单细胞转录组绘图视频教程
我在B站发布了“单细胞转录组绘图”系列视频教程,一共分了9集,共计57分钟,适合入门single cell和想进阶的小伙伴。
1. 数据预处理and肿瘤样本去不去批次

(这个图是没有去批次的)
2. tsne或者umap降维图的一般画法

3. 左下角的坐标轴怎么画

其实是用线段代替了坐标轴
4. 散点图加等高线加二维密度图

nature那篇的绘图还有个大圆圈,最后把它俩组合起来就可以了,后期全靠AI
5. 计算基因集分数_投影图

6. 热图展示marker基因

7. 气泡图展示marker基因

8. 堆叠小提琴图展示marker基因

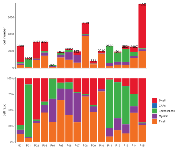
9. 条形图展示细胞亚群占比and质控图


共重号回复
20211114有代码和示例数据的获取方式 因水平有限,有错误的地方,欢迎批评指正!
本文来自互联网用户投稿,文章观点仅代表作者本人,不代表本站立场,不承担相关法律责任。如若转载,请注明出处。 如若内容造成侵权/违法违规/事实不符,请点击【内容举报】进行投诉反馈!
