一文尽览 | 2023最新自动驾驶车辆控制全面综述!(状态估计/轨迹控制/框架应用等)...
点击下方卡片,关注“自动驾驶之心”公众号
ADAS巨卷干货,即可获取
点击进入→自动驾驶之心【规划控制】技术交流群
后台回复【规划控制综述】获取自动驾驶、智能机器人规划控制最新综述论文!
车辆控制是自动驾驶汽车、车联网和自动化汽车中最关键的挑战之一,在车辆安全、乘客舒适性、运输效率和节能方面至关重要。本次调查试图对车辆控制技术的现状进行全面彻底的概述,重点关注从微观层面的车辆状态估计和轨迹跟踪控制到宏观层面的CAV协同控制的演变。首先从车辆关键状态估计开始,特别是车辆侧滑角,这是车辆轨迹控制的最关键状态,以讨论具有代表性的方法。然后提出了用于AVs的符号车辆轨迹跟踪控制方法。除此之外,还进一步审查了CAV的协作控制框架和相应的应用程序。最后对未来的研究方向和挑战进行了讨论。本次调查旨在深入了解AVs和CAV车辆控制的最新技术,确定关键的重点领域,并指出进一步探索的潜在领域。
本文的总体框架如图1所示。第二节将对包括机载传感器、IMU、GNSS、相机和激光雷达在内的多模态传感器作为AV或CAV的输入,考虑到不同的传感器配置和模型特征,状态估计技术,特别是侧滑角,进行调查。然后,第三节将讨论AVs的经典车辆物理模型和轨迹跟踪控制算法。此外,对于CAV的协同控制,第四节对使能技术、关键组件、方法和潜在应用进行了调查。第五节最后对未来研究的现状和潜在领域进行了评论。
车辆侧滑角估计
车辆状态信息在AV和CAV的运动规划、决策和控制技术中发挥着关键作用。状态包括车辆位置、速度(车辆坐标中的纵向和横向速度)和姿态(车辆侧倾、俯仰和偏航)。图2说明了上述状态的定义,其中上标n和b分别表示导航坐标和身体坐标。在导航框中,x、y和z指向东、北和向上,在车身框中,它们指向前、左和向上。如(1)所示,需要准确了解纵向和横向速度来计算车辆侧滑角,这对车辆控制至关重要。虽然昂贵的设备,如RT3000和Kistler S-Motion,可以测量其中一些状态变量,但它们对于大规模生产的车辆来说是不可行的。因此,许多学者一直致力于估算实际汽车应用中的车辆侧滑角。需要注意的是,尽管AVs和CAV的定位/定位估计属于AVs和CaV的状态估计范围,但它更多地与导航/测绘界有关,并且在[52-55]中进行了广泛而全面的审查。为了使这项审查工作致力于为车辆控制界的利益服务,本文将重点放在车辆状态估计方面,即侧滑角估计。在另一个方面,侧滑角估计相当于航向角估计,这是导航系统中最关键的状态之一。[32]中揭示了侧滑角和航向角之间的关系,如下所示:
目前,车辆状态估计的设计主要是卡尔曼滤波器和非线性观测器。KF由于其简单性和鲁棒性而被广泛使用。它们由两个阶段组成:预测阶段和校正阶段。预测阶段产生对当前状态变量及其不确定性的估计。当测量信号到达时,在校正阶段对估计的变量进行校正。预测阶段可以通过等式(2)来描述:
校正阶段描述如下:
然而,在高动态条件下使用标准KF进行状态估计是次优的。为了克服这一限制,一些研究人员提出了KF的变体来提高其性能。或者,其他人开发了非线性观测器来估计车辆状态,考虑到极端驾驶条件下车辆动态模型的强非线性。与KF不同,非线性观测器没有固定的设计范式。特别是,通过构造微妙的李亚普诺夫函数并将函数导数限制为小于零来计算反馈系数[57]。
图3给出了车辆侧滑角估计的详细分类。一般来说,它可以分为三种主要方法:OSB方法、GAU方法和AIA方法。OSB方法可进一步分为三种:基于车辆运动学的(VKB)方法、基于车辆动力学的(VDB)方法和基于动态运动学融合的(DKFB)方法。GAU方法可以进一步分为基于状态的(SB)方法和基于状态误差的(SEB)方法。AIA方法也可以分为混合AIA方法和纯AIA方法。
OSB approach
车载传感器,如SWAS、WSS和IMU,对于确保车辆安全运行至关重要。研究人员开发了各种数学模型,利用这些传感器的输入数据实时估计车辆的侧滑角。这些综合估计方法可分为三种主要类型:VDB方法、VKB方法和DKFB方法。在以下各节中,将对这些方法中的每一种进行详细概述。
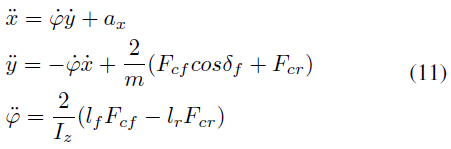
1)VDB方法:考虑到车辆动力学模型对传感器精度的依赖性相对较低,过去二十年来,工业界和学术界对基于车辆动力学模型的车辆侧滑角估计进行了大量研究。VDB方法的性能在很大程度上与车辆动力学模型的可靠性相耦合。因此,自由度(DOF)、道路摩擦、轮胎的非线性特性以及车辆模型参数的不确定性将影响估计算法的准确性。为了便于对VDB方法进行概述,本文以经典的车辆动力学模型为例来描述车辆运动状态。一个2自由度的车辆模型可以写如下:
