Towards Open World Object Detection
摘要:
人类有识别环境中未知物体实例的本能。当相应的知识最终可用时,对这些未知实例的好奇心有助于了解它们。
这促使我们提出了一个新的计算机视觉问题,称为“开放世界目标检测”,模型的任务是:
- 1)在没有明确监督的情况下,将没有被引入的物体识别为“未知”物体,
- 2)当逐渐接收到相应的标签时,增量地学习这些识别出的未知类别而不忘记先前学习的类。
本文提出了一种基于对比聚类和基于能量的未知识别的开放世界目标检测算法。我们的实验评估和消融研究分析了ORE网络在实现开放世界目标方面的功效。作为一个有趣的研究结果,我们发现识别和描述未知实例有助于减少增量目标检测设置中的混乱,在这种情况下,我们实现了最先进的性能,而无需额外的方法学习。我们希望,我们的工作将吸引进一步研究这个新颖但至关重要的研究方向。
1.引言:
深度学习加速了目标检测研究的进展[13,53,18,30,51],模型的任务是识别和定位图像中的目标。所有现有的方法都是在一个重要假设下工作的,即所有要检测的类在训练阶段都是可用的。当我们放宽这一假设时,出现了两个具有挑战性的场景:
- 1)测试图像可能包含来自未知类的目标,这些目标应该被分类为未知。
- 2) 当有关这些已识别未知项的信息(标签)可用时,模型应该能够增量地学习新类。
发展心理学的研究[40,35]发现,辨别自己不知道的东西的能力是吸引好奇心的关键。这种好奇心激发了人们学习新事物的欲望[8,15]。这促使我们提出一个新的问题,即模型应该能够将未知的实例识别为未知目标,然后在训练数据以统一的方式逐渐到达时学习识别它们。我们把这个问题称为开放世界目标检测。
与开放世界中存在的无限数量的类相比,标准视觉数据集(如Pascal VOC[9]和MS-COCO[31])中注释的类的数量非常少(分别为20和80)。将未知目标识别为未知需要很强的泛化能力。Scheirer等人[56]将其形式化为开集分类问题。从今以后,各种方法(使用1-vs-rest支持向量机和深度学习模型)都被用来解决这一具有挑战性的问题。Bendale等人[2]通过额外更新图像分类器来识别新未知类别,将开放集扩展到开放世界分类设置。有趣的是,如图1所示,由于问题的困难,开放世界目标检测还未被探索。
开放集和开放世界图像分类的进展不能简单地适用于开放集和开放世界的目标检测,因为问题设置有一个根本的区别:目标检测器被训练来检测未知目标作为背景。许多未知类的实例已经与已知目标一起引入到目标检测器中。由于没有标记,这些未知实例将被显式地学习为背景,同时训练检测模型。Dhamija等人[7]发现,即使有了这个额外的训练信号,最先进的物体检测器也会产生假阳性检测,其中未知物体最终被归类为已知类别之一,通常概率非常高。Miller等人[42]建议使用脱落采样来估计目标检测预测的不确定性。这是开放集目标检测文献中唯一一项同行评议的研究工作。我们提出的开放世界目标检测方法更进一步,一旦新类被检测为未知,并且预测为所有未知目标中感兴趣的目标提供标签,就可以增量地学习它们。据我们所知,这在文献中还没有尝试过。图1显示了该领域现有研究工作的分类。
与现有的封闭世界静态学习设置相比,开放世界目标检测设置更加自然。世界在新阶级的数量、类型和结构上是多样化和动态的。假设所有在推理时预期的类都是在训练期间看到的,这是不现实的。在机器人、自动驾驶汽车、植物表型鉴定、医疗保健和监控等领域,检测系统的实际部署不能完全掌握推理时需要学习的类别,同时还要接受内部训练。在这样的环境中部署的目标检测算法最自然、最现实的行为是将未知实例预测为未知目标,并将已知实例划分为相应的类。当更多关于已识别未知类的信息可用时,系统应该能够将它们合并到现有的知识库中。这将定义一个智能目标检测系统,我们正努力实现这一目标。
- 我们引入了一种新的问题设置,即开放世界目标检测,它可以更紧密地模拟现实世界。
- 我们开发了一种新的方法,称为ORE,基于对比聚类、未知感知建议网络和基于能量的未知识别来应对开放世界检测的挑战。
- 我们引入了一个全面的实验环境,有助于测量目标探测器的开放世界特性,并将ORE与竞争性基线方法进行比较。
