编译原理笔记(哈工大视频总结)
编译原理笔记--哈工大教学视频
- 第一章 绪论
- 一、什么是编译
- 二、编译系统的结构
- 三、词法分析概述
- 四、语法分析概述
- 五、语义分析概述
- 六、中 间 代 码 生 成 及编 译 器 后 端 概 述
- 第二章 语言及其文法
- 一、基本概念
- 二、文法的定义
- 三、语言的定义
- 四、文法的分类
- 四、CFG(上下文无关文法)的分析树
- 第三章 词法分析
- 一、正则表达式
- 二、正则定义
- 三、有穷自动机
- 四、有穷自动机的分类
- 五、从正则表达式到NFA
- 六、从NFA到DFA的转换
- 第四章 语法分析
- 一、自顶向下分析概述
- 二、文法转换
- 三、LL(1) 文法
- 四、FIRST集、FOLLOW集和SELECT集的计算
- 五、 递归的预测分析法
- 六、非递归的预测分析法
- 七、预测分析中的错误处理
- 八、自底向上分析概述
- 九、LR分析法概述
- 十、LR(0)分析
- 十一、LR(0)分析表构造
- 十二、SLR分析
- 十二、LR(1)分析法
- 十四、LALR分析法
- 十五、二义性文法的LR分析
- 十六、LR分析中的错误处理
- 第五章 语法制导翻译
- 一、语法制导翻译概述
- 二、语法制导定义SDD
- 三、 SDD的求值顺序
- 四、S-属性定义与L-属性定义
- 五、语法制导翻译方案SDT
- 六、在非递归的预测分析过程中进行翻译
- 七、在递归的预测分析过程中进行翻译
- 第六章 中间代码生成
- 一、类型表达式
- 二、声明语句的翻译
- 三、简单赋值语句的翻译
- 四、数组引用的翻译
- 五、控制流语句及其SDT
- 六、布尔表达式及其SDT
第一章 绪论
一、什么是编译

编译:将高级语言(源语言)翻译成汇编语言或机器语言(目标语言)的过程
二、编译系统的结构

人工英汉翻译的例子(分析部分,与源语言有关):
In the room , he broke a window with a hammer.
- 词法分析
- 语法分析
将各单词按照语法组成小短语- 语义分析
各短语组成句子- 生成中间表示
独立于具体的语言
三、词法分析概述
词法分析任务:
从左向右逐行扫描源程序的字符,识别出各个单词,确定单词的类型。将识别出的单词转换成统一的机内表示词法单元 (token) 形式

种别码:
对每个词的定位,比如我们可以把数字这个词的种别码定义为10,把标识符的种别码定义为11。
四、语法分析概述
语法分析:
语法分析器(parser) 从词法分析器输出的token 序列中识别出各类短语 ,并构造语法分析树(parse tree)
语法分析树描述了句子的语法结构
例子:
存在文法(由一系列规则构成):
< D > → < T > < IDS >;
< T > → int | real | char | bool
< IDS > → id | < IDS >, id
【D:声明语句。T:类型。IDS:标识符系列】
输入:
int a , b , c ;
输出:语法分析树
五、语义分析概述
语义分析的主要任务:
-
收集标识符的属性信息

收集到的信息存放在符号表中。
(NAME分为两个部分:在字符串表中的位置+长度)
-
语义检查

六、中 间 代 码 生 成 及编 译 器 后 端 概 述

常用的中间表示形式
- 三地址码

三地址指令的表示
- 四元式(op, y, z, x)
- 三元式
- 间接三元式
- 语法结构树/语法树

目标代码生成器:
以源程序的中间表示形式作为输入,,并把它映射到目标语言。
【目标代码生成的一个重要任务是为程序中使用的变量合理分配寄存器】
代码优化

第二章 语言及其文法
一、基本概念
字母表:

例如:二进制字母表:{0,1}
字母表上的运算
-
乘积

-
n次幂
字母表的0次幂:空串ε -
正闭包

-
克林闭包
多一个空串ε
串:


串的运算:
-
连接

-
空串是连接运算的单位元

-
前缀与后缀

-
幂运算
串的0次幂是空串
二、文法的定义

- VT: 终结符集合
终结符:不可再分的字符或串
非终结符:可再分的字符或串
-
VN:非终结符集合

-
P: 产生式集合
产生式: 描述了将终结符和非终结符组合成串的方法
产生式的简写:
- S:开始符号
例子:
符号约定:
三、语言的定义
推导和归约
推导:用产生式的右部替换产生式的左部
【正步数推导,既至少一步推导。步数为1的推导为直接推导】.
归约:推导的逆过程
句子和句型
句型:
句型既可以包含终结符 ,又可以包含非终
结符,也可能是空串。
句子:句子是不包含非终结符的句型。