在经典车辆动力学模型及其变体的基础上,提出了大量的VDB方法和各种估计量。其中,扩展卡尔曼滤波器(EKF)方法受到了极大的关注,许多研究证明了这一点。当车辆轮胎达到极端非线性区域时,EKF中使用的一阶线性化可能不够精确,无法进行状态估计。相比之下,无迹卡尔曼滤波(UKF)可以直接用于非线性模型,并使用一组西格玛点来估计状态,以避免局部线性化,使其成为车辆侧滑角估计的合适方法。如上所述,VDB方法需要车辆参数。然而,某些参数,如COG和轮胎转弯刚度,高度依赖于驾驶和负载条件。这些参数的不确定性会引入估计误差,甚至导致估计器无法收敛。
2)VKB方法:鉴于车辆模型不准确的缺点,特别是在关键驾驶条件下,一些学者选择放弃VDB方法,转而利用车辆传感器信息,如IMU、WSS和SWAS,来开发VKB方法。平面中的主导2自由度车辆运动学模型可以表示如下:
通过直接积分[77],侧滑角可以推导如下:
不幸的是,这种方法可能会产生积分误差,在严重的情况下,甚至可能导致估计值出现偏差。为了消除上述问题,Kim等人设计了一个EKF,以在考虑时变纵向和横向速度变化的情况下估计车辆侧滑角。然而,作者没有具体说明如何获得测量的纵向和横向速度进行反馈校正。为了适当处理IMU测量并消除不期望的影响,Selmanaj等人涵盖了车辆纵向速度、传感器偏移、车辆侧倾角和重心加速度。
根据上述文献,很明显,VKB方法依赖于IMU作为核心传感器。无论如何,IMU输出信号容易受到温度漂移、偏置误差、随机噪声以及滚转和俯仰角产生的重力分量的影响。为了通过积分传感器的加速度来精确地获得速度,去除偏差、噪声和重力分量是至关重要的。否则,长时间的集成可能会导致错误累积。
3)DKFB方法:由于VDB和VKB方法都有局限性,如何将它们结合成一种互补的DKFB方法的问题仍然悬而未决。根据[81],VDB方法在低频下表现出更高的置信度,而VKB方法在高频下表现得更好。因此,可以采用一阶滤波器来集成VKB和VDB方法。融合结果如下:
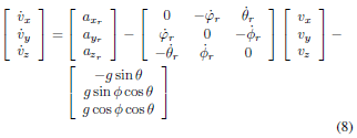
随着传感器技术的日益先进,IMU获取的加速度和角速度信号正逐渐从二维平面升级到三维空间。这种改进允许在三维中建立车辆的旋转和平移之间的关系。相应的模型可以表示如下:
利用上述信息,可以分离出姿态变化的重力分量产生的加速度。得益于这一动机,Xia等人融合三维估计器以获得车辆侧滑角。在较小的激励条件下,VDB方法有助于VKB方法估计侧滑角,而在较大的激励下,侧滑角估计将仅依赖VKB方法。此外,Xiong等人提出了一种新的DKFB方法,根据驾驶条件考虑IMU和COG之间的杆臂。所提出的架构由以下四个估计量组成:VDB方法的横向和纵向速度估计量,以及VKB方法的姿态/速度估计量。驱动条件决定了融合机制。更重要的是,当车辆处于正常驾驶条件下时,VDB方法可以用作VKB方法的反馈信号。然而,在临界驾驶条件下,VDB方法被切断,并且仅使用VKB方法来估计车辆侧滑角。通过双车道变换和回转操纵验证了所提出方法的性能。
GAU方法
随着AVs和CAV的不断发展,现在有更多的传感器可用于提供有效状态估计的输入信息,包括GNSS、相机和激光雷达。由于全球导航卫星系统通常以低成本用于飞行器和CAV,因此在使用GAU方法估计车辆侧滑角方面进行了广泛的研究,该方法将全球导航卫星卫星系统的位置和速度信息纳入导航坐标中。根据状态方程中变量的特性,这些方法可以进一步分为以下两类:SB方法和SEB方法。
1)SB方法:SB方法直接依赖于模型中的可变状态。这种方法的优点在于其设计和推导的简单性,以及相对较低的计算要求。因此,它被广泛用于车辆状态估计。Naets等人提出了一种EKF,该EKF使用横向速度、横摆角速度、纵向速度和轮胎转弯刚度作为状态向量来估计车辆侧滑角。他们还分析了四种类型的反馈校正测量,包括横摆角速度、横向加速度、四轮速度和全球导航卫星系统速度。此外,Katriniok等人在基于GNSS的水平速度的帮助下评估估计框架的局部可观察性。
2)SEB方法:尽管SB和GAU方法提高了侧滑角估计的准确性,但它们仍然无法准确估计陀螺仪和加速度计的偏差。为了缓解上述限制,一些学者还采用了一种替代的GNSS和IMU融合策略,称为SEB方法,该方法基于惯性导航系统(INS)框架。与SB方法相比,SEB方法提高了姿态估计的准确性和更大的鲁棒性。SEB方法的优点在于,它们使用状态误差(例如,姿态、速度和位置),而不是直接使用状态向量。这导致误差接近原点,避免了万向节锁定和奇异参数等问题。用于侧滑角估计的INS框架示例如图4所示。
AIA方法
在过去的十年里,人工智能技术取得了重大进展。这一进展促使一些研究人员将人工智能应用于车辆侧滑角估计,利用数据驱动的方法,结合多模态传感器的输入。这种方法可以分为两类:纯AIA方法和混合AIA方法。
1)纯AIA方法:纯AIA法涉及完全通过端到端数据驱动过程实现车辆侧滑角估计,而不依赖于传统的数学模型。Liu等人开发了一种时滞神经网络,使用转向角、横向加速度、横摆角速度和车轮速度等输入数据来评估车辆侧滑角。Bonditto等人构建了三个人工神经网络,以回归干燥、潮湿和结冰三种道路条件下的侧滑角。通过路况分类器网络对估计的输出进行校正。Liu等人提出了一种非线性自回归神经网络来估计车辆侧滑角。通过对比研究,所提出的方法在所有驾驶条件下都表现出强大的性能。
