Automatic control principle frequency analysis Part B

上图中有很多信息:
首先伽马s曲线的选择:顺时针,封闭,不经过F(S)零极点,可包含F(S)零极点;
仔细看那个F(S)平面,实轴是F(S)的实部,虚轴是F(S)的虚部,这个数学的平面定义有点难受;
幅角定理中的伽马F就是F(S)的图像,绕原点逆时针的式子得记住。
问题:F(S)图像是不会通过F(s)平面的原点的
因为假设它通过,说明F(S0)=0,这样的话S0就是F(s)的零点了,即原始曲线过零点
这和规定(2)不相符。
如果你不懂的话,说明还是没弄明白伽马s曲线和伽马F曲线的联系。
就是前者上的任意一个点,都对应伽马F曲线上的一个点。比如伽马s曲线上取点s0,则伽马F上取点s0,得F(S0),
然后F(S0)就可以写成实虚部的形式。
如果F(S0)过原点,说明s0是F(S)的零点啊,而s0又是伽马s曲线上的点,所以就违背了伽马s不能经过F(S)的零极点的规定。

构造这样的F(S),好处就是把F(S)的零点变成了系统的闭环极点,而他不就是之前时域分析中的判定稳定的关键么。
即当闭环极点出现在右半平面时闭环系统就不稳定。
1.GH(S)在虚轴上没有极点的情况

第一个等价:包围了闭环极点就说明闭环极点在右半平面,肯定就不稳定
第二个等价:F(S)的定义中说了
第三个等价:不要被1弄浑噩了,因为本来s就得沿着伽马s顺时针转1圈。
图末又将F(S)平面转换到GH(S)平面。这个有大用。
F(S)的零点就是闭环传递函数的极点
所以讨论零点时判断稳定性的关键
由R=P-Z,一般是已知R和P,如果Z不等于0,那就有闭环极点落在右半平面,即不稳定。

我们最后研究的是GH平面的伽马GH,其实就是开环传递函数GH的图像,是不是跟之前的Nyquist以及伯德图联系了起来。
所谓的伽马s在X平面上的映射,意思就是X(S)的图像,其中s的取值范围就是伽马s的图像。

上图中正虚轴很好理解,负虚轴的话也得理解。就是对于任意一个F(S),则代入s=jw和s=-jw得到的复数是幅值相同,角度相反的。证明的话你可以把F(S)拆成若干个典型环节的相乘即可。这个结论具有普遍意义,之前一直不理解。很重要的性质。
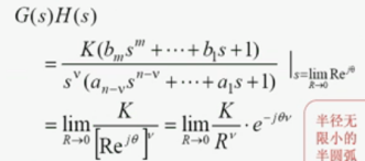
对于半圆弧,负号表示顺时针有点意思。还是类似的,当s趋于无穷时,GH就写成根轨迹的形式,这个时候就只需要比较分子分母s的阶次了。当n>=m时,映射为一点,等于时是实轴上某点,大于时是原点,都不需要画出来。
对于它的角度sita,由于是顺时针,我觉得应该是从-90到+90,代入就是从正虚轴到负虚轴。
2.GH(S)在虚轴上有极点的情况。


因为是研究小半圆时w在0处,所以写成频率法的形式,即尾一的形式。
第一个图中的sita是因为伽马s曲线上是逆时针,所以系数为正
在第二个图中代入正的sita,得到为负的sita,那就是顺时针了。合情合理。

再次来回顾一下Nyquist的画法:
先要化成标准形式
分子要变为-5(-s+1)
则起点就是角度是-5的-180和其他环节的0相加得-180
终点的角度就是-5的-180和其他环节的-90相加得-180±90*3=-180-270
(如图所示,继续顺时针转动270°)
这是画的正虚轴的GH
负虚轴的按实轴对称的画即可
大圆的话之前说过n>m时画为一点。
这里有一点不理解:
他说大半圆的上半部分是对应w=+∞,下半部分是w=-∞
因为对于伽马s曲线而言,它是在s平面内,s平面内的各点都可以写成是实部+j虚部的形式,虚部就可以看成w吧
大圆对应的s是无穷远处,所以虽然角度确定,但由于模值无穷,所以实部虚部中必有一个为无穷,而角度又确定,根据无穷 /无穷为不定式可知,实虚部应都为无穷。所以对应w为无穷,且上半部为正无穷,下半部为负无穷。
且在横轴处发生w的突变,从正无穷到负无穷。
再来看看胡手松的版本:


石群的版本只是说了那个小半圆的映射图形,而实际上还要有起点。
胡瘦送的版本是没有写出k而是写出G1(S)
我们在学Nyquist图时,对于起点即w=0时,那里的图形和这里是一样的。
因为Nyquist的横纵坐标为实部和虚部,图线本身上是体现w的变化。
而这里的GH(S)也是如此。
现在开始讲w=0-,0,0+的区别和联系。(原创)
首先看w的值是得在伽马s曲线上看,即s平面中看,纵坐标即为w的值。
比如当GH在s=0处有极点时,画个圈包围原点,圈与横轴的交点的位置的w值依旧是w=0,因为纵坐标为零啊(都是我的观点),我感觉从这里也可以看出s和w的去区别,即w=0时s不一定为零,但s为零时w一定为零。因为在s平面上s=a+jw嘛 。
而在那个小半圆上,对应的s的表达式为s=deta e^jsita,明显sita的范围是-90到+90,小半圆上的每一个点都对应该范围内的一个sita。比如与横轴交点处,sita=0,所以角度(j0)=v*(-sita)+G1(j0)=v0+G1(j0)=G1(j0)。注意G1中是没有积分项的,因为有的话已经在s的v次方那里了。而幅值的话,要么是正无穷,要么是负无穷。
所以w=0处的点对应于GH平面上要么是正无穷,要么是负无穷。
而对于w=0+的点,如上图所示,而G1(j0+)和G1(j0)本身是一样的,所以零正 的点相当于零的点顺时针转90v达到。
心中有下面的式子就行了。

一般都是GH(0-)在正虚轴的无穷远处,GH(0)在正实轴的无穷远处,GH(0+)在负虚轴的无穷远处,顺时针转动时对应w递增。之间都是90°的关系。
上面这么多都是在讲在原点有极点的情况
还有一种虚轴上非原点极点的情况,对应于开环传递函数有无阻尼振荡环节
对于这个环节,PartA里还说了它会引起Nyquist上相角的突变,这里它又来了。


与w=0处的极点类比理解记忆。
不同的是这里先算wn-的角度,之后在依次顺时针转90v,180v到wn,wn+。
而极点为零处的是先算w0,然后再算两边的。
两种情况下的幅值都是无穷大。即要用虚线表示。
**下图中的GH(jwn)有趣,就是在中间嘛。**符合我上面的观点。


省懒只研究一半
于是就有了穿越的概念,之前刚开始是要求包围。
虚线本身就是表示实际的情况,只不过是由于无穷的特殊性画成虚线而已。


注意点:
图形不是对称,所以是1/2伽马GH; 即w从0到+无穷
半穿越的概念也是可以的 重要的是方向
**+∞时收缩于原点,说明n>m。**这个石群老是说,我感觉只有抽象的情况下这个才有用。






这道题很不错,仔细推敲。

由GH的表达式可知只有左半平面的极点,所以P=0
(其他题目中会有已知系统开环稳定,则P=0)
所以要想稳定,则R要等于零
则最小的穿越频率对应的横坐标要在-1的右侧,
没错就是最小的,因为是从0到∞(一半曲线)


这道题的思路:
首先要知道延迟环节带来的变化,即螺旋线
所以再根据惯性环节的特点,其复合曲线在负实轴上时钟是从下往上穿过。
而P=0,所以稳定的话要求R也要为零,则最外围的螺旋线必须在-1的右侧
转化为数学式子就是穿越频率处A<1,自然也要包括第一个穿越频率,
得出wx的范围。
再利用第一个穿越频率处的必要条件(相角为-180°),得出tuo和w的等式,得出tuo与w的关系,又w的范围已知,所以tuo的范围也可以确定。
稳定判据到这其实是借助于Nyquist来的,
其实还有博得图的
篇幅少
我就不讲了
别问我为什么
看了看真题
全是第七章往后的题目,至少100分的题目。醉了。


相角裕度是相角,来自于幅值的线索,就是相角裕度对应截止频率,由线索算出Wc,再代入公式
幅值裕度是幅值,来自于相角的线索,就是幅值裕度对应穿越频率,有线索算出Wx,再代入公式


上面两图中很清楚的表示了两种裕度。
频率域这里的临界稳定是开环幅相曲线过(-1,0)点,这也是来自于时域的临界稳定,即在虚轴上有闭环的极点。
V=1,n>m.则画相频的话先画条虚线往下跨度为-90v=-90,再滞后伽马角度就到-180了,就临界稳定了。

左图通过幅相曲线与负实轴的交点是在单位圆内还是外可以得到幅值裕度h是大于1或小于1,即h(hB)的正负。
右图通过伯德图的对数幅频的h(dB)是正负来判断
我的观点:注意不能单纯比较Wx和Wc的大小来,因为微分环节的对数幅频图像是会往上走的
下面讲用两个裕度判定闭环系统稳定的情况:

上面的两个裕度情况要想成为闭环稳定的充要条件
要满足前提条件:
1.系统开环稳定,即P=0;
2.n>m
3.与单位圆交点数小于等于1,即要么1个,要么没有交点。
举例:

蓝色部分为奈式曲线,(确实有点调皮,但是确实是合理的)由奈式判据可知系统闭环稳定(即对任意的w都稳定)
但是你可以在曲线上找到有的点不满足h>1,r>0
所以那种充要条件所涉及的范围太小了,需要满足那么多前提条件。不太行。
第五节:闭环系统的频率性能指标
自己看书上的,结合着笔记看,我这里就不讲了。
本文来自互联网用户投稿,文章观点仅代表作者本人,不代表本站立场,不承担相关法律责任。如若转载,请注明出处。 如若内容造成侵权/违法违规/事实不符,请点击【内容举报】进行投诉反馈!
