fasttext文本分类python实现_使用fasttext进行文档分类
fasttext原理
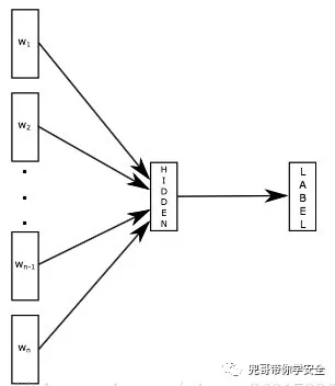
fasttext提供了一种有效且快速的方式生成词向量以及进行文档分类。fasttext模型输入一个词的序列,输出这个词序列属于不同类别的概率。fasttext模型架构和Word2Vec中的CBOW模型很类似。不同之处在于,fasttext预测标签,而CBOW模型预测中间词。fasttext设计的初衷就是为了作为一个文档分类器,副产品是也生成了词向量。

fasttext特性
n-gram
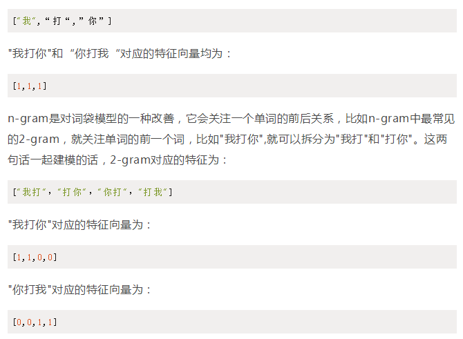
在词袋模型中,把单词当做独立的个体,没有考虑词前后的关系。比如"我打你"和“你打我“,使用词袋模型的话,这两句话是完全一样的。词袋的特征为:

与Word2Vec使用词袋模型不同,fasttext使用了n-gram模型,因此fasttext可以更有效的表达词前后的之间的关系。
高效率
fasttext在使用标准多核CPU的情况下10分钟内处理超过10亿个词汇,特别是与深度模型对比,fastText能将训练时间由数天缩短到几秒钟。使用一个标准多核CPU,得到了在10分钟内训练完超过10亿词汇量模型的结果。
安装fasttext
fasttext的安装非常简便,直接从github上同步的代码并进行安装即可。


数据集
数据集依然使用搜狗实验室提供的"搜狐新闻数据",该数据来自搜狐新闻2012年6月—7月期间国内,国际,体育,社会,娱乐等18个频道的新闻数据,提供URL和正文信息。对应的网址为:

我们可以看到数据文件中并没有标记页面内容属于哪个频道,如果需要做文档分类,搜狗提供了页面URL和频道之间的映射关系。

下载SogouTCE文件,可以看到具体的映射关系举例如下:

数据清洗
搜狐新闻数据的文件默认编码格式为gb18030,因此解压缩后要线转换成utf-8格式。
tar
-
zxvf news_sohusite_xml
.
full
.
tar
.
gz
cat news_sohusite_xml
.
dat
|
iconv
-
f gb18030
-
t utf
-
8
>
news_sohusite_xml
-
utf8
.
txt
转换完格式后查看文件内容,文件以xml形式记录,举例如下:
http://gongyi.sohu.com/s2008/sourceoflife/
f2467af22cd2f0ea-34913306c0bb3300
中国西部是地球上主要干旱带之一,妇女是当地劳动力...
同心县地处宁夏中部干旱带的核心区, 冬寒长,春暖迟,夏热短,秋凉早,干旱少雨,蒸发强烈,风大沙多。主要自然灾害有沙尘暴、干热风、霜冻、冰雹等,其中以干旱危害更为严重。由于生态环境的极度恶劣,导致农村经济发展缓慢,人民群众生产、生活水平低下,靠天吃饭的被动局
面依然存在,同心,又是国家级老、少、边、穷县之一…[详细]
但是数据文件并不是标准的xml格式,如下所示,该文件相对标准的xml格式缺少了根元素。
所有的doc节点都直接是最顶层,没有根节点。因此要添加根节点使该文本文件符合xml文件的规范,最简单的一种形式就是在文件的开始和结尾添加根元素标签。
xml version
=
"1.0"
encoding
=
"utf-8"
?>
可以直接使用文本编辑工具在数据文件的开始和结尾进行修改,但是这有可能导致你的终端因为内存使用过大而崩溃。一种比较稳妥的做法是使用程序完成。
def
make_xml
():
""
""
with
open
(
"data/news_sohusite_xml-utf8.txt"
)
as
F
:
for
line
in
F
:
line
F
.
close
()
""
在终端执行该程序,并将标准输出的结果保存即可,剩下的操作只要解析xml文件即可。下面我们介绍另一种方法,观察可以发现,url和content是成对出现的,并且一一对应。我们可以过滤这两个字段的内容,分别保存成content文件和url文件。首先过滤出url字段的内容,并且删除掉url标签。
cat news_sohusite_xml
-
utf8
.
txt
|
grep
''
|
sed
's///g'
|
sed
's///g'
>
news_sohusite_url
.
txt
然后过滤出content字段的内容,并且删除掉content标签。
cat news_sohusite_xml
-
utf8
.
txt
|
grep
''
|
sed
's///g'
|
sed
's///g'
>
news_sohusite_content
.
txt
content是中文内容,需要使用jieba进行切词,可以把切词的动作也放到上面的命令里面。
cat news_sohusite_xml
-
utf8
.
txt
|
grep
''
|
sed
's///g'
|
sed
's///g'
|
python
-
m jieba
-
d
' '
>
news_sohusite_content
.
txt
加载url和对应领域的映射关系的文件,以哈希的形式保存对应的映射关系。
def
load_SogouTCE
():
SogouTCE
=[]
SogouTCE_kv
=
{}
with
open
(
"../data/SogouTCE.txt"
)
as
F
:
for
line
in
F
:
(
url
,
channel
)=
line
.
split
()
SogouTCE
.
append
(
url
)
F
.
close
()
for
index
,
url
in
enumerate
(
SogouTCE
):
#删除http前缀
url
=
re
.
sub
(
'http://'
,
''
,
url
)
"k:%s v:%d"
%
(
url
,
index
)
SogouTCE_kv
[
url
]=
index
return
SogouTCE_kv
我们分析下各个领域的数据分布情况,把匹配上的url对应的标记打印出来。
def
load_url
(
SogouTCE_kv
):
labels
=[]
with
open
(
"../data/news_sohusite_url.txt"
)
as
F
:
for
line
in
F
:
for
k
,
v
in
SogouTCE_kv
.
items
():
if
re
.
search
(
k
,
line
,
re
.
IGNORECASE
):
#print "x:%s y:%d" % (line,v)
v
labels
.
append
(
v
)
F
.
close
()
return
labels
运行程序,分析各个领域对应的url数量。
python fasttext
.
py
>
v
.
txt
cat v
.
txt
|
sort
-
n
|
uniq
-
c
每行的第一个字段是数量,第二个字段是对应的领域的id,结果表明搜狐新闻数据集中在某几个领域,并且分布不均匀。为了避免样本不均衡导致的误判,我们选择数量上占前三的领域作为后继分析的数据,id分别为81,79和91。
138576
79
27489
80
199871
81
23409
82
44537
83
2179
84
13012
85
1924
87
3294
88
842
89
50138
91
5882
92
反查对应的url为:
kit
.
sohu
.
com
/
id
:
81
auto
.
sohu
.
com
/
id
:
79
yule
.
sohu
.
com
/
id
:
91
过滤我们关注的领域的内容,将content保存在x列表里,对应的领域的id保存在y列表里,作为标签使用,至此我们完成了数据清洗的工作。
def
load_selecteddata
(
SogouTCE_kv
):
x
=[]
y
=[]
#加载content列表
with
open
(
"../data/news_sohusite_content.txt"
)
as
F
:
content
