三角形推广到多边形的面积计算(几何计算)
我们先来看在坐标系下三角形的面积计算

A(x1, y1),B(x2, y2), C(x3, y3)这三点,向量AB我记为a,向量AC我记为b,S_ABC = 1/2 absin,a = (x, y), b = (m, n),代入:

a = (x2-x1, y2-y1),b = (x3-x1, y3-y1)
则 x = x2-x1, y = y2-y1, m = x3-x1, n = y3-y1;
则 S_ABC = 1/2|x1y2+x2y3+x3y1-x1y3-x3y2-x2y1|
实际上更好的办法是用三阶行列式写出来(只怪本人还未学线性代数):

在这里我并没有规定方向,所以需要加上绝对值。实际上,如果是逆时针方向则为正,顺势针方向则为负,我们在这里可以将它称为有向面积:
代码如下:
#include
#include
using namespace std;
int main()
{int x1, y1, x2, y2, x3, y3;double S;cin >> x1 >> y1 >> x2 >> y2 >> x3 >> y3;S = 0.5 * fabs(x1 * y2 + x2 * y3 + x3 * y1 - x1 * y3 - x3 * y2 - x2 * y1);printf("%.2lf\n", S);return 0;
}
那对于多边形呢?实际上我们看,一个多边形也可以进行拆分成若干三角形,三角形面积的累加就为多变形的面积,如图:

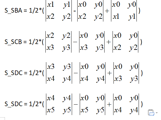
在这里我们可以起一个起点,比如S点,那么多边形SABCDE可以化成SBA、SCB、SDC、SED四个三角形的面积之和,假设S(x0, y0),A(x1, y1)、B(x2, y2)、C(x3, y3)、D(x4, y4)、E(x5, y5),在这里我们取逆时针方向(因为为正),利用上面的三阶行列式及其展开:

然后我们再来求加和,可以得到:

发现什么特点了吗?是不是交错相乘相减再求累加和,但是在这里需要注意最后一项是首尾坐标,在这里是S(x0, y0)和E(x5, y5)点,被减去,我们可以得到一个公式:
S = ∑ i = 0 n − 1 x i y ( i + 1 ) − x ( i + 1 ) y i \sum_{i=0}^{n-1} x_iy_(i+1)-x_(i+1)y_i ∑i=0n−1xiy(i+1)−x(i+1)yi-(x0yn-1-xn-1y0)
代码如下:
#include
#include
using namespace std;
int main()
{int i, n, a[100][2];double S;printf("请问有多少个顶点?\n");cin >> n;for (i = 0; i < n; i++){cin >> a[i][0] >> a[i][1];}S = 0;for (i = 0; i < n - 1; i++){//按照逆时针方向旋转S += 0.5 * (a[i][0] * a[i + 1][1] - a[i + 1][0] * a[i][1]);}S += 0.5 * (a[0][0] * a[n - 1][1] - a[n - 1][0] * a[0][1]);printf("面积为:\n");printf("%.2f\n", S);return 0;
}
在这里无论是凸多边形还是凹多边形,都可以采用这样的方式去求解,因为当你规定逆时针方向时,实际上的面积是为有向面积,此时,你在顺势针方向上读时的面积为负则恰好减去原来多的一块面积,所以也可也采用此方法。
听说也可以采用皮克定理来做,有兴趣的同学可以看一看,只做借鉴。
本文来自互联网用户投稿,文章观点仅代表作者本人,不代表本站立场,不承担相关法律责任。如若转载,请注明出处。 如若内容造成侵权/违法违规/事实不符,请点击【内容举报】进行投诉反馈!