- 作为一个有趣的副产品,所提出的方法在增量目标检测方面实现了最先进的性能,尽管主要不是为其设计的
2.相关工作
开集分类:开集设置认为通过训练集获得的知识是不完整的,因此在测试过程中会遇到新的未知类。
- Scheirer等人[57]在一对一的环境中开发了开放集分类器,以平衡标记远离已知训练示例的样本的性能和风险(称为开放空间风险)。
- 后续工作[22,58]将开放集框架扩展到多类分类器设置,并采用概率模型来解释未知类情况下分类器置信度的衰减。
- Bendale和Boult[3]在深度网络的特征空间中识别未知目标,并使用Weibull分布来估计集合风险(称为OpenMax分类器)。
- [12]通过合成新的类图像,提出了OpenMax的生成版本。
- Liu等人[34]考虑了一种长尾识别环境,其中多数类、少数类和未知类共存。他们开发了一个度量学习框架,将看不见的类识别为未知类。
- 本着类似的精神,有几种专门的方法旨在检测分布外的样本[29]或新类别[47]。
- 最近,自监督学习[45]和带重构的无监督学习[64]被探索用于开集识别。
然而,虽然这些工作可以识别未知的实例,但它们不能在多个训练集上以增量方式动态更新自己。此外,我们基于能量的未知检测方法还没有被探索过。
开放世界分类:
- [2]首先提出了图像识别的开放世界设置。他们提出了一种更灵活的设置,即已知和未知同时存在,而不是在一组固定的类上训练静态分类器。该模型能同时识别这两种类型的目标,并在为未知目标提供新的标签时自适应地进行改进。他们的方法通过重新校准类概率来平衡开放空间风险,从而扩展了最近类均值分类器,使其在开放世界环境中运行。
- [46]研究了开放世界的人脸识别学习,
- 而[63]则建议使用一组已知类的样本来匹配新样本,如果与所有已知类的匹配度较低,则拒绝使用。
然而,他们并没有对图像分类基准进行测试,也没有研究电子商务应用中的产品分类。
开集检测:
- Dhamija等人[7]正式研究了开集设置对流行目标检测器的影响。他们注意到,最先进的目标检测器通常对未知类进行分类,并且对可见类的可信度很高。尽管检测器是用一个背景类[54,13,32]显式训练的,和/或应用一个vs-rest分类器对每个类进行建模[14,30]。
- 一个专门的工作机构[42,41,16]专注于开发目标检测器中(空间和语义)不确定性的度量,以拒绝未知类。例如,[42,41]在SSD检测器中使用蒙特卡罗差[11]采样来获得不确定度估计。
然而,这些方法不能在一个动态的世界中逐渐调整它们的知识。
3.开放世界目标检测
在本节中正式定义开放世界目标检测。在任意时刻t,我们将已知的目标类集记为Kt={1;2;..;C}⊂N+,其中N+表示正整数集。为了真实地模拟现实世界的动态,我们还假设它们存在一组未知的类U={C+1;…},这在推理过程中可能会遇到。假设已知目标类Kt在数据集Dt={Xt;Yt}中被标记,其中X和Y分别表示输入图像和标签。输入图像集由M个训练图像组成,Xt={I1;...;IM}和每个图像的相关目标标签组成标签集Yt={Y1;...;YM}。每个Yi={y1;y2;...;yK}编码一组K目标实例及其类标签和位置,即yK=[lk;xk;yK;wk;hk],其中lk ∈ Kt和xk;yK;wk;hk分别表示边界框的中心坐标、宽度和高度。
Openworld目标检测设置考虑一个目标检测模型MC,它被训练来检测所有以前遇到的C目标类。重要的是,MC模型能够识别属于任何已知C类的测试实例,并且还可以通过将新的或看不见的类实例分类为未知的(用标签0表示)来识别它。然后,可以将未知实例集Ut转发给人类用户,该用户可以识别n个新的感兴趣的类(可能有大量未知目标),并提供它们的训练示例。学习器增量地添加n个新类并更新自己,以生成更新的模型MC+n,而无需从头开始对整个数据集进行再训练。已知的类集也会更新为Kt+1=Kt+{C+1;...;C+n}。这个循环会在目标探测器的整个生命周期中持续,在这个生命周期中,它会用新的知识自适应地更新自身。问题设置在图2的顶部表示。
