计量经济学期末复习重点
计量重点
计量三大用途1。3
Three Major Uses of Econometrics计量经济学的三大用途
1. Describing economic reality 描述经济现实
2. Testing hypothesis about economic theory 对经济理论进行假设检验
3. Forecasting future economic activity 预测未来的经济活动
数据三类1.6
Three types of data for econometrics 计量经济学的三 类数据
1.Time series data are collected over time for the same unit (country, city, or other single aggregate economic unit.
时间序列数据:把反映某一总体特征的同一指标的数据,按照一定的时间顺序和时间间隔(如月度.季度.年度)排列起来,这样的统计数据称为时间序列数据。时间序列数据可以是时期数据,也可以是时点数据。
2.Cross-sectional data are collected for a sample over individuals, households, firms or other disaggregate economic entity at a point in time.
截面数据:同一时间(时期或时点)某个指标在不同空间的观测数据。
3.panel data contains elements of both time series and cross-sectional data.
面板数据:指时间序列数据和截面数据相结合的数据。如在具名手指调查中收集的对各个固定调查户在不同时期的调查数据。
最大特点:含有扰动项 为什么含有扰动项 测量误差等等
A stochastic error term is a term that is added to a regression equation to introduce all of the variation in Y that cannot be explained by that included in X0:
• Omitted (usually minor) influences on Y
• Measurement error on Y (and X0s)
• Incorrect functional form (The underlying theoretical equation might have a different
functional form than the one chosen for the regression.)
• Some purely random and totally unpredictable occurrences.
随机误差项是一个被添加到回归方程中的项,用于引入不能被X0中包含的Y的所有变化: - 遗漏的(通常是次要的)对Y的影响
- 对Y(和X0)的测量误差
- 不正确的函数形式(基础理论方程可能有一个与回归所选择的函数形式不同
- 一些纯粹的随机和完全不可预测的事件
计量用什么估计扰动项及方差:
扰动项方差=RSS/n-k-1
矩 Moment
一阶矩
二阶矩:方差
三阶矩:偏度
四阶矩:峰度
中心极限定理
The central limit theorem 中心极限定理
The central limit theorem (CLT) establishes that, for the most commonly studied scenarios, when independent random variables are added, their sum tends toward a normal distribution (commonly known as a bell curve) even if the original variables themselves are not normally distributed.
中心极限定理(CLT)规定,对于最常研究的情况,当独立随机变量相加时,其总和趋向于正态分布(通常称为钟形曲线),即使原始变量本身不是正态分布。


变换为标准正态
卡方分布
t分布
分子是标准正态 分母是卡方
样本均值 样本足够大满足正态 用样本方差替代总体方差
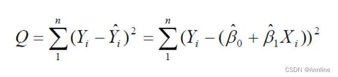
模型求解:最小二乘法 (残差平方和取最小)

普通最小二乘法(OLS)给出的判断标准是:二者之差的平方和最小

高斯马尔科夫定理(必考)完整论述3.1
包含7假设(模型是正确设定的(合适解释变量、合适函数形式) 扰动项期望值为0 解释变量是外生的 扰动项之间没有关联 扰动项是同方差的 解释变量之间不存在完全共线性 扰动项满足正态分布)
结论:当模型满足以上假设 使用OLS 得到的结果是最好的BLUE(对参数的估计量是最好的线性无偏估计量)
Assumption 1: Correct linear specification.
Assumption 2: Zero mean disturbances: E (εi) = 0.
Assumption 3: Exogenous independent variables. That is, all the independent
variables are uncorrelated with the error term:
Assumption 4: Uncorrelated errors:
. 
Assumption 5: Homoscedastic errors. That is, given any values of (X1i, · · · , Xki) the error terms εi have a constant variance that does not depend on i :

Assumption 6: No “perfect multicollinearity” (between independent variables).That is, no explanatory variable can be written as a linear function of other explanatory variables.
Gauss-Markov Theorem: Under Assumptions 1-6, the OLS estimators of β’s have minimum variance among the class of unbiased linear estimators, (i.e., they’re the best linear unbiased estimators (BLUE)).
三个平方和(TSS=ESS+RSS):
Y的观测值围绕其均值的总离差(total variation)可分解为两部分:一部分来自回归线(ESS),另一部分则来自随机势力(RSS)。
Total sum of squares (TSS) 总体平方和 n-1
Explained sum of squares (ESS) 回归平方和 k
Residual sum of squares (RSS) 残差平方和 n-k-1
可决系数R2统计量
拟合优度检验:对样本回归直线与样本观测值之间拟合程度的检验。
度量拟合优度的指标:判定系数(可决系数)R2
可决系数的取值范围:[0,1]
R2越接近1,说明实际观测点离样本线越近,拟合优度越高。


