自适应近邻的多视图聚类
多视图聚类
对最近看的论文的一个总结。
Multi-View Clustering and Semi-Supervised Classification with Adaptive Neighbours(MLAN)
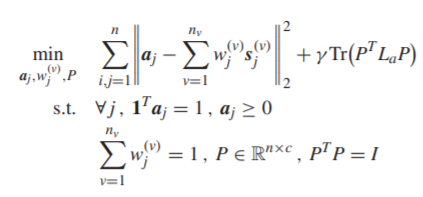
聂飞平将单一视图的CAN推广到多视聚类,即MLAN。
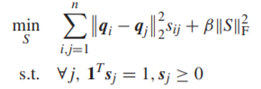
单视CAN聚类的目标函数为:

推广到多视聚类MLAN:

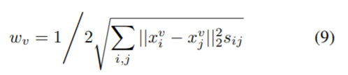
其中 w v w_v wv是每个视图的权重,这里的权重是自动分配,不需要添加参数。 我在这里理解 w v w_v wv参数的含义是将距离的平方开根号,减少离群点的重要性,不知道我理解的正确不正确。

算法如下所示:

MLAN方法我们可以看出,它将多视数据融合只是从数据点的角度将每个视角的数据融合,求出一个统一的相似度图。没有对每个视图的相似度图进行入手,基于此又有两种方法提出。
Graph Learning for Multiview Clustering(MVGL)
此篇文章是兰州大学绽琨教授提出的,它的思路很简单,分为两个步骤。 首先我们对每个视图运用自适应近邻聚类(CAN),得出每个视图的相似矩阵 S v S^v Sv。然后从多个视图的相似度图中学习到一个统一的相似度图 A A A,对它进行一个拉普拉斯秩约束。
- S v S^v Sv的构建

- 统一相似度 A A A

优化的算法可以在论文中查到,通过交替优化策略求得。
MVGL算法从每个视图的角度出发,解决了多视算法的融合,但是它的算法要分为两个步骤,不是联合在一起学习的。
又针对于此,王浩在这篇论文中GMC: Graph-based Multi-view Clustering提出了一个新的联合多视学习算法。
GMC: Graph-based Multi-view Clustering
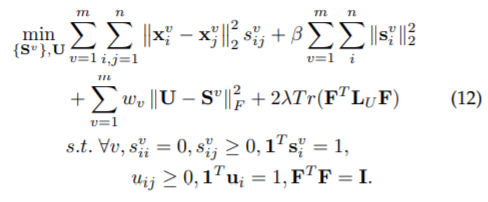
目标函数为:


用此图可以经典的概括GMC的目标函数,从每个视图 S v S^v Sv学习到一个同的相似度图 U U U,然后添加拉普拉斯秩约数得出最后的聚类结果,其中对于每个视图的权重 w w w可以自动地实现视图地权重分配。通过交替优化策略地方法求解此目标函数。
这是关于多视聚类这几篇论文的一个论文总结吧,相关的公式和论文代码作者提供的都很清楚,大家可以看看论文一起交流。
本文来自互联网用户投稿,文章观点仅代表作者本人,不代表本站立场,不承担相关法律责任。如若转载,请注明出处。 如若内容造成侵权/违法违规/事实不符,请点击【内容举报】进行投诉反馈!