语言:

【文法解决了有限符号表示无穷语言的问题】
四、文法的分类
-
0型文法(无限制文法/短语结构文法)

-
1型文法(上下文有关文法)

-
2型文法(上下文无关文法)
左侧是一个非终结符

-
3型文法(正则文法)
右线性文法:右部左侧是个终结符号串
左线性文法:右部右侧是个终结符号串


四种文法之间的关系:

四、CFG(上下文无关文法)的分析树
上下文无关文法分析树:

边缘:分析树从左到右排列叶节点得到的符号串
句型的短语:
直接短语:子树高度为2的边缘

二义性文法:

例子:

二义性文法的判断:

第三章 词法分析
一、正则表达式
正则表达式 (Regular Expression ,RE) 是一种用来描述正则语言的更紧凑的表示方法。
例子:
正则表达式:
每个正则表达式 r 定义(表示)一个语言 ,记为L( r ) 。
正则表达式的定义:


RE的代数定律:

二、正则定义
正则定义: 给一些RE命名 ,并在之后的RE 中像使用字母表中的符号一样使用这些名字。


三、有穷自动机
有穷自动机:
系统只需要根据当前所处的状态和当前面临的输入信息就可以决定系统的后继行为 。每当系统处理了当前的输入后,系统的内部状态也将发生改变。

FA模型:

FA的表示:转换图
FA(接收)的语言:
给定输入串x , 如果存在一个对应于串x 的从初始状态到某个终止状态的转换序列,则称串x被该FA接收。
串abbaabb被图中的FA接收
最长子串匹配原则
在到达某个终态之后,只要输入带上还有符号,DFA就继续前进,以便寻找尽可能长的匹配。
四、有穷自动机的分类
确定的FA(DFA):
在任意状态下,对于任意的输入都拥有唯一确定的状态走向。

例子:
非确定的FA(DFA):
在某状态下,对于某输入有两种及以上状态走向。

例子:状态0对于输入a有两个状态走向
DFA和NFA的等价性:
既DFA可以向NFA转换,反之亦然。
带有和不带有“ε-边”的NFA的等价性,既带“ε-边”的NFA的可以向不带有“ε-边”的NFA转换。
五、从正则表达式到NFA
转换图示


例子:
六、从NFA到DFA的转换
子集构造法

先确定开始状态,再查看转换表该状态分别经过a、b所能到达的状态。能通过a到达的状态集合统归为一个新的状态。类似的对新状态包含的状态分别对a、b进行考察,通过a到达的状态集合再归为一个新状态。b边同理。

【每进入一个(新)状态,都需要观察这个新状态通过每一种边能到达的状态,新状态通过某一边(比如a边)所能到达的状态成为一个集合,这个集合又成为一个(新)状态;以此类推】
词法错误检测
如果当前状态与当前输入符号在转换表对应项中的信息为空,而当前状态又不是终止状态 ,则 调用错误处理程序。
错误处理
错误恢复策略

第四章 语法分析
一、自顶向下分析概述
自顶向下的分析:从分析树的顶部(根节点)向底部(叶节点)方向构造分析树。

自顶向下的语法分析采用最左推导方式
.
自顶向下语法分析的通用形式: 递归下降
每一个非终结符对于一个过程。如果一个非终结符有多个候选式,那可能需要回溯,效率低。
最左推导: 总是选择每个句型的最左非终结符进行替换。
最右归约是最左推导的逆过程。
最右推导:

在自底向上的分析中,总是采用最左归约的方式,∴最左归约称为规范归约,而最右推导相应地称为规范推导。
最左推导和最右推导的唯一性:
只有唯一 一颗最右(左)推导分析树。

预测分析:
预测分析不需要回溯,是一种确定的自顶向下分析方法。
二、文法转换
问题一:回溯现象
问题二:无限循环

消除直接左递归:

若有间接左递归,带入即可。

提取左公因子:

三、LL(1) 文法
S_文法:(简单的确定性文法)

