PTA-Python-第2章-2 计算分段函数[1] (10分)
点击链接PTA-Python-AC全解汇总
题目:
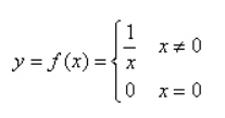
本题目要求计算下列分段函数f(x)的值:

输入格式:
输入在一行中给出实数x。
输出格式:
在一行中按“f(x) = result”的格式输出,其中x与result都保留一位小数。
输入样例1:
10
输出样例1:
f(10.0) = 0.1
输入样例2:
0
输出样例2:
f(0.0) = 0.0
我的代码:
x=float(input())
res=0
if x!=0:res= 1./x
print("f(%.1f) = %.1f"%(x,res))
本文来自互联网用户投稿,文章观点仅代表作者本人,不代表本站立场,不承担相关法律责任。如若转载,请注明出处。 如若内容造成侵权/违法违规/事实不符,请点击【内容举报】进行投诉反馈!