2)混合AIA方法:将运动学或动力学数学模型与人工智能技术相结合的混合AIA法在估计车辆侧滑角方面越来越受欢迎。例如,Kim等人在横摆角速度、方向盘角度和横向加速度的帮助下,用长短期记忆(LSTM)估计车辆侧滑角及其不确定性。LSTM输出用作动态EKF/UKF模型的输入,以提高侧滑角估计的性能。同样,Novi等人基于运动学模型将人工神经网络与UKF集成,以估计侧滑角。与纯AIA方法相比,混合方法可以在一定程度上提高估计方法的可解释性。
上述调查强调,估计侧滑角不仅对飞行器的轨迹跟踪控制至关重要,而且对飞行器导航也至关重要,这对CAV之间的通信至关重要。因此,精确的侧滑角估计对于AV和CAV都是必不可少的。
自动驾驶车辆的的轨迹跟踪控制
车辆轨迹跟踪控制是AVs的一个关键和基本组成部分,能够计算转向角、节气门开度和制动踏板等直接优化命令,以取代和辅助驾驶员。在控制模块内,它可以确保车辆准确地沿着预定的路径行驶,同时避开障碍物并保持安全的驾驶条件。因此,微观层面的反馈或自学习跟踪控制算法被设计为调整车辆的速度、加速度和转向,以遵循期望的轨迹。通常,算法会考虑车辆的动力学和运动学,以确定最佳控制输入。这些输入是实时调整的,以考虑车辆环境中的任何不确定性或干扰,例如道路条件、交通流量或障碍物的存在的变化。
如今,AV领域的许多机构、汽车制造商和零部件供应商都非常重视开发跟踪控制算法。这些算法主要分为以下三种:1)无预测的反馈控制(例如,比例积分微分(PID)、线性二次调节器(LQR)和滑模控制(SMC));2)带预测的反馈控制(例如,模型预测控制(MPC));以及3)基于学习的控制,例如深度强化学习。总体框架如图5所示。
车辆数学模型
AV的轨迹跟踪控制涉及各种车辆模型的使用,这些模型通常分为三种类型:VKB模型、自行车VDB模型和四轮VDB模型。不同的模型有自己的适用场景。
VKB模型被广泛使用,因为它可以直接建立横向/航向误差与转向角之间的关系。通常,采用纯追踪(PP)方法来计算车辆前方所需路径上固定前方距离的横向误差。通常,此方法在车辆上的参考点是后桥的中心。相应的模型如下:
上述方程只考虑了横向误差,而忽略了航向误差,这对于确保最佳轨迹跟踪性能也是至关重要的。为了解决这个问题,开发了Stanley方法,该方法同时考虑横向误差和航向误差。更具体地说,横向误差被定义为路径上最近的点与车辆前轴之间的距离。转向角度可以使用以下公式获得:
尽管VKB模型被广泛用于车辆轨迹跟踪控制,但它忽略了轮胎打滑等误差,这对关键驾驶条件非常重要。为了减少上述误差,许多学者还利用VDB模型构建了车辆轨迹跟踪控制算法。这里是一个广泛使用的自行车VDB模型的例子。其公式如下:
为了进一步提高车辆模型的准确性,一些学者还采用了四轮VDB模型。然而,精度的提高也将导致模型复杂性和计算量的增加。因此,车辆数学模型的选择最终取决于几个因素,包括驾驶场景、准确性和复杂性。
无预测的反馈控制算法
没有预测的反馈控制算法通常采用显式控制理论,如PID、LQR和SMC方法。这些技术在大多数驾驶条件下提供了稳健的轨迹跟踪性能。
1)PID控制:PID轨迹跟踪控制是工业应用中广泛使用的一种方法,因为它对飞行器的轨迹跟踪控制简单有效。Park等人通过利用比例积分(PI)控制算法来提高AV的轨迹跟踪控制精度,该算法使横向距离误差最小化。该算法的比例增益保持不变,而积分增益则根据道路曲率而变化。类似地,Chen等人基于PP模型,采用PI控制算法和低通滤波器来提高轨迹跟踪的平滑度。
通常,PID控制器是一种相对简单的控制算法,可以在AV中实现,并且可以很容易地将其编程到微控制器或嵌入式系统中,以实现工业应用。然而,PID轨迹跟踪控制往往受到反馈增益调谐的困难。当实际环境中的驾驶条件发生显著变化时,在某些情况下,控制参数可能不再是最优的。尽管许多学者已经探索了自适应PID控制方法和自学习PID控制,但自适应和自动参数整定仍然复杂且耗时。此外,在复杂的驾驶条件下使用PID控制来实现令人满意的控制性能仍然是一项具有挑战性的任务。
2)LQR控制:为了缓解上述限制,一些学者还将LQR方法用于车辆跟踪控制。这种方法的目的是使二次成本函数J最小化,如(12)所示。反馈增益由相应的Riccati方程求解。
由于LQR是一种状态反馈控制,K是通过变分法获得的反馈增益,如以下方程所述:
其中矩阵P是Riccati方程的解,并且由下式给出:
通常,LQR方法适用于优化线性系统,其中Q和R的参数需要调整以促进系统的收敛和稳定性。对于车辆轨迹跟踪控制,LQR方法通常是基于VDB模型设计的。Piao等人提出了一种具有自行车VDB模型的LQR最优轨迹跟踪控制,他们使用同时扰动随机近似算法优化了Q和R的权重矩阵。
