麦克纳姆轮运动原理_麦克纳姆轮介绍
先看个大号Mecanum轮的应用图

国内某军工产品,国产骄傲啊全向移动意味着可以在平面内做出任意方向平移同时自转的动作。为了实现全向移动,一般机器人会使用「全向轮」(Omni Wheel)或「麦克纳姆轮」(Mecanum Wheel)这两种特殊轮子。优缺点才是使用可能性关键麦克纳姆轮(Mecanum Wheel)
优点:全方向移动、外形酷。缺点:贵、加工难(九成都是金属的)、重、速度慢、寿命不长(相对于传统胶轮来说)、每轮子需要电机单独驱动。全向轮(Omni wheel)
优点:在大的机器人上可以使其在原地转向时大大减少横向摩擦力(增加寿命)、便宜(九成都是塑料的)、简化结构(有三个全向轮组成的圆形底盘设计)、有些设计可以只用两个电机驱动。缺点:可以被横向推着走(横向无法固定)、承重不行(也可能是设计问题)两者共同缺点:- 会在横向上卸力(特殊情况)、需要在比较平坦的地面使用;
- 容易产生震动!尤其麦轮,震动的比较厉害,普遍都需要有指南针和陀螺仪矫正。
常见的有橡胶,聚氨酯和尼龙;(一般来说,由于聚氨酯优异的物理性能,使用较多)
聚氨酯推荐MDI体系和NDI体系,常见外企厂商:朗盛,科思创,科意,ERA等,国内厂商,淄博一诺威,华天等

学霸
继续
往
下
看
!
“第三部分:Mecanum轮的计算理论和安装根据具体情况:自己选看
计算过程如下,供参考,学霸可点开大图验算:
近年来,麦轮的应用逐渐增多,特别是在 Robocon、FRC 等机器人赛事上。这是因为麦克纳姆轮可以像传统轮子一样,安装在相互平行的轴上。而若想使用全向轮完成类似的功能,几个轮毂轴之间的角度就必须是 60°,90° 或 120° 等角度,这样的角度生产和制造起来比较麻烦。所以许多工业全向移动平台都是使用麦克纳姆轮而不是全向轮,比如这个国产的叉车:全向移动平台 麦克纳姆轮叉车 美科斯叉车另外一个原因,可能是麦轮的造型比全向轮要酷炫得多,看起来有一种不明觉厉的感觉……
视频为Mecanum wheel工作原理再看个现场版的,很适合狭小空间超重作业麦轮的安装方法
麦轮一般是四个一组使用,两个左旋轮,两个右旋轮。左旋轮和右旋轮呈手性对称,区别如下图(左右轮一定要分清楚)。
安装方式有多种,主要分为:X-正方形(X-square)、X-长方形(X-rectangle)、O-正方形(O-square)、O-长方形(O-rectangle)。其中 X 和 O 表示的是与四个轮子地面接触的辊子所形成的图形;正方形与长方形指的是四个轮子与地面接触点所围成的形状。
- X-正方形:轮子转动产生的力矩会经过同一个点,所以 yaw 轴无法主动旋转,也无法主动保持 yaw 轴的角度。一般几乎不会使用这种安装方式。
- X-长方形:轮子转动可以产生 yaw 轴转动力矩,但转动力矩的力臂一般会比较短。这种安装方式也不多见。
- O-正方形:四个轮子位于正方形的四个顶点,平移和旋转都没有任何问题。受限于机器人底盘的形状、尺寸等因素,这种安装方式虽然理想,但可遇而不可求。
- O-长方形:轮子转动可以产生 yaw 轴转动力矩,而且转动力矩的力臂也比较长。是最常见的安装方式。
麦轮底盘的正逆运动学模型
以O-长方形的安装方式为例,四个轮子的着地点形成一个矩形。正运动学模型(forward kinematic model)将得到一系列公式,让我们可以通过四个轮子的速度,计算出底盘的运动状态;而逆运动学模型(inverse kinematic model)得到的公式则是可以根据底盘的运动状态解算出四个轮子的速度。需要注意的是,底盘的运动可以用三个独立变量来描述:X轴平动、Y轴平动、yaw 轴自转;而四个麦轮的速度也是由四个独立的电机提供的。所以四个麦轮的合理速度是存在某种约束关系的,逆运动学可以得到唯一解,而正运动学中不符合这个约束关系的方程将无解。先试图构建逆运动学模型,由于麦轮底盘的数学模型比较复杂,我们在此分四步进行:①将底盘的运动分解为三个独立变量来描述;②根据第一步的结果,计算出每个轮子轴心位置的速度;③根据第二步的结果,计算出每个轮子与地面接触的辊子的速度;④根据第三部的结果,计算出轮子的真实转速。一、底盘运动的分解我们知道,刚体在平面内的运动可以分解为三个独立分量:X轴平动、Y轴平动、yaw 轴自转。如下图所示,底盘的运动也可以分解为三个量:
表示 X 轴运动的速度,即左右方向,定义向右为正;
表示 yaw 轴自转的角速度,定义逆时针为正。以上三个量一般都视为四个轮子的几何中心(矩形的对角线交点)的速度。
二、计算出轮子轴心位置的速度定义:
为轮子轴心的运动速度矢量;
为轮子轴心沿垂直于 
同理可以算出其他三个轮子轴心的速度。
三、计算辊子的速度根据轮子轴心的速度,可以分解出沿辊子方向的速度
。其中
可以无视的,而
其中
是沿辊子方向的单位矢量。
四、计算轮子的速度从辊子速度到轮子转速的计算比较简单:
根据上图所示的 a和 b定义,有
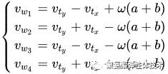
结合以上四个步骤,可以根据底盘运动状态解算出四个轮子的转速:
以上方程组就是O-长方形麦轮底盘的逆运动学模型,而正运动学模型可以直接根据逆运动学模型中的三个方程解出来,此处不再赘述。
(友情提示:①理论太枯燥,自己酌情参考;②该部分来源于网络整理,如有侵权请联系本公众号)
本文来自互联网用户投稿,文章观点仅代表作者本人,不代表本站立场,不承担相关法律责任。如若转载,请注明出处。 如若内容造成侵权/违法违规/事实不符,请点击【内容举报】进行投诉反馈!
