gets函数会读取回车吗_会做二次函数吗?用6种方法教你做二次函数(初中生不要错过)...
二次函数难做吗?数学一直秉承着没有最难只有更难。今天就来教大家解决二次函数的各种问题吧!

类型一 等腰三角形的存在性问题
【方法指导】


【典例精讲】
例 如图,直线y=x+3与x轴交于点A,与y轴交于点C,抛物线y=ax2+bx+c经过点A、C,与x轴交于另一点B,且B(1,0).

(1)求该抛物线的解析式。
【思维教练】


类型二 直角三角形的存在性问题
【方法指导】


【典例精讲】
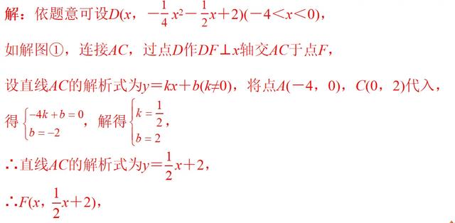
例 如图,在平面直角坐标系中,抛物线图象过点C(6,6),并与x轴交于原点O和A(4,0),且抛物线顶点为D.

(1)求此抛物线的解析式;
【思维教练】要求抛物线的解析式,已知抛物线与x轴有两个交点,故可考虑设抛物线的两点式,再将C点代入即可.



类型三 特殊四边形的存在性问题
【方法指导】
①平行四边形的判定

②矩形、菱形的判定方法参照①中平行四边形的判定.

【典例精讲】




类型四 相似三角形的存在性问题
【方法指导】
△ABC与△DEF相似,在没指明对应点的情况下,理论上应分六种情况讨论,但实际问题中通常不超过四种,常见有如下两种类型,每类分两种情况讨论就可以了.

另外,如果不满足以上两种情况,①但可以确定已知三角形的形状(特征)时,先确定动态三角形中固定的因素,看是否与已知三角形中有相等的角,若存在,根据分类讨论列比例关系式求解;②已知条件中有一条对应边,只需要讨论另外两条边的对应关系,列比例关系式求解;③若可得相似三角形的某个对应角的度数时,分类讨论另外两个角的对应情况,列比例关系式求解.
【典例精讲】


类型五 全等三角形的存在性问题
【方法指导】
全等的两个三角形,在没指明对应点的情况下,理论上应分六种情况讨论,但实际问题中通常不超过四种,常见有如下两种类型,每类分两种情况讨论就可以了.




类型六 切线问题
【方法指导】
抛物线中有关圆的切线的问题,一般为两种类型:①已知直线与圆相切的相关计算;②已知直线与圆相切,求直线解析式.对这两种问题,一般解题方法如下:
①已知圆与直线相切时,连接切点与圆心,得到垂直,再结合题干中的已知条件,利用直角三角形或相似三角形的性质进行计算;若判断抛物线对称轴与圆的位置关系,只要根据圆心到对称轴距离与圆半径大小关系即可确定;
②若已知圆与直线相切,需根据题意分析,切线只存在一条,还是两条,若为两条,常要进行分类讨论计算,然后根据勾股定理或相似列方程求出点坐标,得到直线解析式.
【典例精讲】




更多关于学习方法,可以关注我们哟(获取完整版私我)
本文来自互联网用户投稿,文章观点仅代表作者本人,不代表本站立场,不承担相关法律责任。如若转载,请注明出处。 如若内容造成侵权/违法违规/事实不符,请点击【内容举报】进行投诉反馈!