最小二乘法一阶条件的设定

参数估计量:

模型中X矩阵的设定

区间估计 方差-协方差矩阵

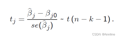
置信区间(必考)

t-test t检验:

Confidence interval 置信区间:

F-test F检验:

变量是否显著:检验前面的参数是否是0(不显著)
怎么算:算参数的置信区间(看是否包含0)、算t值(把贝塔=0带进去,看t在哪个范围,是否大于1.96 若是则处于拒绝域
检验参数是否=0.5?算t看是否在拒绝域
决定系数越大 说明模型可解释能力越强
自由度(要考):RSS:n-k-1 TSS:n-1 ESS:k

修正后的
、
联合检验(必考)

5.2解释变量选少了会怎样?X2很重要但被遗漏,导致对X1的估计产生bias

如果我们知道哪个变量被省略了,并且这个被省略的变量是可用的,那么将它包含在模型中
如果省略的变量不可用,我们可能会尝试找到与这个缺失变量密切相关的代理变量(例如,使用特定行业和职业中人员的平均培训信息)。或者至少标出偏置的方向,如果可能的话估计它的潜在大小。
简答题必考内容:5.14选择解释变量的4个准则

1变量是否有经济理论
2这个变量的t检验是否显著
3纳入该变量后,¯R2是否有所提高?
4纳入该变量后,其他变量的系数估计值是否有明显变化?
函数形式log()=log()后面的变量对前面1的有弹性
多项式形式:工资 经验值 不是线性 变化率不是一个常数 例子5.30
log-log:弹性
log-ln:增长率
多项式:经验
5.20了解一下
5.44如果选择了错误函数形式,怎么发现?Ramsey’s RESET法 要知道思想、步骤


则拒绝零假设
解释变量单独存在可以改变截距 (模型分析考)
可以用加法和乘法的方式引入虚拟变量,加法改变模型的截距项,乘法改变变量的斜率
为了检测遗漏相关变量的可能性,一种常见的做法是检查估计系数的符号,看看它们是否符合我们的期望或经济理论。如果没有,很可能是遗漏了一些相关的变量。下一步是使用偏差的方向来寻找相关变量。
6多重共线性是什么 最大的特征是什么
Multicollinearity多重共线性: If there is a correlation between two or more explanatory variables, it is called multicollinearity.
对于模型Yi=Bo+B1X1i+B2X2i+...+BkXki+Ui, i=1,2,...,n 其基本假设之一是解释变量X1,X2,...,Xk是相互独立的。如果某两个或多个解释变量之间出现了相关性,则称为多重共线性
多重共线性的最大特征:
(1) Coefficient estimators will remain unbiased
(2) The variances/standard errors of the coefficient estimators “blow up”
(3) The computed t-ratios will fall
(4) Coefficient estimates become very sensitive to the changes in specification and number of observations
(5) The overall fit of the model will be largely unaffected
(1) 系数估计值将保持无偏
(2) 系数估计值的方差/标准误差 "爆炸"
(3) 计算的t比率将下降
(4) 系数估计值对规格和观察数的变化变得非常敏感
(5) 模型的整体拟合度将基本不受影响
两个最重要的 用标准解VIF6.19的方法发现多重共线性
- High variance inflation factors (VIFs)

如何消除多重共线性?差分 do nothing
7序列相关 是什么 在时间序列中考 最常见一阶 高阶 式子是什么
怎么发现?Duibin waston!(必考)统计量处于0-4之间
正相关 下分布 上分布 负相关
黑色无结论区域
使用Duibin waston统计量的限制条件7.21
一阶序列相关εt = ρεt-1 + ut
回归必须包括一个截距项
回归不能包括一个滞后的因变量作为回归子

怎么消除:差分

8异方差性 是什么 怎么发现
8.21
用怀特检验发现异方差8.29(必考)很重要
Assume that we are considering testing heteroskedasticity in the following regression
Yi = β0 + β1X1i + β2X2i + β3X3i + εi
The null hypothesis is
H0 : εi exhibits no heteroskedasticity
and the alternative hypothesis is
H1 : εi exhibits heteroskedasticity
The White test has three basic steps:
1. Run the OLS regression. Retain the squared residuals ei2
2. Use these squared residuals to estimate the following auxiliary regression:
ei2= α0 + α1X1i + α2X2i + α3X3i + α4X1i 2 + α5X2i2 + α6X3i 2 +α7X1iX2i + α8X1iX3i + α9X2iX3i + ui.
3. Test the overall significance of the above auxiliary regression. To do this,
use the test statistic
Wn = nR2,
where n is the sample size, and R2 is the coefficient of determination from the auxiliary regression. Under the null of homoskedasticity, Wn follows the chi-square distribution with degrees of freedom p equal to the number of slope coefficients in the auxiliary regression. Reject the null of homoskedasticity at the α significance level if
Wn > χ2α (p) ,
where χ2α (p) is the upper α percentile of the χ2 (p) distribution.
9被解释变量是dummy variable的情况 使用logit probit
logit可以用两种写法