基于上述调查,LQR方法可以提供一种最小化成本函数的最优控制解决方案,这可以通过在线或离线优化来获得优越的跟踪性能。特别是,许多研究人员使用带有LMI的LQR方法,通过典型的Lyapunov函数设计来实现控制收敛。然而,LQR控制不适用于具有大控制输入的系统,因为它假设控制输入小并且不会导致与期望轨迹的显著偏差。因此,在一些关键的驾驶条件下,例如相当大的道路曲率或低的道路附着力,轨迹跟踪控制性能可能会受到影响,并导致较差的鲁棒性。此外,尽管LQR跟踪控制可以通过线性化所需轨迹周围的动力学来处理非线性系统,但线性化高度非线性和快速时变的车辆模型可能会导致模型失真。因此,可能需要为车辆系统探索更先进的技术。
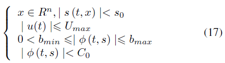
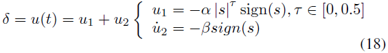
3)SMC控制:为了解决LQR中线性化假设的问题,在AVs轨迹跟踪控制中引入了SMC。SMC是一种用于具有参数不确定性和外部扰动的非线性系统的鲁棒控制方法。实现SMC的挑战是设计一个超扭曲平面,以确保鲁棒稳定性并减少抖振现象。SMC的系统功能如下:
然后,具有导数的滑动变量s表示如下:
滑动模式轨迹跟踪控制旨在使系统在滑动表面上收敛,定义为s=0。且需满足以下条件:
因此,SMC可以如下给出:
根据VDB模型,误差模型表示如下:
由于SMC对模型不确定性不敏感,它已成为一种流行的用于飞行器轨迹跟踪控制的非线性方法,VDB模型被广泛用于描述飞行器运动。Akermi等人采用模糊系统自动调整SMC的增益,以补偿系统参数的变化。Dai等人提出将SMC与粒子群优化(PSO)相结合,以提高飞行器的轨迹跟踪控制鲁棒性。详细地说,作者设计了一种基于SMC的转向轨迹跟踪控制算法,以消除横向和航向误差。然而,不适当的滑动表面可能会导致系统振荡。
总的来说,SMC是一种非常适合非线性系统的实用控制方法。这是因为SMC基于滑动模式的概念,滑动模式是指过程变量被迫沿着预定义轨迹移动的情况。同时,与其他控制技术相比,SMC对模型参数的依赖性较小,使其在存在模型不确定性和扰动的情况下更具鲁棒性。不幸的是,滑动表面附近的抖振仍然是一个问题,尤其是在实时应用中。此外,当参考信号是平滑和连续的时,SMC更有效。如果参考信号不平滑,例如路面不平,则可能导致控制输入中的高频振荡。因此,应该通过增加自由度来设计更复杂的动力学模型。为了解决这些限制,研究人员还提出了将SMC与其他控制方法(如PID或LQR)相结合的混合控制方案。
4)其他控制方法:除了PID、LQR和SMC,研究人员还应用了一些其他控制方法来优化飞行器的轨迹跟踪性能。这些方法包括H-无穷大、自适应和模糊控制。在H-无穷大方法中,通过求解涉及Riccati方程的优化问题,使系统的H-无穷大范数最小化。Hu等人提出了一种鲁棒H无穷大输出反馈控制策略,该策略使用混合遗传算法/线性矩阵不等式方法,对外部扰动和环境参数的不确定性具有鲁棒性。
尽管无预测的反馈控制和其他控制算法在过去几年中取得了显著的进展。高度非线性和交叉耦合的车辆动力学系统,以及不可预测和复杂的交通环境,仍然对飞行器的鲁棒轨迹跟踪控制具有挑战性。
带预测的反馈控制算法
MPC是轨迹跟踪控制的一种突出方法,因为它可以通过引入各种约束和预测范围来解决优化问题。一般框图如图6所示。与LQR不同,MPC可以使用预测范围来预测未来的行为,并解决有限范围的开环最优控制问题。通过最小化成本函数来计算一系列离散时间步长中的最优控制序列。整个过程被迭代地重复,并且只有第一控制输入被应用于车辆系统。此外,MPC考虑了某些约束形式的扰动,以增强鲁棒性和稳定性。因此,MPC总是通过以比经典轨迹跟踪控制方法更高的计算成本来调整过程模型,从而涉及直观的参数化。
MPC的状态空间模型如下所示:
MPC最小化用户定义的成本函数J,例如期望路径r和模型输出y之间的轨迹跟踪误差。
最近的几项研究已经证明了MPC在飞行器轨迹跟踪控制方面的特殊性能。他们主要集中在以下三个关键领域提高其性能:提高开环优化问题的可行性(例如,通过提高模型精度),提高闭环轨迹跟踪控制的稳定性(例如,经过更准确的预测和控制过程),以及在面对不确定性时(例如在极端驾驶条件下)增强鲁棒性。关于可行性,Chu等人提出了一种反馈MPC控制,该控制利用动态和轨迹跟踪特性来减少调整参数所需的计算时间和精力。通过将MPC与PID相结合,他们旨在最大限度地减少模型简化所引起的误差。实验和仿真结果证明了所提出方法的有效性。
MPC提供了一种在有限范围内最小化性能标准的最优控制解决方案,与其他控制技术相比,这可以产生优越的跟踪性能。另一方面,MPC可以通过使用系统的非线性模型来预测未来状态并计算安全极限内的最优控制输入,从而处理非线性系统和约束。然而,他们仍然面临着一些问题,如准确模型的不足、预测范围的限制和计算复杂性,这使得实现实时应用具有挑战性。此外,在现实世界条件下,存在来自传感器和执行器的信号延迟。然而,MPC对系统中的延迟很敏感,这可能会影响预测精度并影响控制性能。另一个挑战来自于在加速优化过程中设置初始值。如果初始值不合适,优化可能会失败或需要较长的时间,每个步骤的计算时间都不可预测。