重点:
- 非终结符的后继符号集FOLLOW:
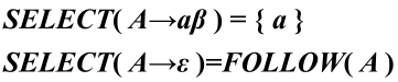
可能在某个句型中紧跟在A后边的终结符a的集合,记为FOLLOW(A)- 产生式的可选集SELECT:
【SELECT(A→β)不会有ε】
SELECT( A→ε )=FOLLOW( A ):当A推导为ε,则后面输入的应该是能接在A后面的终结符集合
- 串首终结符集FIRST
串首终结符:串首第一个符号,并且是终结符。简称首终结符。
LL(1)文法:
保证同一非终结符的不同候选式的SELECT不同。

当 β可推导ε时,SELECT(A → β)包含FOLLOW(A),SELECT(A → α)要与之不同,只能当FIRST(A)与之无交集。【既当用A → β→ε时,怎么保证不是用A →α?得保障使用A →α后,首字母不会出现在使用A → β→ε后,后面会出现得字母集合内。】另一个同理
LL(1)名字解析

四、FIRST集、FOLLOW集和SELECT集的计算
- FIRST集
看左向右看

【FIRST集合之间有相互依赖关系,比如FIRST(E)依赖于FIRST(T)】
FIRST算法:
- FOLLOW集
文法的开始符号E是一个句型,也是这个句型的最右符号
从右向左看

【产生式1:FOLLOW(T)=FIRST(E’);E’可推导为空,所以FOLLOW(T)=FOLLOW(E);FOLLOW(E’)=FOLLOW(E)】
算法:
-
SELECT集

【第一条产生式:SELECT(1) = FIRST(T);第三条产生式:SELECT(3) = FOLLOW(E’);】
相同左部产生式SELECT集不同,是LL(1)文法 -
预测分析表

五、 递归的预测分析法
递归的预测分析法是指:在递归下降分析中,根据预测分析表进行产生式的选择。
例子:
通俗来讲,就是递归去创建函数判断。函数中的判断条件依赖于预测分析表(知道用哪个产生式,然后进行if else 判断)
六、非递归的预测分析法

与有穷自动机的区别:
有穷自动机不具备存储功能。
上式文法就不能用有穷自动机判断是否正确。
.
非递归预测分析法有一个栈,具备存储记忆功能
预测分析法实例:
栈顶指针是非终结符,就查预测表,用对应产生式调换。是始终符就与输入比较。只有最后栈顶指针指向"$ "且输入为 “$”才算匹配成功。
递归的预测分析法vs.非递归的预测分析法

七、预测分析中的错误处理

处理方式:恐慌模式
- .

同步词法单元:
根据相应非终结符的FOLLOW集得到同步语法单元。
大概意思是,你栈中的非终结符+输入的非终结符在预测表中找不到对应的产生式。但是这个终结符的FOLLOW集有输入的终结符号。那我忽略这个栈中非终结符即可。
- .

栈中的非终结符+输入的非终结符在预测表中找不到对应的产生式,也没有同步词法单元。说明这个非终结符后面就不可能推出这个终结符,把输入的终结符去掉。
例子:


八、自底向上分析概述

例子:
每次将输入移入到栈需判断栈中是否存在可以归约的句型。
【栈内符号串 + 剩余输入 =“规范句型”】
句柄:句型的最左直接短语。
移入-归约分析的工作过程

九、LR分析法概述
LR 文法是最大的、可以构造出相应移入- 归约语法分析器的文法类。

LR分析法的基本原理:

归约过程:
- 初始状态:
当前状态0,输入时b;查表结果为s4,输入b和状态4入栈。
当前状态4,输入a;查表结果为r3;采用第三条产生式进行归约,状态4和b出栈,B入栈。
归约后查看状态:0,栈中非终结符为B,查表结果为goto 2。2号状态入栈。
之后以此类推。
.
2.最终状态
此时,状态1,输入$。指向acc成功归约。



十、LR(0)分析

待约项目:需要往后看等待被归约的项目
归约项目:当前需要归约的项目
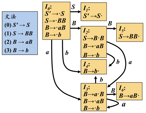
增广文法:

目的:避免开始符指向多个产生式。
例子:
文法中的项目的等价
当圆点后面存在非终结符时,就存在等价项目。
对于S’→ · S,看(1)产生式得到等待S归约,其实是在等待BB;所以S’ → · S和S→ · BB等价;看(2)、(3)产生式得知,等待B归约其实是在等待aB或者b,所以S→ · BB、B→ · aB和B→ · b等价。
将所有等价项目归为一个集合
后续项目