Probit
10联立方程组模型
解释变量内生:某解释变量与扰动项有关联 不能用OLS 找方法替代这个解释变量(找一个工具变量,与这个解释变量高度相关,且与扰动项无关)

什么是结构式 简约式

10.25例子 要知道什么是内生外生 什么是前定

用阶梯条件进行识别

Two-Stage Least Squares (2SLS):
2SLS is a method of systematically creating IVs to replace the endogenous explanatory
variables (e.g., in the simultaneous equations systems).
Let’s focus on estimating the parameters in the structural equation for Y1i
Y1i = α0 + α1Y2i + α2X1i + α3X2i + ε1i,
where Y2i is endogenous. 2SLS consists of two steps.
Step 1. Run the OLS for Y2i based on the reduced form of Y2i given earlier:
Y2i = π20 + π21X1i + π22X2i + π23X3i + v2i

Step 2. Run the OLS regression of (10) by substituting Y2i by b Y2i :
Properties of 2SLS
The theoretical studies of 2SLS is beyond the scope of our study. We now summarize some of the important properties of 2SLS estimators.
1. 2SLS estimators are still biased in finite samples but they are unbiased asymptotically.
2. 2SLS estimators have increased variance and standard errors when compared with the OLS estimators. This is the price to pay for bias reduction.
3. If the fit of the reduced-form equation is quite poor (low R2 in the first stage OLS estimation), then the performance of the 2SLS estimator may not be good even in large samples.
1. 2SLS估计器在有限样本中仍然是有偏的,但它们在渐进性上是无偏的。
2. 与OLS估计器相比,2SLS估计器的方差和标准误差都有所增加。这是为减少偏差所付出的代价。
3.如果缩减形式方程的拟合度很差(在第一阶段的OLS估计中R2很低),那么即使在大样本中2SLS估计器的性能也可能不理想。
11时间序列
重点 第一步 如何做格兰杰因果检验(必考)Granger Causality(两个方程)
Granger causality is a circumstance in which one time series variable consistently and predictably changes before another variable. It is important because it allows us to analyze which variable precedes or leads the other, and such leading variables are extremely useful for forecasting purpose.
To test whether variable X is Granger-cause variable Y, Granger (1969) suggests that we run the following regression:
Yt = β0 + β1Yt−1 + · · · + βpYt−p + α1Xt−1 + · · · + αpXt−p + εt.
The null hypothesis is
H0 : α1 = · · · = αp = 0,
i.e., X does not Granger-cause Y. We can use the F test for the above null hypothesis.
In the case of rejecting H0, we have evidence that X Granger-causes Y.
Similarly, one can test whether Y Granger-causes X by running.
Xt = γ0 + γ1Xt−1 + · · · + γpXt−p + δ1Yt−1 + · · · + δpYt−p + εt
and testing
H0 : δ1 = · · · = δp = 0.
People frequently write X ⇒ Y to mean X Granger-causes Y and X ; Y to mean X does not Granger-cause Y . Four scenarios:
• X ⇒ Y, Y ⇒ X, (bidirectional causality)
• X ⇒ Y, Y /= X, (unidirectional causality)
• X /=Y, Y ⇒ X, (unidirectional causality)
• X /= Y, Y /= X, (noncausality)


考虑x的以前值是否影响y的当期值
是什么关系?双向?单项?,,,11.8-

知识补充:简约式

伪回归
平稳必须要满足3个条件(期望值 方差是否常数,,,)
任意时刻二阶矩都存在。
期望值、方差为常数
两个时点的随机变量之间的自相关系数,只与与这两个时点的时间差有关,而不随时间的推移而改变。
判断是否平稳:贝塔1小于1就是平稳的
怎么发现是否平稳?11.16 Dickey-fuller检验
Dicky-Fuller Test for Unit Root 检验是否为稳态

11.18什么是协整
如果两组序列是非平稳的,但它们的线性组合可以得到一个平稳序列,那么我们就说这两组时间序列数据具有协整的性质
11.21时间序列的基本操作

期末不考面板数据
本文来自互联网用户投稿,文章观点仅代表作者本人,不代表本站立场,不承担相关法律责任。如若转载,请注明出处。 如若内容造成侵权/违法违规/事实不符,请点击【内容举报】进行投诉反馈!