4.ORE: Open World Object Detector 开放世界目标检测器
一个成功的开放世界目标检测方法应该能够在没有明确监督的情况下识别未知实例,并且在将这些识别出的新实例的标签提交给模型进行知识升级(无需从头开始再培训)时,能够克服对早期实例的遗忘。我们提出了一个解决方案,以统一的方式解决这两个挑战。神经网络是通用函数逼近器[21],它通过一系列隐藏层学习输入和输出之间的映射。在这些隐藏层中学习的潜在表示直接控制每个功能的实现方式。我们假设,在目标检测器的潜在空间中学习类间的清晰区分可能产生双重效果。
- 首先,它帮助模型识别未知实例的特征表示与其他已知实例的区别,从而有助于将未知实例识别为新实例。(潜在空间难道真的能识别已知类和未知类的区别吗,伪命题啊)
- 第二,它有助于学习新类实例的特征表示,而不与潜在空间中的前一类重叠,从而有助于不遗忘的增量学习。
帮助我们认识到这一点的关键部分是我们在潜在空间中提出的对比聚类,我们将在第二节中详细阐述。为了使用对比聚类法对未知数据进行最佳聚类,我们需要对未知实例进行监督。手动注释无限集合中未知类的一小部分是不可行的。为了解决这个问题,我们提出了一种基于区域建议网络[53]的自动标记机制来伪标记未知实例,如第4.2节所述。 潜在空间中自动标记的未知实例的固有分离有助于我们基于能量的分类头区分已知和未知实例。如第4.3节,我们发现在未知情况下,亥姆霍兹自由能较高。图2显示了ORE的高级架构概述。我们选择Faster R-CNN[53]作为基本检测器,因为Dhamija等人[7]发现,与单级RetinaNet检测器[30]和基于对象的YOLO检测器[51]相比,它具有更好的开集性能。Faster R-CNN[53]是一个两级目标探测器。
- 在第一阶段中,类无关区域建议网络(RPN)提出可能具有来自共享主干网络的特征映射的目标的潜在区域。
- 第二阶段对每个区域的边界框坐标进行分类和调整。对感兴趣区域(RoI)模块其他部分生成的特征进行对比聚类。RPN和分类头分别用于自动标注和识别未知量。
我们将在以下小节中解释这些连贯的组成部分:
4.1对比聚类
潜在空间中的类分离是开放世界方法识别未知的理想特征。一种自然的方法是将其建模为一个对比聚类问题,在这个问题中,同一类的实例将被迫保持在附近,而不同类的实例将被推得很远。对于每个已知类i∈Kt,我们有一个原型向量pi。 令fc∈Rd为特征检测器的中间层为c类物体生成的特征向量。 我们将对比损失定义如下:

其中D是任何距离函数,∆定义了相似和不相似项之间的距离。最小化这种损失将确保在潜在空间中实现所需的类分离。
每个类对应的特征向量的平均值被用来创建类原型集:P={p0···pC}。生成的每个原型向量是ORE的一个关键组成部分。随着整个网络的端到端训练,类原型也应该随着组成特征的逐渐变化而逐渐演化(因为随机梯度下降在每次迭代中更新一小步权重)。我们有一个固定长度的队列qi,每个类用于存储相应的特征。特征集Fstore={q0···qC}将类特定的特性存储在相应的队列中。这是一种可伸缩的方法,用于跟踪特征向量如何随训练而演化,因为存储的特征向量的数量以C×Q为界,其中Q是队列的最大尺寸。
算法1概述了在计算集群损失时如何管理类原型。只有在完成一定数量的burnin迭代(Ib)之后,我们才开始计算损耗。这使得初始的特征映射能够逐渐准确,从而对类信息进行编码。从那时起,我们使用公式1计算聚类损失。在每个Ip迭代之后,计算一组新的类原型Pnew(第8行)。然后用动量参数η对P和Pnew进行加权,更新现有的原型P。这允许类原型逐渐演化,并跟踪以前的上下文信息。将计算出的聚类损失加入到标准检测损失中,并进行反向传播,实现对网络的端到端学习。
4.2Auto-labelling Unknowns with RPN使用RPN自动标记未知
在计算聚类损失时,用公式1,我们将输入特征向量fc与原型向量进行对比,原型向量也包括未知目标的原型(c∈{0;1;…;C},其中0表示未知类)。这将要求未知目标实例被标记为未知标准类,这实际上是不可行的,因为在已经注释的大规模数据集中重新注释每个图像的所有实例非常困难。
