2021-01-05 数学基础(导数)
导数
- 概念
- 基础函数
- 运算
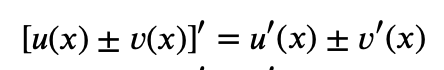
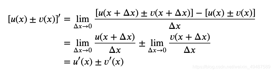
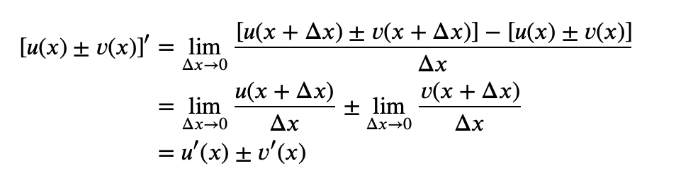
- ±
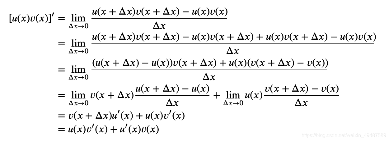
- ×
- /
- 反函数求导
- 洛必达法则
概念
- 导数是函数,是函数的切线的斜率
- f(x)的导数是f`(x)
- 导数为正,变化率为正;导数为负,变化率为负,导数为0,变化率为0
基础函数
- 常数函数,f(x)=c,f`(x)=0
- 单项式(幂)函数,f(x)=x的n次方(n∈Q≠0)f`(x)=nx的n-1次方
运算
±


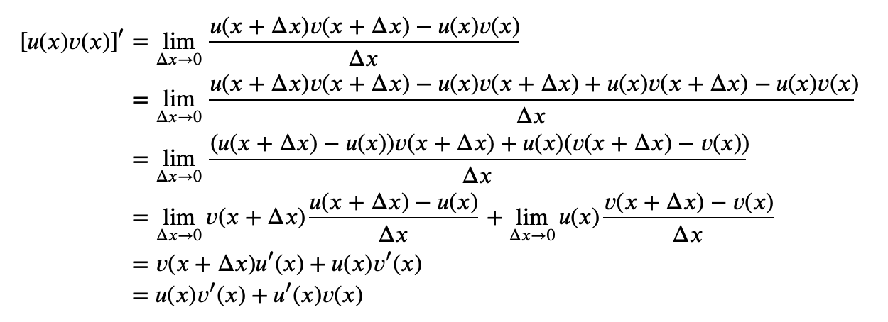
×


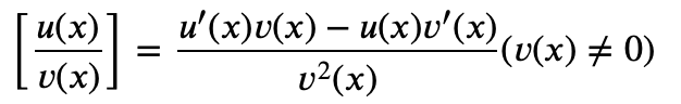
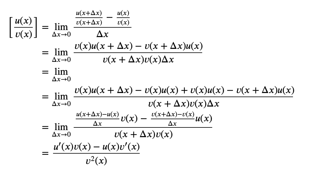
/


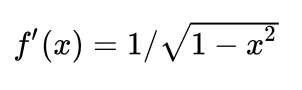
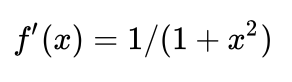
反函数求导
- f(x)=arcsinx

- f(x)=arccosx

- f(x)=arctanx

- f(x)=arccotx

洛必达法则

来源知乎@高考数学呆哥
本文来自互联网用户投稿,文章观点仅代表作者本人,不代表本站立场,不承担相关法律责任。如若转载,请注明出处。 如若内容造成侵权/违法违规/事实不符,请点击【内容举报】进行投诉反馈!