基于学习的控制算法
为了解决上述挑战,有几种基于学习方法优化MPC控制的方法。一种方法是通过基于采样的MPC算法,该算法采用简单的策略对控制序列进行采样。另一种方法是通过自学习模型预测控制,这更接近于基于已知参数的最优控制率。此外,通过竞争控制对MPC有学习理论的观点,可以帮助优化过程。
此外,由于AV中存在强烈的非线性和不确定性,开发准确的车辆模型是一项具有挑战性的任务]。为了克服这一挑战,基于学习的控制算法已被广泛探索,因为它们独立于特定模型,可以解决复杂的非线性控制系统。深度强化学习已成为对AVs轨迹跟踪控制的现代控制算法局限性的潜在解决方案。
当实现深度强化学习算法时,AV通过与环境交互并利用收集的数据来学习最优控制策略,如图7所示。为了克服现有轨迹跟踪控制算法的挑战,Zhao等人提出了一种基于学习的最优控制算法,该算法通过两个多层神经网络逼近批评者和行动者网络。
诚然,深度强化学习算法也有局限性,包括需要大量的训练数据、过度拟合的可能性,以及解释模型内部工作的挑战。尽管存在挑战,但随着旨在增强其能力的新技术和算法的出现,深度强化学习领域正在迅速扩展。
除了上述学习方法外,Liu等人还介绍了一种新的基于学习的自适应控制(MFAC)算法。该算法基于双连续投影(DuSP)-MVAC方法,利用了新引入的DuSP方法和对称相似的MFAC轨迹跟踪控制和参数估计器结构。通过利用预览偏差偏航角,将轨迹跟踪问题转化为稳定问题。Wang等人通过创新地将极值搜索和基于学习的控制相结合,开发了一种新型的自适应数据驱动车辆轨迹跟踪控制系统。Sharma等人在开放式赛车模拟器(TORCS)中使用端到端学习,训练两个不同的神经网络,以基于道路轨迹预测车辆速度和转向。结果表明,尽管可用的训练数据有限,但轨迹跟踪控制在两条轨迹上有效执行。
总体而言,已经在微观层面上深入回顾了飞行器轨迹跟踪控制算法。适当算法的选择取决于车辆轨迹跟踪控制的具体应用和性能要求.
CAVS的协同控制
配备摄像头、雷达和激光雷达等传感器的飞行器是智能交通系统的关键组成部分。然而,尽管AV拥有先进的传感器技术,但由于恶劣的天气条件、传感器或车辆模型的不确定性以及照明变化等原因,仅使用车载传感器不可能始终完全可靠地感知动态和可变环境。
幸运的是,物联网和人工智能的结合导致了智能交通系统的重大进步。这些技术实现了各种交通参与者之间的互联,包括车辆、交通信号灯、人员和基础设施,以提高运输效率、减少排放和防止事故。这些代理,特别是CAV,通过V2X通信进行合作,可以增强其决策能力,使交通系统更加高效和可持续。为此,为了解决AV的局限性,CAV的协同控制已成为ITS中一种很有前途的技术。协作控制技术涉及共享视线和视野之外的信息,以实现CAV之间的协调决策,从而降低事故发生的可能性,并提高典型交通场景中的整体交通效率、舒适性和经济性。由于该技术能够与其他CAV一起在相对较大的范围内优化车辆控制能力,因此该技术获得了相当大的兴趣。
在本节中,我们探讨了使能技术、协同控制技术的关键组成部分、协同控制方法以及协同控制技术在CAV中的潜在应用。本节的框架如图8所示。
可用技术
CAV的协同控制依赖于V2V和V2I,使多个CAV能够协调其运动并共享有关其速度、位置和目的地的信息。一些先进的系统也共享视觉信息,包括检测到的边界框和中间神经特征。这项技术通过促进加速、制动和转弯等因素的同步,实现了更顺畅的交通流、减少拥堵和提高道路安全。协同控制的主要好处之一是通过减少制动和加速的需要来优化交通流量,从而节省燃料、减少排放和提高能源效率。另一个好处是减少了交通堵塞和碰撞,这可以缩短出行时间,减少车辆磨损,降低运营成本。
协同控制技术的关键组成部分
1)协同控制系统描述:本节简要描述了协同控制系统的关键组件。
a)纵向动力学模型:纵向动力学模型对于CAV的协同控制至关重要。它根据动力学、驾驶行为、道路状况和交通流量等各种因素预测CAV的速度和加速度如何变化。该模型改善了驾驶行为,提高了驾驶效率,并用于排队、并线和变道。
有各种类型的纵向动力学模型,其复杂性和准确性各不相同。动力学模型的选择取决于所需的精度、计算资源和数据可用性。例如,线性模型是最简单的,假设加速度和输入(如节气门位置、制动力和外部扰动)之间存在线性关系。非线性模型提供了更高的准确性和处理更复杂情况的能力。
b)信息流拓扑:CAV协同控制背景下的信息流拓扑概念是指多辆车之间交换信息以实现协调高效移动的方式。这对于确保车辆以安全高效的方式一起行驶、降低事故发生的可能性和改善整体交通流量至关重要。
