mysql varchar最多可以存多少汉字_MySql的这几个坑你踩过没?真是防不胜防!
一、前言
对于从事互联网开发的同学来说,mysql可谓是再熟悉不过的了。无论是DBA、开发或测试,基本上天天要跟它打交道,很多同学可能已经身经百战了。但是,笔者遇到过的这些坑不知道你们都经历过没?
二、有符号和无符号
以前我们公司在项目开发之初制定开发规范时,对mysql的int类型字段定义成有符号,还是无符号问题专门讨论过。
观点一:
对于能够确定里面存的值一定是正数的字段,定义成UNSIGNED无符号的,可以节省一半的存储空间。创建无符号字段的语句如下:
create table test_unsigned(a int UNSIGNED, b int UNSIGNED);观点二:
建议都定义成有符号的,使用起来比较简单,mysql默认int类型就是有符号的,创建有符号字段的语句如下:
create table test_signed(a int);insert into test_signed values(-1);执行结果:

在字段a中插入-1,我们看到是可以操作成功的。
这两个方案,经过我们激烈讨论之后,选择了使用有符号定义int类型字段。为什么呢?
create table test_unsigned(a int UNSIGNED, b int UNSIGNED);insert into test_unsigned values(1,2);先创建test_unsigned表,里面包含两个无符号字段a和b,再插入一条数据a=1,b=2
select b - a from test_unsigned;没有问题,返回1
但是如果sql改成这样:
select a - b from test_unsigned;执行结果:
报错了。。。
所以,在使用无符号字段时,千万要注意字段相减出现负数的坑,建议还是使用有符号字段,避免不必要的问题。
三、自动增长
建过表的同学都知道,对于表的主键可以定义成自动增长的,这样一来,就可以交给数据库自己生成主键值,而无需在代码中指定,而且生成的值是递增的。一般情况下,创建表的语句如下:
create table test_auto_increment (a int auto_increment primary key);但如果改成这样的会怎样?
create table test_auto_increment (a int auto_increment);执行结果:

报错了。。。
截图中没有全部显示出来,完整的提示语是这样的:
1075 - Incorrect table definition; there can be only one auto column and it must be defined as a key, Time: 0.006000意思是自动增长字段,必须被定义成key,所以我们需要加上primary key。
此外,还有一个有趣的实验:
insert into test_auto_increment(a) values (null),(50),(null),(8),(null);大家猜猜执行结果会是什么样的?

第一个null插入1,然后按真实的数字大小排序后插入,后面两个null,是在最大的数字上面加1。
再看看这条sql主键中插入负数,能执行成功吗?
insert into test_auto_increment values(-3);答案是可以,主键可以插入负数。

还有这条sql呢,主键中插入0?
insert into test_auto_increment values(0);执行结果:

四、字段长度
我们在创建表的时候,给字段定义完类型之后,紧接着需要指定字段的长度,比如:varchar(20),biginit(20)等。那么问题来了,varchar代表的是字节长度,还是字符长度呢?
create table test_varchar(a varchar(20));insert into test_varchar values('苏三说技术');select length(a),CHARACTER_LENGTH(a) from test_varchar;执行后的结果:

我们看到中文的5个字length函数统计后长度为15,代表占用了15个字节,而使用charcter_length函数统计长度是5,代表有5个字符。所以varchar代表的是字符长度,因为有些复杂的字符或者中文,一个字节表示不了,utf8编码格式的一个中文汉字占用3个字节。不同的数据库编码格式,占用不同的字节数对照表如下:

mysql除了varchar和char是代表字符长度之外,其余的类型都是代表字节长度。
int(n) 这个n表示什么意思呢?从一个列子出发:
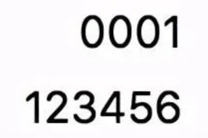
create table test_bigint (a bigint(4) ZEROFILL);insert into test_bigint values(1);insert into test_bigint values(123456);select * from test_bigint;ZEROFILL表示长度不够填充0
执行结果:

mysql常用数字类型字段占用字节数对照表:

从表中可以看出bigint实际长度是8个字节,但是我们定义的a显示4个字节,所以在不满4个字节时前面填充0。满了4个字节时,按照实际的长度显示,比如:123456。但是,需要注意的是,有些mysql客户端即使满了4个字节,也可能只显示4个字节的内容,比如显示:1234。
所以bigint(4),这里的4表示显示的长度为4个字节,实际长度还是8个字节。
五、忽略大小写
我们知道在英文字母中有大小写问题,比如:a 和 A 是一样的吗?我们认为肯定是不一样的,但是数据库是如何处理的呢?
create table test_a(a varchar(20));insert into test_a values('a');insert into test_a values('A');select * from test_a where a = 'a';执行结果是什么呢?

本以为只会返回a,但是实际上把A也返回了,这是为什么呢?

该表默认的Collation是utf8_general_ci,这种Collation会忽略大小写,所以才会出现查询小写字母a的值,意外把大写字母A的值也查询出来了。
那么如果我们只想查询出小写a的值该怎么办?先看看mysql支持哪些Collation?
show collation;
从上图中我们可以找到utf8_bin,这个表示二进制格式的数据,我们设置成种类型的试试。

修改一下字段类型
ALTER TABLE test_a MODIFY COLUMN a VARCHAR(20) BINARY CHARACTER SET utf8 COLLATE utf8_bin DEFAULT NULL;再查看一下数据
select * from test_a where a = 'a';
执行结果:

果然,结果对了。
六、特殊字符
笔者之前做项目的时候,提供过一个留言的功能,结果客户端用户输入了一个emoji表情,直接导致接口报错了。

最后定位原因是由于当时数据库和表的字符编码都是用的utf8,mysql的utf8编码的一个字符最多3个字节,但是一个emoji表情为4个字节,所以utf8不支持存储emoji表情。
该如何解决这个问题呢?
将字符编码改成utf8mb4,utf8mb4最多能有4字节,不过,在mysql5.5.3或更高的版本才支持。
在mysql 的配置文件 my.cnf 或 my.ini 配置文件中修改如下:
[client]default-character-set = utf8mb4[mysqld]character-set-server = utf8mb4collation-server = utf8mb4_general_ci重启MySQL,然后使用以下命令查看编码,应该全部为utf8mb4,这是修改整个数据库的编码方式。
SHOW VARIABLES WHERE Variable_name LIKE 'character_set_%' OR Variable_name LIKE 'collation%';ji结果为:

也可以单独修改某张表的编码方式:
alter table test_a convert to character set utf8mb4 collate utf8mb4_bin;以及修改某个字段的编码方式:
ALTER TABLE test_a CHANGE a a VARCHAR(20) CHARACTER SET utf8mb4 COLLATE utf8mb4_bin;此外,建议同学们在创建数据库和表的时候字符编码都定义成utf8mb4,避免一些不必要的问题。
如果这篇文档对您有所帮助的话,麻烦关注一下我的公众账号:程序IT圈,或者帮忙点赞或转发,坚持原创不易,您的支持是我坚持最大的动力。后面我会分享更多更实用的干货,谢谢大家的支持。
相信自己,没有做不到的,只有想不到的
在这里获得的不仅仅是技术!


喜欢就给个“在看”
本文来自互联网用户投稿,文章观点仅代表作者本人,不代表本站立场,不承担相关法律责任。如若转载,请注明出处。 如若内容造成侵权/违法违规/事实不符,请点击【内容举报】进行投诉反馈!
