Php 线性 非线性,线性和非线性数据结构之间的区别是什么
数据结构是一种存储和管理数据的方式,有两种类型的数据结构:线性和非线性数据结构。下面本篇文章就来给大家介绍一下线性和非线性数据结构之间的区别,希望对大家有所帮助。

什么是线性数据结构?
线性数据结构是按顺序具有数据元素的数据结构。在线性数据结构中,相邻元件彼此连接。但是,这些数据结构不能更好地利用内存;因此,它可能导致内存浪费。
数组,链表,堆栈和队列是线性数据结构的一些常见示例。数组存储相同数据类型的数据元素。链表是包含一组节点的数据结构; 每个节点存储另一个节点的数据和地址。这些节点连接在一起形成类似于链的结构。
什么是非线性数据结构?
非线性数据结构以非顺序方式存储数据。它在子元素和父元素之间形成层次关系。换句话说,数据项彼此相连,在它们之间创建关系。无法按顺序插入元素,删除元素或浏览元素。通常,这些数据结构的内存效率更高。
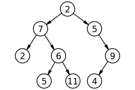
树和图是最常见的非线性数据结构。树数据结构表示通过边连接的节点,二叉树是树数据结构。二叉树中的每个节点最多可以有两个子节点。
例如,在下面的二叉树中,2是父节点,而7和5是子节点。

此外,图是另一种由节点和边组成的数据结构。
线性和非线性数据结构之间的区别
1、存储方式
在线性数据结构中,数据以线性顺序组织,其中元素一个接一个地链接。
在非线性数据结构中,数据元素不是按顺序存储的,而是按层次关系存储的。

2、遍历数据
在线性数据结构中遍历数据很容易,因为它可以使所有数据元素一次遍历,但是一次只能直接访问一个元素。
在非线性数据结构中,节点不是顺序访问的,并且不能一次遍历。
3、内存利用率
在线性数据结构中,并没有为我们提供有效的内存利用率。,而在非线性数据结构中,可以获得高效的内存利用率。
4、复杂度
线性数据结构相对简单,并且易于使用。非线性数据结构是复杂的数据结构,在某种程度上证明是棘手的。
5、示例
线性数据结构的示例是阵列,队列,堆栈,链表等。而非线性数据结构的示例是树、图表等。
以上就是本篇文章的全部内容,希望能对大家的学习有所帮助。更多精彩内容大家可以关注php中文网相关教程栏目!!!
本文来自互联网用户投稿,文章观点仅代表作者本人,不代表本站立场,不承担相关法律责任。如若转载,请注明出处。 如若内容造成侵权/违法违规/事实不符,请点击【内容举报】进行投诉反馈!