信息流拓扑有几种分类方法,每种方法都有其独特的方法来交换信息和实现协调移动。这些方法包括前导跟随(PF)、前导-前导跟随(PLF)、双向(BD)、双向前导(BDL)、两个前导跟随(TPF)和两个前导-前导跟着(TPLF)等。每种方法的协调性和灵活性各不相同,有些方法可以实现更高级的协调,有些方法则可以实现更大的运动灵活性。方法的选择取决于团体运动的具体背景和目标,例如最大限度地减少延误、减少燃料消耗或防止事故。总的来说,信息流拓扑的概念和分类方法对于CAV协同控制的成功实施至关重要,因为它们能够使多辆车在道路上安全高效地移动。
c)通信质量:在CAV的协同控制中,有效的通信对于安全高效的运行至关重要。然而,当多辆车相互通信时,可能会出现通信质量问题,导致数据延迟或丢失。这些可能是由网络拥塞、信号干扰或硬件故障等因素引起的。例如,可能出现的一个重要问题是通信时间延迟。这是指数据从一辆车传输到另一辆车所需的时间,可能是由带宽有限、传输错误或网络拥塞等各种因素造成的。通信延迟可能导致车辆之间失去协调,从而导致事故或碰撞。为了缓解这一问题,可以使用消息优先级确定、高效路由算法和拥塞控制方法等技术。
另一个关键问题是数据包丢失。当数据包在传输过程中丢失时,就会发生这种情况,这可能是由网络拥塞、信号干扰或硬件故障等因素引起的。数据包丢失可能导致其他车辆接收到不正确或不完整的信息,从而导致系统运行不安全或效率低下。因此,可以使用诸如分组重传、纠错码和网络冗余之类的技术来减轻它。
2)协同控制系统的目标:自主车队的协同控制旨在确保同一组中的所有车辆以一致的速度行驶,同时保持相邻车辆之间所需的空间,从而增加交通容量,提高交通安全性,降低油耗。排系统的稳定性是上述所有控制目标的基础。协同控制技术的控制目标可以大致分为个体稳定性和串稳定性。
a)个体稳定性:个体稳定性是指系统中每个CAV的稳定性。通过确保每个CAV保持其期望的速度和与相邻车辆的距离来实现单独的稳定性目标。控制算法应设计为在考虑噪声和干扰的同时防止超过或低于所需的速度和距离。实现个体稳定性至关重要,因为它为确保系统的整体稳定性提供了基础。
为了保持个体稳定性,每辆CAV都必须配备控制系统,能够准确测量其相对于车队中其他车辆的速度和位置。控制系统还必须能够调整CAV的速度和加速度,以保持排内所需的位置和速度。这可以通过使用先进的传感和控制算法来实现,如自适应巡航控制(ACC)和协作自适应巡航控制度。这可以通过使用先进的传感和控制算法来实现,如自适应巡航控制(ACC)和协作自适应巡航控制。
b)字符串稳定性:另一方面,字符串稳定性是指系统中整个CAV排或字符串的稳定性。通过确保排中的CAV在以恒定速度行驶时保持恒定和安全的车间距来实现管柱稳定性。控制算法应确保快速补偿速度或距离的任何干扰或波动,并使车队返回到其期望状态。
保持管柱稳定性比单独稳定性更具挑战性,因为它需要具有不同动力学的多个车辆的协调。为了保持管柱稳定性,控制系统必须确保排中的每个CAV遵循预定义的间距策略,该策略规定了排中每个车辆之间的距离以及在操作期间如何保持该距离。V2V通信可用于交换关于每个CAV的位置和速度的信息,并相应地调整间距策略。控制系统还必须能够检测排中的任何干扰或中断,并做出适当响应以维持所需的间距策略。
可以使用几种方法来保持字符串稳定性,包括基于一致性的控制、MPC、反馈控制和前馈控制。基于同意的控制包括设计分布式控制算法,使每个CAV能够根据来自相邻车辆的信息调整其速度和位置。MPC利用系统的动态模型来预测其未来行为,并相应地优化其控制输入。反馈控制基于传感器反馈和与车队中其他车辆的通信来调整每辆车的速度和位置。前馈控制基于每个车辆的当前状态和车队的期望轨迹来预测维持字符串稳定性所需的控制输入。
协作控制方法
1)协作方案:多辆车的协调方案是CAV协同控制的关键组成部分,使它们能够高效、安全地协同工作。该方案指的是用于协调多个CAV的行为以实现共同目标的方法和技术。多辆车有不同的协调方案,可以根据它们使用的控制模式进行分类。三种主要的控制模式是集中控制、分散控制和混合控制。
a)集中控制:集中控制模式包括一个中央机构,如控制塔或交通管理系统,控制所有车辆。中央当局收集交通信息,并将其用于优化车辆行为。尽管这种模式提供了出色的协调和优化,但它需要高水平的通信和计算能力。
b)分散控制:相比之下,在分散控制模式下,每个CAV都是自主的,并根据局部信息做出自己的决策。每辆车都与其邻居进行通信,并调整其行为以避免碰撞并保持所需的队形。这种模式比集中式控制更具可扩展性和弹性,但可能无法提供最佳协调。
c)混合控制:此外,混合控制模式是集中控制模式和分散控制模式的结合。在这种模式下,协调的某些方面是集中处理的,而其他方面是本地处理的。例如,中央当局可以提供高级命令,例如所需的路线和速度,而每辆车都会根据当地情况调整其行为。这种模式允许采用灵活和自适应的协调方法,既可以实现全局优化,也可以实现局部响应。
