FADS系统解算方法之三点法
前言
毕设内容是气流感知,这篇博文主要内容总结FADS系统解算方法中的三点法的流程,综合了多篇文献中的内容,参考文献在文末。
(文章可以算是综述,但是不清楚应该如何设置文章类型,有问题请指出。)
一、FADS系统空气动力学模型
1.基础
一般在分析气动模型的时候,都是考虑前端为球体、椭球体(钝头体外形)方便分析,但仍适用于其他外形的分析。
这里要注意圆周角和圆锥角的概念。
2.表面压力分布模型

关系式1
其中,为动压,
为静压,
为该点的气流入射角,
为形压系数
主要的参数关系包括
入射角与迎角、侧滑角、圆周角、圆锥角的关系

关系式2
马赫数与动静压的关系

其中,取1.4
形压系数,是迎角、侧滑角和马赫数的函数,可以由实验确定
二、三点法的计算步骤
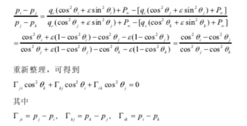
1.任取三个点,对关系式1化简

关系式3
2.取特殊点,化简关系式2

3.将关系式4带入关系式3并化简

关系式5
4.求解关系式5即可得到迎角
5.用同样的方法求解侧滑角
这里要考虑侧滑角的解的选取原则(不是唯一解),也可能出现奇点,文献中比较详细,不列出。
6.使用得到的迎角和侧滑角反带入到关系式1和关系式2,迭代求解动压和静压直到计算得到的形压系数与实验得到的误差满足要求
三、一点疑问
1.为啥要再次反向带入求解动压和静压呢?
答:看错了,计算的时候,用的是测压孔测量得到的压力,并不是静压或者动压
【参考文献】
[1]宋秀毅. 嵌入式大气数据传感系统算法及应用研究[D].南京航空航天大学,2007.
[2]肖地波. 嵌入式大气数据传感系统算法及其关键技术研究[D].南京航空航天大学,2010.
本文来自互联网用户投稿,文章观点仅代表作者本人,不代表本站立场,不承担相关法律责任。如若转载,请注明出处。 如若内容造成侵权/违法违规/事实不符,请点击【内容举报】进行投诉反馈!