作为代理,我们建议自动将图像中的一些目标标记为潜在的未知目标。为此,我们使用区域建议网络(RPN)因为它与类无关。给定一个输入图像,RPN为前景和背景实例生成一组边界框预测,以及相应的目标得分。我们将那些具有高目标性得分,但不与ground truth重叠的区域标记为潜在未知目标。简单地说,我们选择top-k背景区域方案,按其目标得分排序,作为未知对象。就如第五部分所讲,这个看似简单的启发式方法可以获得很好的性能。
4.3. Energy Based Unknown Identifier 基于能量的未知目标识别
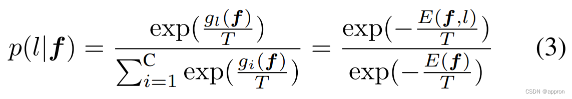
给定隐空间f中的特征(f∈F)及其相应的标号l∈L,我们寻求学习一个能量函数E(F,L)。我们的公式基于基于能量的模型(EBMs)[26],该模型学习一个函数E(·),以使用单个输出标量估计观测变量F和可能的输出变量集L之间的兼容性,即E(f):Rd→R。EBMs向分布内数据分配低能量值的内在能力,反之亦然,促使我们使用能量度量来表征样本是否来自未知类别。具体来说,我们使用亥姆霍兹自由能公式,其中L中所有值的能量都是组合的。

其中T是温度参数。softmax层之后的网络输出与类比能量值的Gibbs分布之间存在简单的关系[33]。这可以表述为

其中p(l|f)是标签l的概率密度,gl(f)是分类头g(:)的第l次分类回归。利用这种对应关系,我们用logit定义分类模型的自由能,如下所示:

上面的公式为我们提供了一种自然的方法,将Faster R-CNN[53]的分类头转换为能量函数。由于我们使用对比聚类在潜在空间中实施的清晰分离,我们看到如图3所示的已知类数据点和未知数据点的能级中的清晰分离。根据这一趋势,我们用一组移位的Weibull分布来模拟已知和未知能量值ξkn(f)和ξ∗(f)的能量分布。与伽马分布、指数分布和正态分布相比,这些分布与验证集的能量数据非常吻合。如果ξkn(f)<ξunk(f),则学习的分布可用于将预测标记为未知。
4.4. Alleviating Forgetting 减缓遗忘
在识别出未知目标之后,开放世界探测器的一个重要的必要条件是,当提供一些感兴趣的未知类的标记示例时能够学习新的类。重要的是,由于从头开始的再训练不是一个可行的解决方案,因此在此阶段将不提供以前任务的训练数据。仅使用新的类实例进行训练将导致灾难性地忘记以前的类。我们注意到,已经开发了许多相关的方法来缓解这种遗忘,包括基于参数正则化的方法[1,23,28,65],范例重放[5,50,36,4],动态扩展网络[38,59,55]和元学习[49,24]。
我们基于[48,25,61]的最新见解,这些见解将样本回放的重要性与其他更复杂的解决方案进行了比较。具体而言,Prabhu等人[48]回顾了复杂的持续学习方法所取得的进展,并表明增量学习中用于回放的贪婪样本选择策略在很大程度上优于最新方法。Knoblauch等人[25]为再训练方法的无用提出了理论上的证明。他们证明了一个最佳的连续学习者解决了一个NP难问题,并且需要无限的记忆力。Wang等人[61]在相关的少样本目标检测设置中发现了存储少量示例和重播的有效性。这促使我们使用相对简单的ORE方法来减轻遗忘,也就是说,我们存储了一组平衡的范例,并在每个增量步骤之后对模型进行微调。在每一点上,我们确保每个类的最少Nex实例出现在范例集中。
5.实验结果

结论
该目标检测框架将标准数据集上的性能基准大大提高。这些数据集和评估协议的封闭性阻碍了进一步的进展。我们引入了开放世界的目标检测,其中目标检测器能够将未知实例标记为未知目标,并随着模型添加新的标签而逐渐学习未知目标。我们的主要创新点包括用于未知检测的基于能量的分类器和用于开放世界学习的对比聚类方法。我们希望,我们的工作将沿着这一重要和开放的方向推动进一步的研究。
本文来自互联网用户投稿,文章观点仅代表作者本人,不代表本站立场,不承担相关法律责任。如若转载,请注明出处。 如若内容造成侵权/违法违规/事实不符,请点击【内容举报】进行投诉反馈!