每种协调方案都有其优缺点,选择合适的方案取决于具体的应用需求和可用的资源。集中控制更适合在定义明确的环境中运行的高度自动驾驶车辆,例如封闭的校园或高速公路上的专用车道。分散控制更适合于低水平的自主性,例如车队,一组CAV跟随领头的车辆。混合控制适用于既需要全球协调又需要局部适应的应用,如城市交通管理。通过根据控制模式对协调方案进行分类,可以根据CAV的具体应用和自主性水平来选择最佳方法。
协同控制技术通过协调多辆车的动作来优化它们的行为。与单个车辆的传统控制方法不同,协作技术依赖于车辆间通信来交换有关其状态和目标的信息。他们必须考虑多辆车之间复杂的相互作用和依赖性,并能够实时适应不断变化的条件。然而,由于需要考虑大量变量,并且需要能够处理意外情况的鲁棒算法,因此设计这些方法具有挑战性。
2)方法:协同控制技术利用先进的算法和计算方法,使CAV能够实时相互通信和合作。协作控制方法可以根据用于设计控制算法的数学模型进行分类,包括博弈论、基于优化和基于强化学习的方法。在接下来的部分中,我们将详细介绍这三种方法及其在CAV协同控制中的应用。
a)博弈论方法:博弈论方法将多个CAV之间的相互作用建模为一个博弈,其中每个车辆都是一个玩家,旨在优化自己的目标,同时考虑其他玩家的行动。然后制定控制算法来识别纳什均衡,在纳什均衡中,任何玩家都不能通过单方面改变自己的行为来增加结果。博弈论方法有利于管理多辆车之间复杂的动态交互。
b)基于优化的方法:基于优化的方式将协同控制问题表述为优化问题,其目标是为每辆车找到最佳行动,以最大限度地提高群体的整体性能。这些算法可以使用线性或非线性优化技术进行设计,并适用于处理广泛的场景。通常,基于优化的方法可能无法处理现实世界环境的不确定性和不可预测性。
c) 基于强化学习的方法:基于加强学习的方法需要使用试错方法训练控制算法,其中算法从自己在环境中的经验中学习[282]。这些算法可以使用深度学习技术进行设计,并且可以适应不断变化的环境。
为了利用强化学习的优势,各种研究人员训练了他们的驾驶代理,这些代理能够根据自己的观察做出决策。然而,基于强化学习的方法可能需要大量的训练数据,并且很难解释和验证。
应用
为了开发能够在现实生活中应用的算法,大多数现有的关于协同控制技术的研究都集中在特定的驾驶场景或交通设施上,如排队、变道、并线和交叉口。本节将概述CAV协作控制技术的一些最有前途的应用及其潜在的好处和挑战。本文根据协作级别将这些应用程序分为三组,即一维、二维和三维协作。每一级的合作都带来了独特的技术和运营挑战,但也为提高运输的安全性、效率和舒适性提供了机会。
1)一维协作:一维协作涉及协调车辆的纵向(即向前/向后)运动,例如在车队中。
a)排:在一个排中,协同控制技术使CAV能够在很短的车车间距离内行驶,由领头的车辆决定排中其他车辆的速度和路线。这种方法可以通过最小化车辆之间的阻力和空气阻力来显著提高燃油效率并减少排放。此外,排队有助于减少拥堵,改善交通流量,尤其是在交通密度高的城市地区。
2) 二维协作:二维协作涉及协调车辆的横向(即左/右)运动,例如变道。
a)变道:在协同控制技术的支持下,即使在能见度有限或高速行驶的情况下,通过使车辆能够相互通信并协调其运动,也可以提高变道的安全性和效率。此外,这项技术可以通过自动检测和避免潜在危险来预测和防止碰撞。
为了优化变道决策和改善交通流量,研究人员提出了各种协同驾驶策略。例如,Lin等人提出了一种使用可转移效用博弈框架的协作变道策略,该策略在不影响交通条件的情况下提高了个人和社会效益。同样,Ali等人开发了一个基于博弈论的传统和互联环境强制变道模型。
3)三维协作:三维协作涉及协调纵向和横向运动以及时间维度,特别是在多辆车从不同方向接近交叉口或并线点的情况下。为了避免碰撞,车辆不仅必须协调其纵向和横向运动,还必须协调其时间和进入顺序,这需要先进的通信、传感和决策能力。
a)匝道合流:当涉及到在高速公路匝道合流时,协同控制技术可以通过使车辆安全高效地合流来帮助减少拥堵并改善交通流量。通过共享有关其位置和速度的信息,车辆可以协调其运动,以避免碰撞,并与高速公路上的其他车辆平稳汇合。
b)信号交叉口:在信号交叉口中,可以使用协同控制技术使车辆能够相互通信,并与基础设施通信,以优化交通流量,降低事故发生的可能性。通过使车辆能够预测和响应交通信号,协同控制技术可以帮助减少等待时间和拥堵,提高转弯运动的安全性,并能够更有效地利用交叉口通行能力。
c)无信号交叉口:在无信号或无控制的交叉口中,协同控制技术可以使车辆相互通信并协调其移动,从而有助于提高安全性和效率。这有助于降低因通信错误或无法让行而导致事故的可能性,并使交叉口的交通流更加顺畅和高效。
总的来说,本节讨论了CAV的协同控制技术,这对于实现其改善运输系统的潜力至关重要。它涵盖了使能技术、关键组件、协作控制方法和潜在应用。赋能技术为CAV提供了共享信息和合作的通信基础设施。纵向动力学模型、信息流拓扑、通信质量和稳定性等关键组件是协作控制所必需的。协作控制方法包括集中式、分散式或混合控制模式,并利用博弈论、基于优化或基于强化学习的方法。协同控制的潜在应用包括排队、变道、交叉口等,可以在一、二或三维协同场景中提高交通效率、减少排放和提高安全性。