LR(0)自动机
划分等价项目,然后根据归约符号指向对应的后续项目。
根据图画出分析表:
【某状态只有入边则归约:r;出边状态转换:S】
十一、LR(0)分析表构造
对(十)的代码表示,上面懂了就行
-
计算给定项目集I的闭包CLOSURE()函数

【CLOSURE()就是找等价项目,对给定集合I中的每一个项根据文法规则G找到对应的等价项目。如:对于集合I中的A→a · Bβ,去文法G中找到左部为B的产生式:B→r,并将B→ · r加入到集合I中。】 -
找后续项目集闭包GOTO()函数

【找后续项目集闭包:GOTO(I,X)函数,对I中的每一个项的状态A→a · Xβ进行后移为A→aX · β,并找其等价项目】 -
从开始符号S’构造LR(0)项目集族
【一开始C项目集族中只有S’→ · S的闭包,既只有一个状态集I0,在通过循环依次将C项目集中每一个状态的后续项目集状态加入C】 -
根据状态集构C造LR(0)分析表

-
LR(0)分析过程中的冲突
【I2的E→T · 表示要归约T为E,而T→T · *F表示要移进】
同时也存在归约/归约冲突
如果LR(0)分析表中没有语法分析动作冲突,那么给定的文法就称为LR(0)文法。
不是所有CFG(上下文无关文法)都能用LR(0)方法进行分析,也就是说,CFG不总是LR(0)文法
十二、SLR分析
SLR分析用于解决LR(0)分析过程中的冲突
- SLR分析法的基本思想
【当前输入字符在{ai}中,不在FOLLOW(Bi)就移进;不在{ai}中,在FOLLOW(Bi)就移归约】
- 移进-归约冲突
对于状态2,当输入符号是 * 时。它不在E的FOLLOW集,既我归约后面不可能出现 * ,所以不进行归约,而是移进- 归约-归约冲突
对于状态2的两个归约项目,得查看FOLLOW集。
十二、LR(1)分析法
-
SLR存在问题:

-
规范LR(1)项目

- LR(1) 中的1指的是项中的第二个分量长度
- 在形如[A→α · β, a] 且β ≠ ε 的项中,展望符a没有任何作用
- .
【用展望符表示下一个输入符号,既只有下一个符号是a,才能用该产生式归约。保证使用该产生式归约后,a可以被其他产生式归约】
- 等价LR(1)项目

例子:
【后续状态与原状态的展望符一致】
如果除展望符外,两个LR(1)项目集是相同的,则称这两个项目集是相同的
十四、LALR分析法
- LALR分析的基本思想
【将展望符外,LR(1)项目集相同的归约状态合并】
例子:
- 合并同心项集时产生归约-归约冲突
【设置咱玩符就消除了移进冲突】
合并同心项集后,虽然不产生冲突,但可能会推迟错误的发现
例子:
- LALR(1)的特点

十五、二义性文法的LR分析
-
二义性文法都不是LR文法

-
二义性文法得LR(0)分析器
存在移入-归约冲突
解决:
设置优先级:I7状态中,乘法状态优先级高,所以当下一个输入字符是 * 时,应该进行移进。而当下一个输入字符是+时,遵循左结合应当进行归约。
状态I8代表栈顶是E * E,是个乘法,无论下一个字符是+还是 * ,都应当进行归约。
十六、LR分析中的错误处理
-
语法错误的检测
当LR分析器在查询分析表并发现一个报错条目时,就检测到了一个语法错误 -
错误恢复策略

-
恐慌模式错误恢复

-
短语层次错误恢复

状态I0时,等待的终结符号是 ( 或 id ,而当前输入输入符号是+,*,$时,应该是缺少了终结符id;所以将id压入栈并转到状态3。若当前字符是 ) ,则说明少了冗余的),将 ) 弹出。
第五章 语法制导翻译
一、语法制导翻译概述
-
什么是语法制导翻译
将语法分析和语义分析放在一起做

-
基本思想
(1)如何表示语义信息?

