么第二类问题:谁是关系最近的富婆,我们把朋友看作一层关系,朋友的朋友就是二层关系
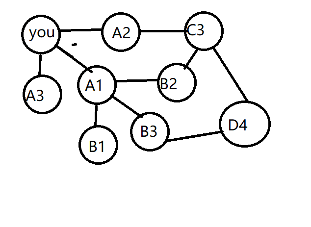
我们假设 A1 A2 A3 是一度关系(朋友) B1 B2 B3 是二度关系 (朋友的朋友):
- 那么一度关系胜过二度关系,二度关系胜过三度关系
- 先从一度关系名单寻找,再从二度关系名单寻找
- 按照这种关系寻找,只有给每个名单添加一个顺序,有一种可以实现这种数据结构 那就是是
队列
队列:
队列是一种先进先出的数据结构(Fist In Fist Out) FIFO ,与栈后进后出相对LIFO(Last IN)
散列表:
散列表可以将键映射到值,这里我们将节点映射到其他所有邻居
表示这种映射关系的Python代码如下
graph = {}
graph["you"]=["A1","A2","A3"]

- 此时你被映射到了一个数组里 包含了“你”的和你的所有邻居(“A1 A2 A3”)
若是更加复杂的关系
graph = {}
graph["you"]=["A1","A2","A3"]
graph["A1"]=["B1","B2","B3"]
graph["B2"]=["C3"]
graph["C3"]=["A2"]
graph["C3"]=["D4"]
graph["B3"]=["D4"]

散列表顺序:
- 键-值的添加顺序先后顺序本来就不重要 散列表是无序的,因此添加键-值对的,顺序无关紧要。
有向图和无向图:
如果图形中的所有边都是无向的,那么我们说这个图是无向图。同样,一个有方向的图
也称为有向图,其所有边都是有向的。一个图若同时有有方向的边和无方向的边,则通常称为混合图(我们此时的朋友关系基本指无向图(互有关系))

实现算法:
创建队列
首先创建一个队列,在Python中,可以使用函数deque来创建一个双端队列
form collections import deque
search_queue = deque() # 创建一个队列
search_queue += graph["you"] #将你的邻居加入这个搜索路径
此时别忘了,graphp[“you”]是一个数组,其中包括你所有朋友A1 A2 A3都会加入搜索列表中
遍历队列
while search_queue: # 只要队列不为空person =search_queue.popleft() # 就取出其中的第一个人if person_is_seller(person): # 检查这个人是不是富婆print person + " is a mango seller!" # 是富婆return Trueelse:search_queue += graph[person] #不是富婆,将所有朋友都加入搜索的序列return False # 队列中没人是富婆
查找代码:
这个代码搜寻的通过查找有没有 名称‘8’ 来发现富婆
def person_is_seller(name):return name[-1]='8'
注意事项:
这个代码会不断执行,直到满足了以下两个条件:
- 找到了富婆
- 队列变成空的,这·一位着人际关系网中没又富婆
这样便会衍生出一个问题:
-
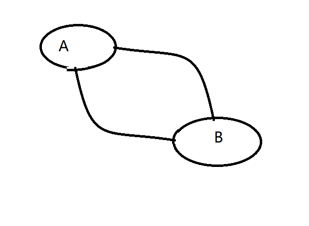
B2 和C3 以及A1都是好朋友,在遍历检查中,A1检查了一遍,C3又检查了一便,因此算法做了无用功
-
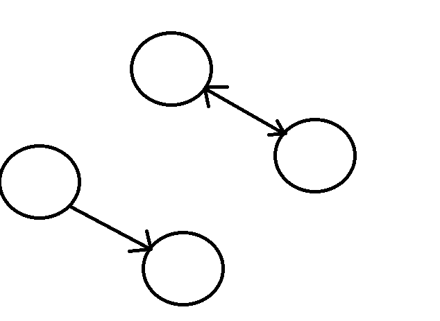
假如你用这张图来表示:则会陷入了无限的循环之中:

-
为此我们将设置一个列表 来记录检查过的人
考虑这一点之后,完整的广度优先搜索算法如下:
from collections import deque
def search(name):search_queue = deque()search_queue += graph[name]searched = [] # 这个数组用来记录被检查过的人while search_queue:person = search_queue.popleft()if person not in searched:if person_is_seller(person):print (person + "is a fupo!")return Trueelse:search_queue += graph[person]searched.append(person)return Falsedef person_is_seller(name):return name[-1] == '8'
本文来自互联网用户投稿,文章观点仅代表作者本人,不代表本站立场,不承担相关法律责任。如若转载,请注明出处。 如若内容造成侵权/违法违规/事实不符,请点击【内容举报】进行投诉反馈!