结论和未来方向
本次调查对自动驾驶汽车、联网汽车和自动化汽车的车辆控制进行了全面回顾。论文从不同传感器配置和模型特征的角度出发,从车辆状态估计开始,特别是车辆侧滑角估计。然后讨论了具有三种类型的自动驾驶控制算法的AV的轨迹跟踪控制:无预测的反馈控制、有预测的模型预测控制和基于学习的控制。还从四个主要角度分析了不同的轨迹跟踪算法:模型复杂性、计算成本、最优性能和应用场景。还探索了协同驾驶控制方法的使能技术、关键组件、协同控制方法和潜在应用,这些方法有可能显著提高未来交通系统的效率、安全性和可持续性。此外,本文确定,未来从自动驾驶和协作驾驶自动化对车辆控制的研究可能会扩展到以下途径。
1)多模态鲁棒状态估计:除了全球导航卫星系统,激光雷达和相机也可以用于辅助车辆状态估计,以进一步提高估计精度。然而,这些传感器容易受到环境因素的影响,例如建筑物、照明和天气。此外,它们的采样延迟和频率变化很大。因此,有必要实时研究传感器信号的置信水平,并开发鲁棒的融合算法。
2)具有状态不确定性的鲁棒轨迹跟踪控制:由于多模态信息的可用性,可以估计实时的三维车辆姿态信息。因此,车辆控制模型可以从二维平面扩展到三维空间。由于状态估计结果可能具有一定程度的不确定性,因此在设计轨迹控制算法时,考虑状态估计不确定性对算法性能的影响至关重要。
3)解决混合自主车队中异构动力学的控制挑战:当遇到混合自主交通时,人类驱动和AV之间的互动和协调对协同控制技术提出了重大挑战。这一领域最大的挑战之一是车队中由人类驱动的行为引入的异质动力学。为了克服这一挑战,研究人员和工程师需要开发创新的控制技术,以适应人类驾驶员的可变性,同时保持道路上的安全和效率。这些技术可以包括预测人类驾驶员行为的机器学习算法,以及结合集中式和分散式控制技术的混合控制架构。这种方法将允许AV适应人类驾驶车辆的行为,同时仍然保持车队内的协调水平。
4)CAV在网络攻击和通信故障情况下的弹性控制技术:在现实和不可预测的驾驶环境中,可能会发生通信和传感故障,敌对实体可能会破坏系统的运行。因此,有必要将弹性控制技术集成到协同控制框架中,使系统即使在存在故障、错误或攻击的情况下也能继续运行并适应不断变化的条件。利用网络物理系统领域的技术将是为CAV设计弹性协作控制技术的有效方法。此外,考虑安全和隐私要求也是至关重要的。设计考虑到安全和隐私的通信、传感和控制协议,如利用加密、身份验证和访问控制机制,对于确保未来CAV的安全和性能至关重要。
5)为协同控制技术的安全评估开发统一的仿真平台和智能测试环境:开发统一的模拟平台和智能试验环境是确保CAV协同控制技术安全的关键一步。该平台将允许研究人员和工程师在虚拟环境中评估CAV控制策略在现实世界中实施之前的有效性和安全性。为了实现这一点,有必要全面了解CAV控制策略及其底层技术。仿真平台应准确建模CAV的行为及其与其他车辆和基础设施的交互,同时还应采用机器学习技术,以实现与其他安全关键自主系统的加速测试和训练。
参考
[1] A Systematic Survey of Control Techniques and Applications in Connected and Automated Vehicles
视频课程来了!
自动驾驶之心为大家汇集了毫米波雷达视觉融合、高精地图、BEV感知、传感器标定、传感器部署、自动驾驶协同感知、语义分割、自动驾驶仿真、L4感知、决策规划、轨迹预测等多个方向学习视频,欢迎大家自取(扫码进入学习)

(扫码学习最新视频)
国内首个自动驾驶学习社区
近1000人的交流社区,和20+自动驾驶技术栈学习路线,想要了解更多自动驾驶感知(分类、检测、分割、关键点、车道线、3D目标检测、Occpuancy、多传感器融合、目标跟踪、光流估计、轨迹预测)、自动驾驶定位建图(SLAM、高精地图)、自动驾驶规划控制、领域技术方案、AI模型部署落地实战、行业动态、岗位发布,欢迎扫描下方二维码,加入自动驾驶之心知识星球,这是一个真正有干货的地方,与领域大佬交流入门、学习、工作、跳槽上的各类难题,日常分享论文+代码+视频,期待交流!

【自动驾驶之心】全栈技术交流群
自动驾驶之心是首个自动驾驶开发者社区,聚焦目标检测、语义分割、全景分割、实例分割、关键点检测、车道线、目标跟踪、3D目标检测、BEV感知、多传感器融合、SLAM、光流估计、深度估计、轨迹预测、高精地图、NeRF、规划控制、模型部署落地、自动驾驶仿真测试、产品经理、硬件配置、AI求职交流等方向;

添加汽车人助理微信邀请入群
备注:学校/公司+方向+昵称
本文来自互联网用户投稿,文章观点仅代表作者本人,不代表本站立场,不承担相关法律责任。如若转载,请注明出处。 如若内容造成侵权/违法违规/事实不符,请点击【内容举报】进行投诉反馈!