=
F
.
readlines
()
F
.
close
()
# 加载url列表
with
open
(
"../data/news_sohusite_url.txt"
)
as
F
:
url
=
F
.
readlines
()
F
.
close
()
for
index
,
u
in
enumerate
(
url
):
for
k
,
v
in
SogouTCE_kv
.
items
():
# 只加载id为81,79和91的数据
if
re
.
search
(
k
,
u
,
re
.
IGNORECASE
)
and
v
in
(
81
,
79
,
91
):
#保存url对应的content内容
x
.
append
(
content
[
index
])
y
.
append
(
v
)
return
x
,
y
删除停用词
在处理中文语料时,需要删除停用词。所谓停用词就是对理解中文含义没有明显作用的哪些单词,常见的停用词举例如下:
一一
一下
一个
一些
一何
一切
一则
一则通过
一天
一定
一方面
一旦
一时
另外所有的字母和数字还有标点符号也可以作为停用词。我们把停用词保存在一个文本文件里面便于配置使用。定义加载停用词的函数。
def
load_stopwords
():
with
open
(
"stopwords.txt"
)
as
F
:
stopwords
=
F
.
readlines
()
F
.
close
()
return
[
word
.
strip
()
for
word
in
stopwords
]
使用停用词过滤之前提取的文本内容。
stopwords
=
load_stopwords
()
#切割token
x
=[
[
word
for
word
in
line
.
split
()
if
word
not
in
stopwords
]
for
line
in
x
]
文档分类
数据文件格式
fasttext对训练和测试的数据格式有一定的要求,数据文件和标签文件要合并到一个文件里面。文件中的每一行代表一条记录,同时每条记录的最后标记对应的标签。默认情况下标签要以__label__开头,比如:
这是一条测试数据
__label__1
python下实现合并数据文件和标签文件的功能非常简单。
def
dump_file
(
x
,
y
,
filename
):
with
open
(
filename
,
'w'
)
as
f
:
for
i
,
v
in
enumerate
(
x
):
line
=
"%s __label__%d
"
%
(
v
,
y
[
i
])
f
.
write
(
line
)
f
.
close
()
加载数据清洗后的数据和标签,随机划分成训练数据和测试数据,其中测试数据占20%。
SogouTCE_kv
=
load_SogouTCE
()
x
,
y
=
load_selecteddata
(
SogouTCE_kv
)
# 分割训练集和测试集
x_train
,
x_test
,
y_train
,
y_test
=
train_test_split
(
x
,
y
,
test_size
=
0.2
)
按照fasttext的格式要求保存成训练数据和测试数据。
#按照fasttest的要求生成训练数据和测试数据
dump_file
(
x_train
,
y_train
,
"../data/sougou_train.txt"
)
dump_file
(
x_test
,
y_test
,
"../data/sougou_test.txt"
)
查看训练数据文件的内容,举例如下:
2
0
1
2
款
长安
标致
雪铁龙
D
S
4
/
D
S
5
九寨沟
试驾
__label__79
训练模型
下面开始训练fasttext模型。
# train_supervised uses the same arguments and defaults as the fastText cli
model
=
train_supervised
(
input
=
"../data/sougou_train.txt"
,
epoch
=
25
,
lr
=
0.6
,
wordNgrams
=
2
,
verbose
=
2
,
minCount
=
1
)
其中比较重要的几个参数的含义为:
input;表示训练数据文件的路径
epoch:表示训练的次数
lr:表示初始的学习速率
wordNgrams:表示n-gram的值,一般使用2,表示2-gram
minCount:表示参与计算的单词的最小出现次数。
验证效果
fasttext默认情况下会计算对应的准确率和召回率。
def
print_results
(
N
,
p
,
r
):
(
"N"
+
str
(
N
))
(
"P@{}{:.3f}"
.
format
(
1
,
p
))
(
"R@{}{:.3f}"
.
format
(
1
,
r
))
使用测试数据文件进行校验。
print_results
(*
model
.
test
(
"../data/sougou_test.txt"
))
运行程序,显示加载了36M的单词,其中包含288770的单词组合,标记类型一共3种。
Read
36M
words
Number
of words
:
288770
Number
of labels
:
3
验证效果如下所示,准确率为99.0%,召回率为99.0%,对应的F1计算为99.0%,效果非常不错。
Progress
:
100.0
%
words
/
sec
/
thread
:
626183
lr
:
0.000000
loss
:
0.005640
ETA
:
0h
0m
N
71107
P@1
0.990
R@1
0.990
欢迎加入本站公开兴趣群
商业智能与数据分析群
兴趣范围包括各种让数据产生价值的办法,实际应用案例分享与讨论,分析工具,ETL工具,数据仓库,数据挖掘工具,报表系统等全方位知识
QQ群:81035754
本文来自互联网用户投稿,文章观点仅代表作者本人,不代表本站立场,不承担相关法律责任。如若转载,请注明出处。 如若内容造成侵权/违法违规/事实不符,请点击【内容举报】进行投诉反馈!
