AI(机器学习):一、高等数学基础知识点
目录
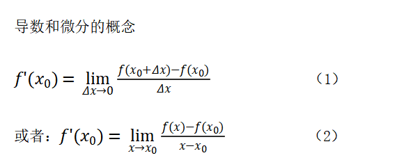
1.导数的定义:
2.左右导数导数的几何意义和物理意义
3.函数的可导性与连续性之间的关系
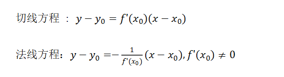
4.平面曲线的切线和法线
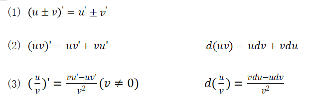
5.四则运算法则
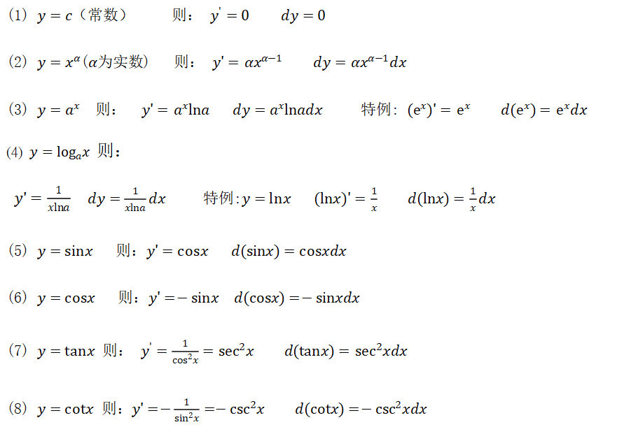
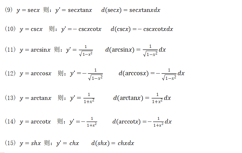
6.基本导数与微分表
7.复合函数,反函数,隐函数以及参数方程所确定的函数的微分法
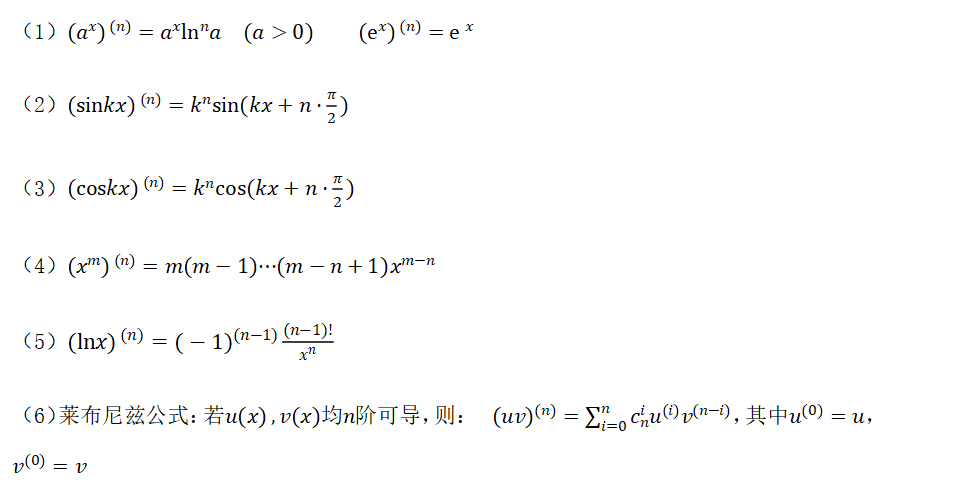
8.常用高阶导数公式
9.微分中值定理,泰勒公式
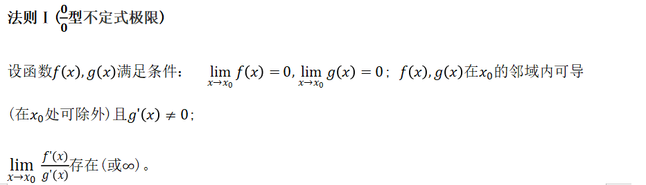
10.洛必达法则
11.泰勒公式
12.函数单调性的判断
13.渐近线的求法
14.函数凹凸性的判断
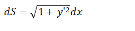
15.弧微分
16.曲率
17.曲率半径
1.导数的定义:

2.左右导数导数的几何意义和物理意义

3.函数的可导性与连续性之间的关系
4.平面曲线的切线和法线

5.四则运算法则

6.基本导数与微分表


7.复合函数,反函数,隐函数以及参数方程所确定的函数的微分法

8.常用高阶导数公式

9.微分中值定理,泰勒公式


10.洛必达法则



11.泰勒公式

12.函数单调性的判断

13.渐近线的求法
14.函数凹凸性的判断

15.弧微分

16.曲率

17.曲率半径

本文来自互联网用户投稿,文章观点仅代表作者本人,不代表本站立场,不承担相关法律责任。如若转载,请注明出处。 如若内容造成侵权/违法违规/事实不符,请点击【内容举报】进行投诉反馈!