【设置属性】
(2)如何计算语义属性?
【语法分析的产生式的时候顺带用语义规则来计算语义属性】
- 两个概念:
(1)语法制导定义(SDD)

例子:
【为每一个符号设置属性,并对每一条产生式设置语义分析】
(2)语法制导翻译方案(SDT)
SDD的升级版

【对于第一条产生式,当分析出T的属性值type,就可以分析树L的inh属性值;
对于最后一条:在分析L1之前就可以根据L分析出L1的inh属性值。】
二、语法制导定义SDD
- 文法符号的属性
(1)综合属性
在分析树结点 N 上的非终结符A 的综合属性只能通过N的子结点或N本身的属性值来定义

终结符可以具有综合属性。终结符的综合属性值是由词法分析器提供的词法值,因此在SDD中没有计算终结符属性值的语义规则。【终结符综合属性不需要计算】
(2)继承属性
在分析树结点 N 上的非终结符A 的继承属性只能通过N的父结点、N的兄弟结点或N本身的属性值来定义
【终结符没有继承属性】
例子
【E:表达式;T:项;F:因子】
- 属性文法

例子:
三、 SDD的求值顺序
- 依赖关系
依赖图

例子:
- 属性值的计算顺序
【根据依赖图找拓扑排序】

四、S-属性定义与L-属性定义
- S-属性定义


很适合自底向上语法分析
例子:
【左边符号属性都依赖于右边符号】
- L-属性定义( L属性的SDD / L-SDD)

正式定义:
例子:
第一行的T’.inh依赖于左边的非终结符,符合定义。
五、语法制导翻译方案SDT
-
SDT可在语法分析过程中实现

-
S-SDD转换为SDT

例子:
- .
- S-SDD文法的LR分析
在自底向上语法分析栈中实现桌面计算器
(1)
I0遇到输入符号3进入I5,将状态5和符号d入栈,d的属性值是词法分析器给的3,3入栈;
I5是归约状态, 将状态5和符号d出栈,将符号F入栈,回到I0状态,I0遇到F进入I3,将状态3入栈。
以此类推
- 将L-SDD转换为SDT

【继承属性放在它自己前面,综合属性放最右边】
例子:
- L-属性定义的SDT 实现

六、在非递归的预测分析过程中进行翻译
非递归—表驱动
-
扩展语法分析栈

-
例子:
得根据动作里属性依赖关系判定在该属性出栈后的去留

动作和1产生式右部符号位置,判断执行代码

七、在递归的预测分析过程中进行翻译

【综合属性做返回值,因为综合属性依赖于子节点->函数执行完才能指定;依赖属性做形参,因为以来函数依赖于兄弟节点或父节点或自身,到->到此函数了应该早就知道了】

总的递归函数:

第六章 中间代码生成
一、类型表达式
-
基本类型是类型表达式
【可以为类型表达式命名, 类型名也是类型表达式】 -
将类型构造符作用于类型表达式可以构成新的类型表达式
(1)数组构造符array
(2)指针构造符pointer
(3)笛卡尔乘积构造符X
(4)函数构造符→
【Ti:参数 ; R:返回值】
(5)记录构造符record

例子:
二、声明语句的翻译
-
局部变量的存储分配


-
变量声明语句的SDT
【从声明变量的SDT中,用语义分析分析并记录各变量的类型和相对地址】 -
例子
例1:
【该文法是LL(1)文法,自顶向下,从左到右进行推导】
例2:
【B–>基本类型,用t,w记录对应信息。当C推导为空串,信息不会丢失】

三、简单赋值语句的翻译
-
主要任务

-
赋值语句的SDT
【||表示连接。E的三地址指令要从子节点获取,子节点凑得也得从字节的获取。然后从底依次保存向上传递给根,太麻烦了引入增量翻译】 -
增量翻译
||去掉,用gen就行。有个地方专门保存code

该文法是LR文法,用LR自动机分析即可
分析后表达式存在右边
四、数组引用的翻译
-
目标:找到某一元素的地址


-
带有数组引用的赋值语句的翻译

-
数组引用的SDT
【该文法属于S-SDD文法,采用自底向上归约分析】
五、控制流语句及其SDT
-
控制流语句的代码结构

-
控制流语句的SDT




六、布尔表达式及其SDT
-
布尔表达式的基本文法

-
逻辑运算符被翻译成跳转指令


-
布尔表达式的SDT



本文来自互联网用户投稿,文章观点仅代表作者本人,不代表本站立场,不承担相关法律责任。如若转载,请注明出处。 如若内容造成侵权/违法违规/事实不符,请点击【内容举报】进行投诉反馈!















































【用展望符表示下一个输入符号,既只有下一个符号是a,才能用该产生式归约。保证使用该产生式归约后,a可以被其他产生式归约】






























